中考数学二轮专项培优专题04 几何最值存在性问题(教师版)
展开专题四 几何最值的存在性问题
【考题研究】
在平面几何的动态问题中,当某几何元素在给定条件变动时,求某几何量(如线段的长度、图形的周长或面积、角的度数以及它们的和与差)的最大值或最小值问题,称为最值问题。
从历年的中考数学压轴题型分析来看,经常会考查到距离或者两条线段和差最值得问题,并且这部分题目在中考中失分率很高,应该引起我们的重视。几何最值问题再教材中虽然没有进行专题讲解,到却给了我们很多解题模型,因此在专题复习时进行压轴训练是必要的。
【解题攻略】
最值问题是一类综合性较强的问题,而线段和(差)问题,要归归于几何模型:(1)归于“两点之间的连线中,线段最短”凡属于求“变动的两线段之和的最小值”时,大都应用这一模型.(2)归于“三角形两边之差小于第三边”凡属于求“变动的两线段之差的最大值”时,大都应用这一模型.
两条动线段的和的最小值问题,常见的是典型的“牛喝水”问题,关键是指出一条对称轴“河流”(如图1).
三条动线段的和的最小值问题,常见的是典型的“台球两次碰壁”或“光的两次反射”问题,关键是指出两条对称轴“反射镜面”(如图2).
两条线段差的最大值问题,一般根据三角形的两边之差小于第三边,当三点共线时,两条线段差的最大值就是第三边的长.如图3,PA与PB的差的最大值就是AB,此时点P在AB的延长线上,即P′.
解决线段和差的最值问题,有时候求函数的最值更方便,建立一次函数或者二次函数求解最值问题.
【解题类型及其思路】
解决平面几何最值问题的常用的方法有:(1)应用两点间线段最短的公理(含应用三角形的三边关系)求最值;(2)应用垂线段最短的性质求最值;(3)应用轴对称的性质求最值;(4)应用二次函数求最值;(5)应用其它知识求最值。
【典例指引】
类型一 【确定线段(或线段的和,差)的最值或确定点的坐标】
【典例指引1】(2018·天津中考模拟)如图,在平面直角坐标系中,长方形OABC的顶点A、C分别在x轴、y轴的正半轴上.点B的坐标为(8,4),将该长方形沿OB翻折,点A的对应点为点D,OD与BC交于点E.
(I)证明:EO=EB;
(Ⅱ)点P是直线OB上的任意一点,且△OPC是等腰三角形,求满足条件的点P的坐标;
(Ⅲ)点M是OB上任意一点,点N是OA上任意一点,若存在这样的点M、N,使得AM+MN最小,请直接写出这个最小值.
【答案】(I)证明见解析;(Ⅱ)P的坐标为(4,2)或(,)或P(﹣,﹣)或(,);(Ⅲ).
【解析】
分析:(Ⅰ)由折叠得到∠DOB=∠AOB,再由BC∥OA得到∠OBC=∠AOB,即∠OBC=∠DOB,即可;
(Ⅱ)设出点P坐标,分三种情况讨论计算即可;
(Ⅲ)根据题意判断出过点D作OA的垂线交OB于M,OA于N,求出DN即可.
详解:(Ⅰ)∵将该长方形沿OB翻折,点A的对应点为点D,OD与BC交于点E,
∴∠DOB=∠AOB,
∵BC∥OA,
∴∠OBC=∠AOB,
∴∠OBC=∠DOB,
∴EO=EB;
(Ⅱ)∵点B的坐标为(8,4),
∴直线OB解析式为y=x,
∵点P是直线OB上的任意一点,
∴设P(a,a).
∵O(0,0),C(0,4),
∴OC=4,PO2=a2+(a)2=a2,PC2=a2+(4-a)2.
当△OPC是等腰三角形时,可分三种情况进行讨论:
①如果PO=PC,那么PO2=PC2,
则a2=a2+(4-a)2,解得a=4,即P(4,2);
②如果PO=OC,那么PO2=OC2,
则a2=16,解得a=±,即P(,)或P(-,-);
③如果PC=OC时,那么PC2=OC2,
则a2+(4-a)2=16,解得a=0(舍),或a=,即P(,);
故满足条件的点P的坐标为(4,2)或(,)或P(-,-)或(,);
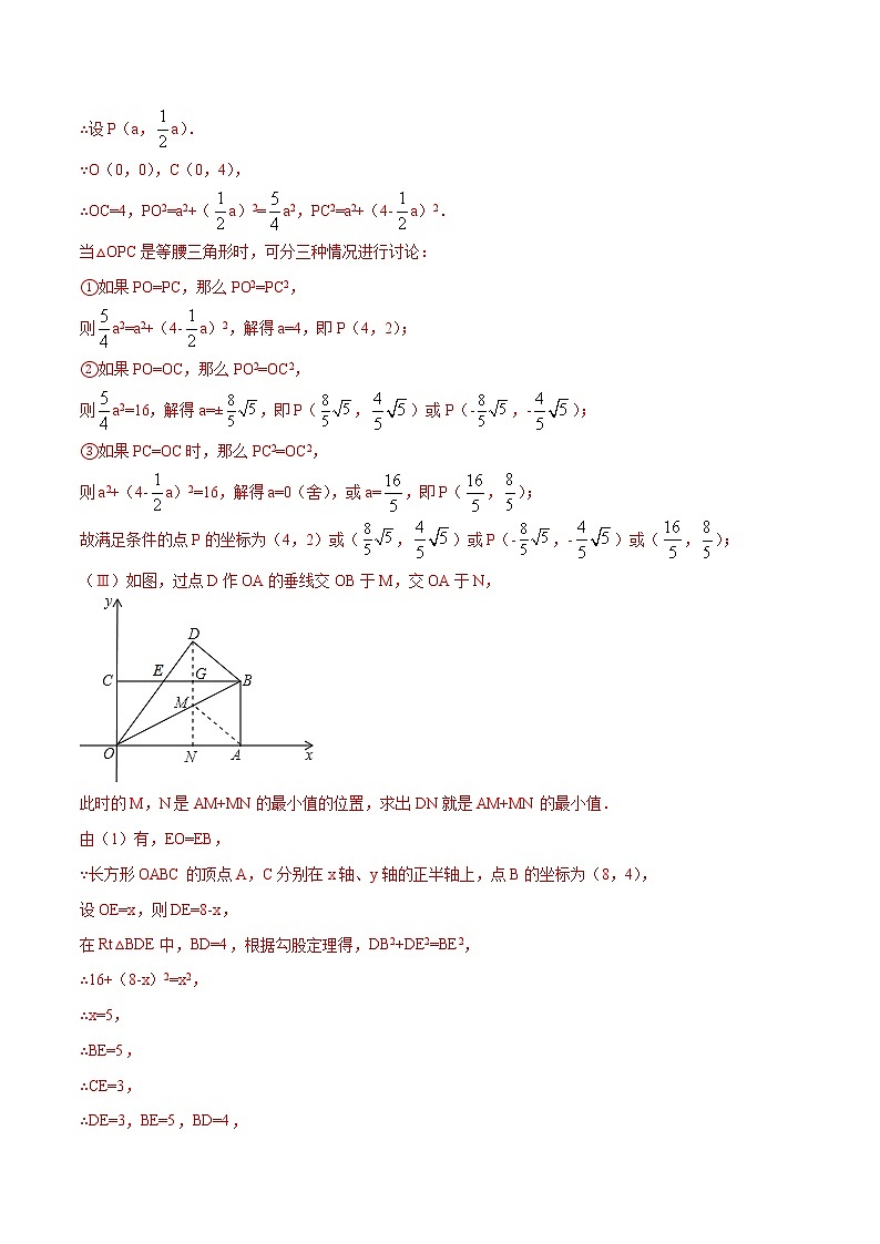
(Ⅲ)如图,过点D作OA的垂线交OB于M,交OA于N,
此时的M,N是AM+MN的最小值的位置,求出DN就是AM+MN的最小值.
由(1)有,EO=EB,
∵长方形OABC的顶点A,C分别在x轴、y轴的正半轴上,点B的坐标为(8,4),
设OE=x,则DE=8-x,
在Rt△BDE中,BD=4,根据勾股定理得,DB2+DE2=BE2,
∴16+(8-x)2=x2,
∴x=5,
∴BE=5,
∴CE=3,
∴DE=3,BE=5,BD=4,
∵S△BDE=DE×BD=BE×DG,
∴DG=,
由题意有,GN=OC=4,
∴DN=DG+GN=+4=.
即:AM+MN的最小值为.
点睛:此题是四边形综合题,主要考查了矩形的性质,折叠的性质,勾股定理,等腰三角形的性质,极值的确定,进行分类讨论与方程思想是解本题的关键.
【举一反三】
(2020·云南初三)如图,抛物线y=ax2+bx+3经过点 B(﹣1,0),C(2,3),抛物线与y轴的焦点A,与x轴的另一个焦点为D,点M为线段AD上的一动点,设点M的横坐标为t.
(1)求抛物线的表达式;
(2)过点M作y轴的平行线,交抛物线于点P,设线段PM的长为1,当t为何值时,1的长最大,并求最大值;(先根据题目画图,再计算)
(3)在(2)的条件下,当t为何值时,△PAD的面积最大?并求最大值;
(4)在(2)的条件下,是否存在点P,使△PAD为直角三角形?若存在,直接写出t的值;若不存在,说明理由.
【答案】(1)y=﹣x2+2x+3;(2)当t=时,l有最大值,l最大=;(3)t=时,△PAD的面积的最大值为;(4)t=.
【解析】
试题分析:(1)利用待定系数法即可解决问题;
(2)易知直线AD解析式为y=-x+3,设M点横坐标为m,则P(t,-t2+2t+3),M(t,-t+3),可得l=-t2+2t+3-(-t+3)=-t2+3t=-(t-)2+,利用二次函数的性质即可解决问题;
(3)由S△PAD=×PM×(xD-xA)=PM,推出PM的值最大时,△PAD的面积最大;
(4)如图设AD的中点为K,设P(t,-t2+2t+3).由△PAD是直角三角形,推出PK=AD,可得(t-)2+(-t2+2t+3-)2=×18,解方程即可解决问题;
试题解析:(1)把点 B(﹣1,0),C(2,3)代入y=ax2+bx+3,
则有,
解得,
∴抛物线的解析式为y=﹣x2+2x+3.
(2)在y=﹣x2+2x+3中,令y=0可得0=﹣x2+2x+3,解得x=﹣1或x=3,
∴D(3,0),且A(0,3),
∴直线AD解析式为y=﹣x+3,
设M点横坐标为m,则P(t,﹣t2+2t+3),M(t,﹣t+3),
∵0<t<3,
∴点M在第一象限内,
∴l=﹣t2+2t+3﹣(﹣t+3)=﹣t2+3t=﹣(t﹣)2+,
∴当t=时,l有最大值,l最大=;
(3)∵S△PAD=×PM×(xD﹣xA)=PM,
∴PM的值最大时,△PAD的面积中点,最大值=×=.
∴t=时,△PAD的面积的最大值为.
(4)如图设AD的中点为K,设P(t,﹣t2+2t+3).
∵△PAD是直角三角形,
∴PK=AD,
∴(t﹣)2+(﹣t2+2t+3﹣)2=×18,
整理得t(t﹣3)(t2﹣t﹣1)=0,
解得t=0或3或,
∵点P在第一象限,
∴t=.
类型二 【确定三角形、四边形的周长的最值或符合条件的点的坐标】
【典例指引2】
(2020·重庆初三期末)如图,抛物线()与双曲线相交于点、,已知点坐标,点在第三象限内,且的面积为3(为坐标原点).
(1)求实数、、的值;
(2)在该抛物线的对称轴上是否存在点使得为等腰三角形?若存在请求出所有的点的坐标,若不存在请说明理由.
(3)在坐标系内有一个点,恰使得,现要求在轴上找出点使得的周长最小,请求出的坐标和周长的最小值.
【答案】(1),;(2)存在,,,,,;(3)
【解析】
【分析】
(1)由点A在双曲线上,可得k的值,进而得出双曲线的解析式.设(),过A作AP⊥x轴于P,BQ⊥y轴于Q,直线BQ和直线AP相交于点M.根据=3解方程即可得出k的值,从而得出点B的坐标,把A、B的坐标代入抛物线的解析式即可得到结论;
(2)抛物线对称轴为,设,则可得出;;.然后分三种情况讨论即可;
(3)设M(x,y).由MO=MA=MB,可求出M的坐标.作B关于y轴的对称点B'.连接B'M交y轴于Q.此时△BQM的周长最小.用两点间的距离公式计算即可.
【详解】
(1)由知:k=xy=1×4=4,
∴.
设().
过A作AP⊥x轴于P,BQ⊥y轴于Q,直线BQ和直线AP相交于点M,则S△AOP=S△BOQ=2.
令:,
整理得:,
解得:,.
∵m<0,
∴m=-2,
故.
把A、B带入
解出:,
∴.
(2)
∴抛物线的对称轴为.
设,则,,.
∵△POB为等腰三角形,
∴分三种情况讨论:
①,即,解得:,
∴,;
②,即,解得:,
∴,;
③,即,解得:
∴;
(3)设.
∵,,,
∴,,.
∵,
∴
解得:,
∴.
作B关于y轴的对称点B'坐标为:(2,-2).
连接B'M交y轴于Q.此时△BQM的周长最小.
=MB'+MB
.
【名师点睛】
本题是二次函数综合题.考查了用待定系数法求二次函数的解析式、二次函数的性质、轴对称-最值问题等.第(1)问的关键是割补法;第(2)问的关键是分类讨论;第(3)问的关键是求出M的坐标.
【举一反三】
(2019·重庆实验外国语学校初三)如图1,已知抛物线y=﹣x+3与x轴交于A和B两点,(点A在点B的左侧),与y轴交于点C.
(1)求出直线BC的解析式.
(2)M为线段BC上方抛物线上一动点,过M作x轴的垂线交BC于H,过M作MQ⊥BC于Q,求出△MHQ周长最大值并求出此时M的坐标;当△MHQ的周长最大时在对称轴上找一点R,使|AR﹣MR|最大,求出此时R的坐标.
(3)T为线段BC上一动点,将△OCT沿边OT翻折得到△OC′T,是否存在点T使△OC′T与△OBC的重叠部分为直角三角形,若存在请求出BT的长,若不存在,请说明理由.
【答案】(1)y=﹣x+3;(2)R(1,);(3)BT=2或BT=.
【解析】
【分析】
(1)由已知可求A(﹣2,0),B(4,0),C(0,3),即可求BC的解析式;
(2)由已知可得∠QMH=∠CBO,则有QH=QM,MH=MQ,所以△MHQ周长=3QM,则求△MHQ周长的最大值,即为求QM的最大值;设M(m,),过点M与BC直线垂直的直线解析式为,交点,可求出,当m=2时,MQ有最大值;函数的对称轴为x=1,作点M关于对称轴的对称点M'(0,3),连接AM'与对称轴交于点R,此时|AR﹣MR|=|AR﹣M'R|=AM',|AR﹣MR|的最大值为AM';求出AM'的直线解析式为,则可求;
(3)有两种情况:当TC'∥OC时,GO⊥TC';当OT⊥BC时,分别求解即可.
【详解】
解:(1)令y=0,即,解得,
∵点A在点B的左侧
∴A(﹣2,0),B(4,0),
令x=0解得y=3,
∴C(0,3),
设BC所在直线的解析式为y=kx+3,
将B点坐标代入解得k=
∴BC的解析式为y=-x+3;
(2)∵MQ⊥BC,M作x轴,
∴∠QMH=∠CBO,
∴tan∠QMH=tan∠CBO=,
∴QH=QM,MH=MQ,
∴△MHQ周长=MQ+QH+MH=QM+QM+MQ=3QM,
则求△MHQ周长的最大值,即为求QM的最大值;
设M(m,),
过点M与BC直线垂直的直线解析式为,
直线BC与其垂线相交的交点,
∴,
∴当m=2时,MQ有最大值,
∴△MHQ周长的最大值为,此时M(2,3),
函数的对称轴为x=1,
作点M关于对称轴的对称点M'(0,3),
连接AM'与对称轴交于点R,此时|AR﹣MR|=|AR﹣M'R|=AM',
∴|AR﹣MR|的最大值为AM';
∵AM'的直线解析式为y=x+3,
∴R(1,);
(3)①当TC'∥OC时,GO⊥TC',
∵△OCT≌△OTC',
∴,
∴
∴BT=2;
②当OT⊥BC时,过点T作TH⊥x轴,
OT=,
∵∠BOT=∠BCO,
∴,
∴OH=,
∴
∴BT=;
综上所述:BT=2或BT=.
【点睛】
本题是一道综合题,考查了二次函数一次函数和三角形相关的知识,能够充分调动所学知识是解题的关键.
类型三 【确定三角形、四边形的面积最值或符合条件的点的坐标】
【典例指引3】(2019·甘肃中考真题)如图,已知二次函数y=x2+bx+c的图象与x轴交于点A(1,0)、B(3,0),与y轴交于点C.
(1)求二次函数的解析式;
(2)若点P为抛物线上的一点,点F为对称轴上的一点,且以点A、B、P、F为顶点的四边形为平行四边形,求点P的坐标;
(3)点E是二次函数第四象限图象上一点,过点E作x轴的垂线,交直线BC于点D,求四边形AEBD面积的最大值及此时点E的坐标.
【答案】(1)y=x2﹣4x+3;(2)点P(4,3)或(0,3)或(2,﹣1);(3)最大值为 ,E(,﹣).
【解析】
【分析】
(1)用交点式函数表达式,即可求解;
(2)分当AB为平行四边形一条边、对角线,两种情况,分别求解即可;
(3)利用S四边形AEBD=AB(yD﹣yE),即可求解.
【详解】
解:(1)用交点式函数表达式得:y=(x﹣1)(x﹣3)=x2﹣4x+3;
故二次函数表达式为:y=x2﹣4x+3;
(2)①当AB为平行四边形一条边时,如图1,
则AB=PE=2,
则点P坐标为(4,3),
当点P在对称轴左侧时,即点C的位置,点A、B、P、F为顶点的四边形为平行四边形,
故:点P(4,3)或(0,3);
②当AB是四边形的对角线时,如图2,
AB中点坐标为(2,0)
设点P的横坐标为m,点F的横坐标为2,其中点坐标为: ,
即:=2,解得:m=2,
故点P(2,﹣1);
故:点P(4,3)或(0,3)或(2,﹣1);
(3)直线BC的表达式为:y=﹣x+3,
设点E坐标为(x,x2﹣4x+3),则点D(x,﹣x+3),
S四边形AEBD=AB(yD﹣yE)=﹣x+3﹣x2+4x﹣3=﹣x2+3x,
∵﹣1<0,故四边形AEBD面积有最大值,
当x=,其最大值为,此时点E(,﹣).
【点睛】
主要考查了二次函数的解析式的求法和与几何图形结合的综合能力的培养.要会利用数形结合的思想把代数和几何图形结合起来,利用点的坐标的意义表示线段的长度,从而求出线段之间的关系.
【举一反三】
(2019·内蒙古中考真题)如图,在平面直角坐标系中,已知抛物线与轴交于),两点,与轴交于点,连接.
(1)求该抛物线的解析式,并写出它的对称轴;
(2)点为抛物线对称轴上一点,连接,若,求点的坐标;
(3)已知,若是抛物线上一个动点(其中),连接,求面积的最大值及此时点的坐标.
(4)若点为抛物线对称轴上一点,抛物线上是否存在点,使得以为顶点的四边形是平行四边形?若存在,请直接写出所有满足条件的点的坐标;若不存在,请说明理由.
【答案】(1),对称轴;(2);(3)面积有最大值是,;(4)存在点使得以为顶点的四边形是平行四边形,或或.
【解析】
【分析】
(1)将点A(-1,0),B(3,0)代入y=ax2+bx+2即可;
(2)过点D作DG⊥y轴于G,作DH⊥x轴于H,设点D(1,y),在Rt△CGD中,CD2=CG2+GD2=(2-y)2+1,在Rt△BHD中,BD2=BH2+HD2=4+y2,可以证明CD=BD,即可求y的值;
(3)过点E作EQ⊥y轴于点Q,过点F作直线FR⊥y轴于R,过点E作FP⊥FR于P,证明四边形QRPE是矩形,根据S△CEF=S矩形QRPE-S△CRF-S△EFP,代入边即可;
(4)根据平行四边形对边平行且相等的性质可以得到存在点M使得以B,C,M,N为顶点的四边形是平行四边形,点M(2,2)或M(4,- )或M(-2,-);
【详解】
解:(1)将点代入,
可得,
;
对称轴;
(2)如图1:过点作轴于,作轴于,
设点,
,
在中,,
在中,,
在中,
,
,
;
(3)如图2:过点作轴于点,过点作直线轴于,过点作于,
,
四边形是矩形,
,
,
,
当时,面积有最大值是,
此时;
(4)存在点使得以为顶点的四边形是平行四边形,
设,
①四边形是平行四边形时,
②四边形时平行四边形时,
,
;
③四边形时平行四边形时,
,
,
;
综上所述:或或;
【点睛】
本题考查了待定系数法求二次函数解析式,二次函数的图象及性质,勾股定理,平行四边形的判定与性质,及分类讨论的数学思想.熟练掌握二次函数的性质、灵活运用勾股定理求边长、掌握平行四边形的判定方法是解题的关键.
【新题训练】
1.如图,直线y=5x+5交x轴于点A,交y轴于点C,过A,C两点的二次函数y=ax2+4x+c的图象交x轴于另一点B.
(1)求二次函数的表达式;
(2)连接BC,点N是线段BC上的动点,作ND⊥x轴交二次函数的图象于点D,求线段ND长度的最大值;
(3)若点H为二次函数y=ax2+4x+c图象的顶点,点M(4,m)是该二次函数图象上一点,在x轴,y轴上分别找点F,E,使四边形HEFM的周长最小,求出点F、E的坐标.
【答案】(1) y=-x2+4x+5;(2);(3) F (,0),E(0,).
【解析】
【分析】
(1)先根据坐标轴上点的坐标特征由一次函数的表达式求出A,C两点的坐标,再根据待定系数法可求二次函数的表达式;
(2)根据坐标轴上点的坐标特征由二次函数的表达式求出B点的坐标,根据待定系数法可求一次函数BC的表达式,设ND的长为d,N点的横坐标为n,则N点的纵坐标为-n+5,D点的坐标为D(n,-n2+4n+5),根据两点间的距离公式和二次函数的最值计算可求线段ND长度的最大值;
(3)由题意可得二次函数的顶点坐标为H(2,9),点M的坐标为M(4,5),作点H(2,9)关于y轴的对称点H1,可得点H1的坐标,作点M(4,5)关于x轴的对称点HM1,可得点M1的坐标连结H1M1分别交x轴于点F,y轴于点E,可得H1M1+HM的长度是四边形HEFM的最小周长,再根据待定系数法可求直线H1M1解析式,根据坐标轴上点的坐标特征可求点F、E的坐标.
【详解】
解:(1)∵直线y=5x+5交x轴于点A,交y轴于点C,
∴A(-1,0),C(0,5),
∵二次函数y=ax2+4x+c的图象过A,C两点,
∴ ,
解得 ,
∴二次函数的表达式为y=-x2+4x+5;
(2)如解图①,
第2题解图①
∵点B是二次函数的图象与x轴的交点,
∴由二次函数的表达式为y=-x2+4x+5得,点B的坐标B(5,0),
设直线BC解析式为y=kx+b,
∵直线BC过点B(5,0),C(0,5),
∴ ,
解得 ,
∴直线BC解析式为y=-x+5,
设ND的长为d,N点的横坐标为n,
则N点的坐标为(n,-n+5),
D点的坐标为(n,-n2+4n+5),
则d=|-n2+4n+5-(-n+5)|,
由题意可知:-n2+4n+5>-n+5,
∴d=-n2+4n+5-(-n+5)=-n2+5n=-(n-)2+,
∴当n=时,线段ND长度的最大值是;
(3)∵点M(4,m)在抛物线y=-x2+4x+5上,
∴m=5,∴M(4,5).
∵抛物线y=-x2+4x+5=-(x-2)2+9,
∴顶点坐标为H(2,9),
如解图②,作点H(2,9)关于y轴的对称点H1,则点H1的坐标为H1(-2,9);作点M(4,5)关于x轴的对称点M1,则点M1的坐标为M1(4,-5),连接H1M1分别交x轴于点F,y轴于点E,∴H1M1+HM的长度是四边形HEFM的最小周长,则点F,E即为所求的点.
设直线H1M1的函数表达式为y=mx+n,
∵直线H1M1过点H1(-2,9),M1(4,-5),
∴ ,
解得 ,
∴y=-x+,
∴当x=0时,y=,即点E坐标为(0,),
当y=0时,x=,即点F坐标为(,0),
故所求点F,E的坐标分别为(,0),(0,).
2.(2019·江苏中考真题)如图,已知等边△ABC的边长为8,点P是AB边上的一个动点(与点A、B不重合),直线l是经过点P的一条直线,把△ABC沿直线l折叠,点B的对应点是点B’.
(1)如图1,当PB=4时,若点B’恰好在AC边上,则AB’的长度为_____;
(2)如图2,当PB=5时,若直线l//AC,则BB’的长度为 ;
(3)如图3,点P在AB边上运动过程中,若直线l始终垂直于AC,△ACB’的面积是否变化?若变化,说明理由;若不变化,求出面积;
(4)当PB=6时,在直线l变化过程中,求△ACB’面积的最大值.
【答案】(1)4;(2)5;(3)面积不变,S△ACB’=;(4)24+4
【解析】
【分析】
(1)证明△APB′是等边三角形即可解决问题;
(2)如图2中,设直线l交BC于点E,连接B B′交PE于O,证明△PEB是等边三角形,求出OB即可解决问题;
(3)如图3中,结论:面积不变,证明B B′//AC即可;
(4)如图4中,当PB′⊥AC时,△ACB′的面积最大,设直线PB′交AC于点E,求出B′E即可解决问题.
【详解】
(1)如图1,∵△ABC为等边三角形,
∴∠A=60°,AB=BC=CA=8,
∵PB=4,
∴PB′=PB=PA=4,
∵∠A=60°,
∴△APB′是等边三角形,
∴AB′=AP=4,
故答案为4;
(2)如图2,设直线l交BC于点E,连接B B′交PE于O,
∵PE∥AC,
∴∠BPE=∠A=60°,∠BEP=∠C=60°,
∴△PEB是等边三角形,
∵PB=5,B、B′关于PE对称,
∴BB′⊥PE,BB′=2OB,
∴OB=PB·sin60°=,
∴BB′=5,
故答案为5;
(3)如图3,结论:面积不变.
过点B作BE⊥AC于E,
则有BE=AB·sin60°=,
∴S△ABC==16,
∵B、B′关于直线l对称,
∴BB′⊥直线l,
∵直线l⊥AC,
∴AC//BB′,
∴S△ACB’=S△ABC=16;
(4)如图4,当B′P⊥AC时,△ACB′的面积最大,
设直线PB′交AC于E,
在Rt△APE中,PA=2,∠PAE=60°,
∴PE=PA·sin60°=,
∴B′E=B′P+PE=6+,
∴S△ACB最大值=×(6+)×8=24+4.
【点睛】
本题是几何变换综合题,考查了等边三角形的判定与性质,轴对称变换,解直角三角形,平行线的判定与性质等知识,理解题意,熟练掌握和灵活运用相关知识是解题的关键.
3.(2019·湖南中考真题)如图,在平面直角坐标系xOy中,矩形ABCD的边AB=4,BC=6.若不改变矩形ABCD的形状和大小,当矩形顶点A在x轴的正半轴上左右移动时,矩形的另一个顶点D始终在y轴的正半轴上随之上下移动.
(1)当∠OAD=30°时,求点C的坐标;
(2)设AD的中点为M,连接OM、MC,当四边形OMCD的面积为时,求OA的长;
(3)当点A移动到某一位置时,点C到点O的距离有最大值,请直接写出最大值,并求此时cos∠OAD的值.
【答案】(1)点C的坐标为(2,3+2);(2)OA=3;(3)OC的最大值为8,cos∠OAD=.
【解析】
【分析】
(1)作CE⊥y轴,先证∠CDE=∠OAD=30°得CE=CD=2,DE=,再由∠OAD=30°知OD=AD=3,从而得出点C坐标;
(2)先求出S△DCM=6,结合S四边形OMCD=知S△ODM=,S△OAD=9,设OA=x、OD=y,据此知x2+y2=36,xy=9,得出x2+y2=2xy,即x=y,代入x2+y2=36求得x的值,从而得出答案;
(3)由M为AD的中点,知OM=3,CM=5,由OC≤OM+CM=8知当O、M、C三点在同一直线时,OC有最大值8,连接OC,则此时OC与AD的交点为M,ON⊥AD,证△CMD∽△OMN得,据此求得MN=,ON=,AN=AM﹣MN=,再由OA=及cos∠OAD=可得答案.
【详解】
(1)如图1,过点C作CE⊥y轴于点E,
∵矩形ABCD中,CD⊥AD,
∴∠CDE+∠ADO=90°,
又∵∠OAD+∠ADO=90°,
∴∠CDE=∠OAD=30°,
∴在Rt△CED中,CE=CD=2,DE==2,
在Rt△OAD中,∠OAD=30°,
∴OD=AD=3,
∴点C的坐标为(2,3+2);
(2)∵M为AD的中点,
∴DM=3,S△DCM=6,
又S四边形OMCD=,
∴S△ODM=,
∴S△OAD=9,
设OA=x、OD=y,则x2+y2=36,xy=9,
∴x2+y2=2xy,即x=y,
将x=y代入x2+y2=36得x2=18,
解得x=3(负值舍去),
∴OA=3;
(3)OC的最大值为8,
如图2,M为AD的中点,
∴OM=3,CM==5,
∴OC≤OM+CM=8,
当O、M、C三点在同一直线时,OC有最大值8,
连接OC,则此时OC与AD的交点为M,过点O作ON⊥AD,垂足为N,
∵∠CDM=∠ONM=90°,∠CMD=∠OMN,
∴△CMD∽△OMN,
∴,即,
解得MN=,ON=,
∴AN=AM﹣MN=,
在Rt△OAN中,OA=,
∴cos∠OAD=.
【点睛】
本题是四边形的综合问题,解题的关键是掌握矩形的性质、勾股定理、相似三角形的判定与性质等知识点.
4.(2018·江苏中考真题)如图,在平面直角坐标系中,一次函数y=﹣x+4的图象与x轴和y轴分别相交于A、B两点.动点P从点A出发,在线段AO上以每秒3个单位长度的速度向点O作匀速运动,到达点O停止运动,点A关于点P的对称点为点Q,以线段PQ为边向上作正方形PQMN.设运动时间为t秒.
(1)当t=秒时,点Q的坐标是 ;
(2)在运动过程中,设正方形PQMN与△AOB重叠部分的面积为S,求S与t的函数表达式;
(3)若正方形PQMN对角线的交点为T,请直接写出在运动过程中OT+PT的最小值.
【答案】(1)(4,0);(2)①当0<t≤1时,S =t2;②当1<t≤时,S =﹣t2+18t;③当<t≤2时, S =﹣3t2+12;(3)OT+PT的最小值为.
【解析】
【分析】
(1)先确定出点A的坐标,进而求出AP,利用对称性即可得出结论;
(2)分三种情况,①利用正方形的面积减去三角形的面积,②利用矩形的面积减去三角形的面积,③利用梯形的面积,即可得出结论;
(3)先确定出点T的运动轨迹,进而找出OT+PT最小时的点T的位置,即可得出结论.
【详解】
(1)令y=0,
∴﹣x+4=0,
∴x=6,
∴A(6,0),
当t=秒时,AP=3×=1,
∴OP=OA﹣AP=5,
∴P(5,0),
由对称性得,Q(4,0);
(2)当点Q在原点O时,OQ=6,
∴AP=OQ=3,
∴t=3÷3=1,
①当0<t≤1时,如图1,令x=0,
∴y=4,
∴B(0,4),
∴OB=4,
∵A(6,0),
∴OA=6,
在Rt△AOB中,tan∠OAB=,
由运动知,AP=3t,
∴P(6﹣3t,0),
∴Q(6﹣6t,0),
∴PQ=AP=3t,
∵四边形PQMN是正方形,
∴MN∥OA,PN=PQ=3t,
在Rt△APD中,tan∠OAB=,
∴PD=2t,
∴DN=t,
∵MN∥OA
∴∠DCN=∠OAB,
∴tan∠DCN=,
∴CN=t,
∴S=S正方形PQMN﹣S△CDN=(3t)2﹣t×t=t2;
②当1<t≤时,如图2,同①的方法得,DN=t,CN=t,
∴S=S矩形OENP﹣S△CDN=3t×(6﹣3t)﹣t×t=﹣t2+18t;
③当<t≤2时,如图3,S=S梯形OBDP=(2t+4)(6﹣3t)=﹣3t2+12;
(3)如图4,由运动知,P(6-3t,0),Q(6-6t,0),
∴M(6-6t,3t),
∵T是正方形PQMN的对角线交点,
∴T(6-),
∴点T是直线y=-x+2上的一段线段,(-3≤x<6),
同理:点N是直线AG:y=-x+6上的一段线段,(0≤x≤6),
∴G(0,6),
∴OG=6,
∵A(6,0),
∴AG=6,在Rt△ABG中,OA=6=OG,
∴∠OAG=45°,
∵PN⊥x轴,
∴∠APN=90°,
∴∠ANP=45°,
∴∠TNA=90°,
即:TN⊥AG,
∵T正方形PQMN的对角线的交点,
∴TN=TP,
∴OT+TP=OT+TN,
∴点O,T,N在同一条直线上(点Q与点O重合时),且ON⊥AG时,OT+TN最小,
即:OT+TN最小,
∵S△OAG=OA×OG=AG×ON,
∴ON==.
即:OT+PT的最小值为3
【点睛】
此题是一次函数综合题,主要考查了正方形的面积,梯形,三角形的面积公式,正方形的性质,勾股定理,锐角三角函数,用分类讨论的思想解决问题是解本题的关键,找出点T的位置是解本题(3)的难点.
5.(2020·江苏初三期末)已知二次函数的图象和轴交于点、,与轴交于点,点是直线上方的抛物线上的动点.
(1)求直线的解析式.
(2)当是抛物线顶点时,求面积.
(3)在点运动过程中,求面积的最大值.
【答案】(1);(2)3;(3)面积的最大值为.
【解析】
【分析】
(1)由题意分别将x=0、y=0代入二次函数解析式中求出点C、A的坐标,再根据点A、C的坐标利用待定系数法即可求出直线AC的解析式;
(2)由题意先根据二次函数解析式求出顶点,进而利用割补法求面积;
(3)根据题意过点作轴交于点并设点的坐标为(),则点的坐标为进而进行分析.
【详解】
解:(1) 分别将x=0、y=0代入二次函数解析式中求出点C、A的坐标为;;
将;代入,得到直线的解析式为.
(2)由,将其化为顶点式为,可知顶点P为,
如图P为顶点时连接PC并延长交x轴于点G,
则有,
将P点和C点代入求出PC的解析式为,解得G为,
所有=3;
(3)过点作轴交于点.
设点的坐标为(),则点的坐标为
∴,
当时,取最大值,最大值为.
∵,
∴面积的最大值为.
【点睛】
本题考查待定系数法求一次函数解析式、二次函数图象上点的坐标特征、等腰三角形的性质、二次函数的性质以及解二元一次方程组,解题的关键是利用待定系数法求出直线解析式以及利用二次函数的性质进行综合分析.
6.(2020·江苏初三期末)如图,抛物线交轴于、两点,交轴于点,点的坐标为,直线经过点、.
(1)求抛物线的函数表达式;
(2)点是直线上方抛物线上的一动点,求面积的最大值并求出此时点的坐标;
(3)过点的直线交直线于点,连接,当直线与直线的一个夹角等于的3倍时,请直接写出点的坐标.
【答案】(1);(2),点坐标为;(3)点的坐标为,
【解析】
【分析】
(1)利用B(5,0)用待定系数法求抛物线解析式;
(2)作PQ∥y轴交BC于Q,根据求解即可;
(3)作∠CAN=∠NAM1=∠ACB,则∠A M1B=3∠ACB, 则 NAM1∽ A C M1,通过相似的性质来求点M1的坐标;作AD⊥BC于D,作M1关于AD的对称点M2, 则∠A M2C=3∠ACB,根据对称点坐标特点可求M2的坐标.
【详解】
(1)把代入得
.
∴;
(2)作PQ∥y轴交BC于Q,设点,则
∵
∴OB=5,
∵Q在BC上,
∴Q的坐标为(x,x-5),
∴PQ==,
∴
=
=
∴当时,有最大值,最大值为,
∴点坐标为.
(3)如图1,作∠CAN=∠NAM1=∠ACB,则∠A M1B=3∠ACB,
∵∠CAN=∠NAM1,
∴AN=CN,
∵=-(x-1)(x-5),
∴A的坐标为(1,0),C的坐标为(0,-5),
设N的坐标为(a,a-5),则
∴,
∴a= ,
∴N的坐标为(,),
∴AN2==,AC2=26,
∴,
∵∠NAM1=∠ACB,∠N M1A=∠C M1A,
∴ NAM1∽ A C M1,
∴,
∴,
设M1的坐标为(b,b-5),则
∴,
∴b1= ,b2=6(不合题意,舍去),
∴M1的坐标为,
如图2,作AD⊥BC于D,作M1关于AD的对称点M2, 则∠A M2C=3∠ACB,
易知ADB是等腰直角三角形,可得点D的坐标是(3,-2),
∴M2 横坐标= ,
M2 纵坐标= ,
∴M2 的坐标是,
综上所述,点M的坐标是或.
【点睛】
本题考查了二次函数与几何图形的综合题:熟练掌握二次函数图象上点的坐标特征、二次函数的性质及相似三角形的判定与性质,会运用分类讨论的思想解决数学问题.
7.(2019·石家庄市第四十一中学初三)如图,在平面直角坐标系中,抛物线y=x(x﹣b)﹣与y轴相交于A点,与x轴相交于B、C两点,且点C在点B的右侧,设抛物线的顶点为P.
(1)若点B与点C关于直线x=1对称,求b的值;
(2)若OB=OA,求△BCP的面积;
(3)当﹣1≤x≤1时,该抛物线上最高点与最低点纵坐标的差为h,求出h与b的关系;若h有最大值或最小值,直接写出这个最大值或最小值.
【答案】(1)2(2)(3)h存在最小值,最小值为1
【解析】
【分析】
(1)由点B与点C关于直线x=1对称,可得出抛物线的对称轴为直线x=1,再利用二次函数的性质可求出b值;
(2)利用二次函数图象上点的坐标特征可求出点A的坐标,结合OA=OB可得出点B的坐标,由点B的坐标利用待定系数法可求出抛物线的解析式,由抛物线的解析式利用二次函数图象上点的坐标特征可求出点C的坐标,利用配方法可求出点P的坐标,再利用三角形的面积公式即可求出△BCP的面积;
(3)分b≥2,0≤b<2,﹣2<b<0和b≤﹣2四种情况考虑,利用二次函数图象上点的坐标特征结合二次函数的图象找出h关于b的关系式,再找出h的最值即可得出结论.
【详解】
解:(1)∵点B与点C关于直线x=1对称,y=x(x﹣b)﹣=x2﹣bx﹣,
∴﹣=1,
解得:b=2.
(2)当x=0时,y=x2﹣bx﹣=﹣,
∴点A的坐标为(0,﹣).
又∵OB=OA,
∴点B的坐标为(﹣,0).
将B(﹣,0)代入y=x2﹣bx﹣,得:0=+b﹣,
解得:b=,
∴抛物线的解析式为y=x2﹣x﹣.
∵y=x2﹣x﹣=(x﹣)2﹣,
∴点P的坐标为(,﹣).
当y=0时,x2﹣x﹣=0,
解得:x1=﹣,x2=1,
∴点C的坐标为(1,0).
∴S△BCP=×[1﹣(﹣)]×|﹣|=.
(3)y=x2﹣bx﹣=(x﹣)2﹣﹣.
当≥1,即b≥2时,如图1所示,
y最大=b+,y最小=﹣b+,
∴h=2b;
当0≤<1,即0≤b<2时,如图2所示,
y最大=b+,y最小=﹣﹣,
∴h=1+b+=(1+)2;
当﹣1<<0,﹣2<b<0时,如图3所示
y最大=﹣b,y最小=﹣﹣,
∴h=1﹣b+=(1﹣)2;
当≤﹣1,即b≤﹣2时,如图4所示,
y最大=﹣b+,y最小=b+,
h=﹣2b.
综上所述:h=,h存在最小值,最小值为1.
【点睛】
本题考查了二次函数的性质、二次函数图象上点的坐标特征、待定系数法求二次函数解析式、三角形的面积、二次函数图象以及二次函数的最值,解题的关键是:(1)利用二次函数的性质,求出b的值;(2)利用二次函数图象上的坐标特征及配方法,求出点B,C,P的坐标;(3)分b≥2,0≤b<2,﹣2<b<0和b≤﹣2四种情况,找出h关于b的关系式.
8.(2020·江西初三期中)如图①,已知抛物线y=ax2+bx+3(a≠0)与x轴交于点A(1,0)和点B(-3,0),与y轴交于点C.
(1)求抛物线的解析式;
(2)设抛物线的对称轴与x轴交于点M,问在对称轴上是否存在点P,使△CMP为等腰三角形?若存在,请直接写出所有符合条件的点P的坐标;若不存在,请说明理由;
(3)如图②,若点E为第二象限抛物线上一动点,连接BE、CE,求四边形BOCE面积的最大值,并求此时E点的坐标.
【答案】(1)y=-x2-2x+3;(2)存在,P(-1,)或P(-1,-)或P(-1,6)或P(-1,);(3)当a=-时,S四边形BOCE最大,且最大值为,此时,点E坐标为(-,).
【解析】
【分析】
(1)已知抛物线过A、B两点,可将两点的坐标代入抛物线的解析式中,用待定系数法即可求出二次函数的解析式;
(2)可根据(1)的函数解析式得出抛物线的对称轴,也就得出了M点的坐标,由于C是抛物线与y轴的交点,因此C的坐标为(0,3),根据M、C的坐标可求出CM的距离.然后分三种情况进行讨论:
①当CP=PM时,P位于CM的垂直平分线上.求P点坐标关键是求P的纵坐标,过P作PQ⊥y轴于Q,如果设PM=CP=x,那么直角三角形CPQ中CP=x,OM的长,可根据M的坐标得出,CQ=3-x,因此可根据勾股定理求出x的值,P点的横坐标与M的横坐标相同,纵坐标为x,由此可得出P的坐标.
②当CM=MP时,根据CM的长即可求出P的纵坐标,也就得出了P的坐标(要注意分上下两点).
③当CM=CP时,因为C的坐标为(0,3),那么直线y=3必垂直平分PM,因此P的纵坐标是6,由此可得出P的坐标;
(3)由于四边形BOCE不是规则的四边形,因此可将四边形BOCE分割成规则的图形进行计算,过E作EF⊥x轴于F,S四边形BOCE=S△BFE+S梯形FOCE.直角梯形FOCE中,FO为E的横坐标的绝对值,EF为E的纵坐标,已知C的纵坐标,就知道了OC的长.在△BFE中,BF=BO-OF,因此可用E的横坐标表示出BF的长.如果根据抛物线设出E的坐标,然后代入上面的线段中,即可得出关于四边形BOCE的面积与E的横坐标的函数关系式,根据函数的性质即可求得四边形BOCE的最大值及对应的E的横坐标的值.即可求出此时E的坐标.
【详解】
(1)∵抛物线y=ax2+bx+3(a≠0)与x轴交于点A(1,0)和点B(−3,0),
∴
解得:.
∴所求抛物线解析式为:y=−x2−2x+3;
(2)∵抛物线解析式为:y=−x2−2x+3,
∴其对称轴为,
∴设P点坐标为(−1,a),当x=0时,y=3,
∴C(0,3),M(−1,0)
∴当CP=PM时,(−1)2+(3−a)2=a2,解得a=,
∴P点坐标为:;
∴当CM=PM时,(−1)2+32=a2,解得,
∴P点坐标为:或;
∴当CM=CP时,由勾股定理得:(−1)2+32=(−1)2+(3−a)2,解得a=6,
∴P点坐标为:P4 (−1,6).
综上所述存在符合条件的点P,其坐标为或 或P(−1,6)或;
(3)过点E作EF⊥x轴于点F,设E(a,−a2−2a+3)(−3
∴EF=−a2−2a+3,BF=a+3,OF=−a
∴
∴当a=时,S四边形BOCE最大,且最大值为.
此时,点E坐标为.
9.(2020·山东初三期末)如图,抛物线y=ax2+bx+c(a≠0)的图象过点C(0,1),顶点为Q(2,3),点D在x轴正半轴上,且OD=OC.
(1)求直线CD的解析式;
(2)求抛物线的解析式;
(3)将直线CD绕点C逆时针方向旋转45°所得直线与抛物线相交于另一点E,求证:△CEQ∽△CDO;
(4)在(3)的条件下,若点P是线段QE上的动点,点F是线段OD上的动点,问:在P点和F点移动过程中,△PCF的周长是否存在最小值?若存在,求出这个最小值;若不存在,请说明理由.
【答案】(1) y=﹣x+1;(2) y=x2+2x+1;(3)证明见解析;(4)存在, ,理由见解析.
【解析】
【分析】
(1)利用待定系数法求出直线解析式;(2)利用待定系数法求出抛物线的解析式;(3)关键是证明△CEQ与△CDO均为等腰直角三角形;(4)如答图②所示,作点C关于直线QE的对称点C′,作点C关于x轴的对称点C″,连接C′C″,交OD于点F,交QE于点P,则△PCF即为符合题意的周长最小的三角形,由轴对称的性质可知,△PCF的周长等于线段C′C″的长度.利用轴对称的性质、两点之间线段最短可以证明此时△PCF的周长最小.如答图③所示,利用勾股定理求出线段C′C″的长度,即△PCF周长的最小值.
【详解】
解:(1)∵C(0,1),OD=OC,∴D点坐标为(1,0).
设直线CD的解析式为y=kx+b(k≠0),
将C(0,1),D(1,0)代入得:,解得:
∴直线CD的解析式为:y=﹣x+1.
(2)设抛物线的解析式为y=a(x﹣2)2+3,
将C(0,1)代入得:1=a×(﹣2)2+3,解得a=.
∴y=(x﹣2)2+3=x2+2x+1.
(3)证明:由题意可知,∠ECD=45°,
∵OC=OD,且OC⊥OD,∴△OCD为等腰直角三角形,∠ODC=45°.
∴∠ECD=∠ODC,∴CE∥x轴.
∴点C、E关于对称轴(直线x=2)对称,
∴点E的坐标为(4,1).
如答图①所示,设对称轴(直线x=2)与CE交于点F,
则F(2,1).
∴ME=CM=QM=2.
∴△QME与△QMC均为等腰直角三角形.
∴∠QEC=∠QCE=45°.
又∵△OCD为等腰直角三角形,
∴∠ODC=∠OCD=45°.
∴∠QEC=∠QCE=∠ODC=∠OCD=45°.∴△CEQ∽△CDO.
(4)存在.
如答图②所示,作点C关于直线QE的对称点C′,作点C关于x轴的对称点C″,连接C′C″,交OD于点F,交QE于点P,则△PCF即为符合题意的周长最小的三角形,由轴对称的性质可知,△PCF的周长等于线段C′C″的长度.
证明如下:不妨在线段OD上取异于点F的任一点F′,在线段QE上取异于点P的任一点P′,连接F′C″,F′P′,P′C′.
由轴对称的性质可知,△P′CF′的周长=F′C″+F′P′+P′C′.
而F′C″+F′P′+P′C′是点C′,C″之间的折线段,
由两点之间线段最短可知:F′C″+F′P′+P′C′>C′C″,即△P′CF′的周长大于△PCE的周长.)
如答图③所示,连接C′E,
∵C,C′关于直线QE对称,△QCE为等腰直角三角形,
∴△QC′E为等腰直角三角形.
∴△CEC′为等腰直角三角形.
∴点C′的坐标为(4,5).
∵C,C″关于x轴对称,∴点C″的坐标为(﹣1,0).
过点C′作C′N⊥y轴于点N,则NC′=4,NC″=4+1+1=6,
在Rt△C′NC″中,由勾股定理得:
.
综上所述,在P点和F点移动过程中,△PCF的周长存在最小值,最小值为.
【点睛】
本题是中考压轴题,综合考查了二次函数的图象与性质、待定系数法、相似三角形、等腰直角三角形、勾股定理、轴对称的性质等重要知识点,涉及考点较多,有一点的难度.本题难点在于第(4)问,如何充分利用轴对称的性质确定△PCF周长最小时的几何图形,是解答本题的关键.
10.(2020·盘锦市双台子区第一中学初三月考)如图①,已知抛物线y=ax2+bx+c的图像经过点A(0,3)、B(1,0),其对称轴为直线l:x=2,过点A作AC∥x轴交抛物线于点C,∠AOB的平分线交线段AC于点E,点P是抛物线上的一个动点,设其横坐标为m.
(1)求抛物线的解析式;
(2)若动点P在直线OE下方的抛物线上,连结PE、PO,当m为何值时,四边形AOPE面积最大,并求出其最大值;
(3)如图②,F是抛物线的对称轴l上的一点,在抛物线上是否存在点P使△POF成为以点P为直角顶点的等腰直角三角形?若存在,直接写出所有符合条件的点P的坐标;若不存在,请说明理由.
【答案】(1)y=x2-4x+3.(2)当m=时,四边形AOPE面积最大,最大值为.(3)P点的坐标为 :P1(,),P2(,),P3(,),P4(,).
【解析】
分析:(1)利用对称性可得点D的坐标,利用交点式可得抛物线的解析式;
(2)设P(m,m2-4m+3),根据OE的解析式表示点G的坐标,表示PG的长,根据面积和可得四边形AOPE的面积,利用配方法可得其最大值;
(3)存在四种情况:
如图3,作辅助线,构建全等三角形,证明△OMP≌△PNF,根据OM=PN列方程可得点P的坐标;同理可得其他图形中点P的坐标.
详解:(1)如图1,设抛物线与x轴的另一个交点为D,
由对称性得:D(3,0),
设抛物线的解析式为:y=a(x-1)(x-3),
把A(0,3)代入得:3=3a,
a=1,
∴抛物线的解析式;y=x2-4x+3;
(2)如图2,设P(m,m2-4m+3),
∵OE平分∠AOB,∠AOB=90°,
∴∠AOE=45°,
∴△AOE是等腰直角三角形,
∴AE=OA=3,
∴E(3,3),
易得OE的解析式为:y=x,
过P作PG∥y轴,交OE于点G,
∴G(m,m),
∴PG=m-(m2-4m+3)=-m2+5m-3,
∴S四边形AOPE=S△AOE+S△POE,
=×3×3+PG•AE,
=+×3×(-m2+5m-3),
=-m2+m,
=(m-)2+,
∵-<0,
∴当m=时,S有最大值是;
(3)如图3,过P作MN⊥y轴,交y轴于M,交l于N,
∵△OPF是等腰直角三角形,且OP=PF,
易得△OMP≌△PNF,
∴OM=PN,
∵P(m,m2-4m+3),
则-m2+4m-3=2-m,
解得:m=或,
∴P的坐标为(,)或(,);
如图4,过P作MN⊥x轴于N,过F作FM⊥MN于M,
同理得△ONP≌△PMF,
∴PN=FM,
则-m2+4m-3=m-2,
解得:x=或;
P的坐标为(,)或(,);
综上所述,点P的坐标是:(,)或(,)或(,)或(,).
点睛:本题属于二次函数综合题,主要考查了二次函数的综合应用,相似三角形的判定与性质以及解一元二次方程的方法,解第(2)问时需要运用配方法,解第(3)问时需要运用分类讨论思想和方程的思想解决问题.
11.(2020·四川初三)如图,一次函数的图像与坐标轴交于A、B两点,点C的坐标为,二次函数的图像经过A、B、C三点.
(1)求二次函数的解析式
(2)如图1,已知点在抛物线上,作射线BD,点Q为线段AB上一点,过点Q作轴于点M,作于点N,过Q作轴交抛物线于点P,当QM与QN的积最大时,求点P的坐标;
(3)在(2)的条件下,连接AP,若点E为抛物线上一点,且满足,求点E的坐标.
【答案】(1);(2);(3)或
【解析】
【分析】
(1)求出A、B的坐标,设二次函数解析式为,把A(0,2)代入即可得出结论;
(2)先求出D的坐标和直线BD的解析式,过D作DT⊥x轴于T,可求得∠DBO=45°.设Q(m,m+2),则G(m,-m+4),MQ=m.设∠ABO=α,则∠NBQ=45°-α,∠MQB=180°-α.证明ΔGQN为等腰直角三角形,表示出NQ,MQ⋅NQ,利用二次函数的性质解答即可;
(3)如图,过A作AH⊥PE于点H,解Rt△APH,得到AH=1,PH=2.设H(m,n),利用两点间距离公式可求出H的坐标,进而求出点E的坐标.
【详解】
(1)在中,令x=0,得y=2,∴A(0,2);
令y=0,得,解得:x=4,∴B(4,0).
设二次函数解析式为,
将A(0,2)代入得:
解得:,
∴.
(2)∵点D(1,n)在抛物线上,∴n==3,
∴D(1,3).
设直线BD的解析式为y=kx+b,则,
解得:,
∴直线BD的解析式为:y=-x+4.
过D作DT⊥x轴于T,则OT=1,DT=3.
∵OB=4,∴BT=OB-OT=4-1=3,
∴DT=BT,
∴∠DBO=45°.
设Q(m,m+2),则G(m,-m+4),MQ=m.
设∠ABO=α,则∠NBQ=45°-α
∠MQB=180°-α.
又∵∠PQM=90°,∠NQB=90°-(45°-α)=45°+α,
∴∠GQN=360°-90°-(180°-α)-(45°+α)=45°,
∴ΔGQN为等腰直角三角形,
∴NQ=,
∴MQ⋅NQ=.
当m=2时,QM⋅QN最大,此时P(2,3).
(3)如图,过A作AH⊥PE于点H,其中,∠APE=∠ABO.
又A(0,2),P(2,3),
,
∴,
∴PH=2AH.
∵AP=,,
∴,
∴AH=1,PH=2.
设H(m,n),
则,
,
解得:;,
∴,.
①易求直线PH的解析式为:
令
解得:(舍)
∴;
②易求直线PH1的解析式为:.
令,
解得:,
∴.
综上所述:符合题意的E点坐标为或.
【点睛】
本题是二次函数综合题.考查了待定系数法求二次函数的解析式、二次函数的最值、解直角三角形等知识点.灵活运用基础知识是解答本题的关键.
12.(2019·广东初三)如图,已知抛物线y=﹣x2+bx+c与x轴交于原点O和点A(6,0),抛物线的顶点为B.
(1)求该抛物线的解析式和顶点B的坐标;
(2)若动点P从原点O出发,以每秒1个长度单位的速度沿线段OB运动,设点P运动的时间为t(s).问当t为何值时,△OPA是直角三角形?
(3)若同时有一动点M从点A出发,以2个长度单位的速度沿线段AO运动,当P、M其中一个点停止运动时另一个点也随之停止运动.设它们的运动时间为t(s),连接MP,当t为何值时,四边形ABPM的面积最小?并求此最小值.
【答案】(1)y=﹣x2+2x,(3,3);(2)t=3时,△OPA是直角三角形;(3)当t=时,四边形ABPM的面积取最小值,最小值为
【解析】
【分析】
(1)根据点O,A的坐标,利用待定系数法可求出二次函数的解析式,再将二次函数解析式由一般式变形为顶点式,即可得出顶点B的坐标;
(2)由点B的坐标,利用待定系数法可求出直线OB的解析式,过点P作PC⊥x轴于点C,设点P的坐标为(x,x),则点C的坐标为(x,0),由tan∠POC=可得出∠POC=60°,结合OA的值可找出当∠APO=90°时OP的长,由点P的运动速度为1可求出此时t的值;
(3)当运动时间为t时,OP=t,AM=2t,PC=t,PC=t,OM=6﹣2t,结合点P,M的运动速度可得出0≤t≤3,由S四边形ABPM=S△ABO﹣S△POM可得出四边形ABPM的面积关于t的函数关系式,再利用二次函数的性质即可解决最值问题.
【详解】
解:(1)将O(0,0),A(6,0)代入y=﹣x2+bx+c,得:
,解得:,
∴该抛物线的解析式为y=﹣x2+2x.
∵y=﹣x2+2x=﹣(x﹣3)2+3,
∴顶点B的坐标为(3,3).
(2)设直线OB的解析式为y=kx,
将B(3,3)代入y=kx,得:3=3k,
解得:k=,
∴直线OB的解析式为y=x.
过点P作PC⊥x轴于点C,如图1所示.
设点P的坐标为(x,x),则点C的坐标为(x,0).
∵tan∠POC==,
∴∠POC=60°.
当∠APO=90°,则cos∠POC==,
∴OP=3.
∵OP=1×t=3,
∴t=3.
(3)当运动时间为t时,OP=t,AM=2t,PC=t,PC=t,OM=6﹣2t.
∵当P、M其中一个点停止运动时另一个点也随之停止运动,
∴0≤t≤3.
S四边形ABPM=S△ABO﹣S△POM,
=•OA•yB﹣•OM•PC,
=×6×3﹣×(6﹣2t)×t,
=t2﹣t+9,
=(t﹣)2+.
∵>0,
∴当t=时,四边形ABPM的面积取最小值,最小值为.
【点睛】
本题考查了待定系数法求二次函数解析式、解直角三角形、待定系数法求一次函数解析式、三角形的面积以及二次函数的性质,解题的关键是:(1)根据点的坐标,利用待定系数法求出二次函数解析式;(2)通过解直角三角形找出当∠APO=90°时OP的长;(3)利用分割图形求面积法,找出四边形ABPM的面积关于t的函数关系式.
13.(2019·山东初三期中)如图,已知抛物线经过两点A(﹣3,0),B(0,3),且其对称轴为直线x=﹣1.
(1)求此抛物线的解析式.
(2)若点Q是对称轴上一动点,当OQ+BQ最小时,求点Q的坐标.
(3)若点P是抛物线上点A与点B之间的动点(不包括点A,点B),求△PAB面积的最大值,并求出此时点P的坐标.
【答案】(1) y=﹣x2﹣2x+3;(2) 点Q(﹣1,);(3) S△PAB有最大值, 点P(﹣,)
【解析】
【分析】
(1)抛物线经过两点,对称轴为直线,则抛物线与轴另外一个交点坐标为:,即可求解;
(2)设点是点关于对称轴的对称点,则,连接交对称轴于点,则点为所求,即可求解;
(3)过点作轴的平行线交于点,由,即可求解.
【详解】
解:(1)抛物线经过两点,对称轴为直线,则抛物线与轴另外一个交点坐标为:,
则抛物线的表达式为:,即,解得:,
个抛物线的表达式为:;
(2)设点是点关于对称轴的对称点,则,
连接交对称轴于点,则点为所求,
则点的表达式为:,
当时,,故点;
(3)过点作轴的平行线交于点,
直线的表达式为:,
设点,则点,
则,
,有最大值,此时,
点,.
【点睛】
本题考查的是二次函数综合运用,涉及到一次函数、点的对称性、图形的面积计算等,其中(2)用点的对称性求解线段的最值,其中(3)在坐标系中利用三角形面积等于水平宽×铅直高的一半表示是常用方法.
14.(2019·四川中考真题)如图,抛物线过点,且与直线交于B、C两点,点B的坐标为.
(1)求抛物线的解析式;
(2)点D为抛物线上位于直线上方的一点,过点D作轴交直线于点E,点P为对称轴上一动点,当线段的长度最大时,求的最小值;
(3)设点M为抛物线的顶点,在y轴上是否存在点Q,使?若存在,求点Q的坐标;若不存在,请说明理由.
【答案】(1)抛物线的解析式;(2)的最小值为;(3)点Q的坐标:、.
【解析】
【分析】
(1)将点B的坐标为代入,,B的坐标为,将,代入,解得,,因此抛物线的解析式;
(2)设,则,,当时,有最大值为2,此时,作点A关于对称轴的对称点,连接,与对称轴交于点P.,此时最小;
(3)作轴于点H,连接、、、、,由,,可得,因为,,所以,可知外接圆的圆心为H,于是设,则,或,求得符合题意的点Q的坐标:、.
【详解】
解:(1)将点B的坐标为代入,
,
∴B的坐标为,
将,代入,
解得,,
∴抛物线的解析式;
(2)设,则,
,
∴当时,有最大值为2,
此时,
作点A关于对称轴的对称点,连接,与对称轴交于点P.
,此时最小,
∵,
∴,
,
即的最小值为;
(3)作轴于点H,连接、、、、,
∵抛物线的解析式,
∴,
∵,
∴,
∵,
,
∴,
可知外接圆的圆心为H,
∴
设,
则,
或
∴符合题意的点Q的坐标:、.
【点睛】
本题考查了二次函数,熟练运用二次函数的图象的性质与一次函数的性质以及圆周角定理是解题的关键.
15.(2019·天津中考真题)已知抛物线(为常数,)经过点,点是轴正半轴上的动点.
(Ⅰ)当时,求抛物线的顶点坐标;
(Ⅱ)点在抛物线上,当,时,求的值;
(Ⅲ)点在抛物线上,当的最小值为时,求的值.
【答案】(Ⅰ);(Ⅱ);(Ⅲ).
【解析】
【分析】
(Ⅰ)把b=2和点代入抛物线的解析式,求出c的值,进行配方即可得出顶点坐标
(Ⅱ)根据点和)点在抛物线上和得出点在第四象限,且在抛物线对称轴的右侧.过点作轴,垂足为,则点,再根据D、E两点坐标得出为等腰直角三角形,得出,再根据已知条件,,从而求出b的值
(Ⅲ)根据点在抛物线上得出点在第四象限,且在直线的右侧;取点,过点作直线的垂线,垂足为,与轴相交于点,得出,此时的值最小;过点作轴于点,则点.再根据得出m与b的关系,然后根据两点间的距离公式和
的最小值为,列出关于b的方成即可
【详解】
解:(Ⅰ)∵抛物线经过点,
∴.即.
当时,,
∴抛物线的顶点坐标为.
(Ⅱ)由(Ⅰ)知,抛物线的解析式为.
∵点在抛物线上,
∴.
由,得,,
∴点在第四象限,且在抛物线对称轴的右侧.
如图,过点作轴,垂足为,则点.
∴,.得.
∴在中,.
∴.
由已知,,
∴.
∴.
(Ⅲ)∵点在抛物线上,
∴.
可知点在第四象限,且在直线的右侧.
考虑到,可取点,
如图,过点作直线的垂线,垂足为,与轴相交于点,
有,得,
则此时点满足题意.
过点作轴于点,则点.
在中,可知.
∴,.
∵点,
∴.解得.
∵,
∴.
∴.
【点睛】
本题主要考查的是二次函数的综合应用,解答本题主要应用了待定系数法求二次函数、勾股定理、等腰三角形的性质与判定等知识,关键是明确题意,作出合适的辅助线,利用数形结合的思想和二次函数的性质解答.
16.(2019·湖南中考真题)如图,抛物线y=ax2+bx(a>0)过点E(8,0),矩形ABCD的边AB在线段OE上(点A在点B的左侧),点C、D在抛物线上,∠BAD的平分线AM交BC于点M,点N是CD的中点,已知OA=2,且OA:AD=1:3.
(1)求抛物线的解析式;
(2)F、G分别为x轴,y轴上的动点,顺次连接M、N、G、F构成四边形MNGF,求四边形MNGF周长的最小值;
(3)在x轴下方且在抛物线上是否存在点P,使△ODP中OD边上的高为?若存在,求出点P的坐标;若不存在,请说明理由;
(4)矩形ABCD不动,将抛物线向右平移,当平移后的抛物线与矩形的边有两个交点K、L,且直线KL平分矩形的面积时,求抛物线平移的距离.
【答案】(1)y=x2﹣4x;(2)四边形MNGF周长最小值为12;(3)存在点P,P坐标为(6,﹣6);(4)抛物线平移的距离为3个单位长度.
【解析】
【分析】
(1)由点E在x轴正半轴且点A在线段OE上得到点A在x轴正半轴上,所以A(2,0);由OA=2,且OA:AD=1:3得AD=6.由于四边形ABCD为矩形,故有AD⊥AB,所以点D在第四象限,横坐标与A的横坐标相同,进而得到点D坐标.由抛物线经过点D、E,用待定系数法即求出其解析式;(2)画出四边形MNGF,由于点F、G分别在x轴、y轴上运动,故可作点M关于x轴的对称点点M',作点N关于y轴的对称点点N',得FM=FM'、GN=GN'.易得当M'、F、G、N'在同一直线上时N'G+GF+FM'=M'N'最小,故四边形MNGF周长最小值等于MN+M'N'.根据矩形性质、抛物线线性质等条件求出点M、M'、N、N'坐标,即求得答案;(3)因为OD可求,且已知△ODP中OD边上的高,故可求△ODP的面积.又因为△ODP的面积常规求法是过点P作PQ平行y轴交直线OD于点Q,把△ODP拆分为△OPQ与△DPQ的和或差来计算,故存在等量关系.设点P坐标为t,用t表示PQ的长即可列方程.求得t的值要讨论是否满足点P在x轴下方的条件;(4)由KL平分矩形ABCD的面积可得K在线段AB上、L在线段CD上,画出平移后的抛物线可知,点K由点O平移得到,点L由点D平移得到,故有K(m,0),L(2+m,-6).易证KL平分矩形面积时,KL一定经过矩形的中心H且被H平分,求出H坐标为(4,﹣3),由中点坐标公式即求得m的值.
【详解】
(1)∵点A在线段OE上,E(8,0),OA=2
∴A(2,0)
∵OA:AD=1:3
∴AD=3OA=6
∵四边形ABCD是矩形
∴AD⊥AB
∴D(2,﹣6)
∵抛物线y=ax2+bx经过点D、E
∴
解得:
∴抛物线的解析式为y=x2﹣4x
(2)如图1,作点M关于x轴的对称点M',作点N关于y轴的对称点N',连接FM'、GN'、M'N'
∵y=x2﹣4x=(x﹣4)2﹣8
∴抛物线对称轴为直线x=4
∵点C、D在抛物线上,且CD∥x轴,D(2,﹣6)
∴yC=yD=﹣6,即点C、D关于直线x=4对称
∴xC=4+(4﹣xD)=4+4﹣2=6,即C(6,﹣6)
∴AB=CD=4,B(6,0)
∵AM平分∠BAD,∠BAD=∠ABM=90°
∴∠BAM=45°
∴BM=AB=4
∴M(6,﹣4)
∵点M、M'关于x轴对称,点F在x轴上
∴M'(6,4),FM=FM'
∵N为CD中点
∴N(4,﹣6)
∵点N、N'关于y轴对称,点G在y轴上
∴N'(﹣4,﹣6),GN=GN'
∴C四边形MNGF=MN+NG+GF+FM=MN+N'G+GF+FM'
∵当M'、F、G、N'在同一直线上时,N'G+GF+FM'=M'N'最小
∴C四边形MNGF=MN+M'N'=
∴四边形MNGF周长最小值为12.
(3)存在点P,使△ODP中OD边上的高为.
过点P作PQ∥y轴交直线OD于点Q
∵D(2,﹣6)
∴OD=,直线OD解析式为y=﹣3x
设点P坐标为(t,t2﹣4t)(0<t<8),则点Q(t,﹣3t)
①如图2,当0<t<2时,点P在点D左侧
∴PQ=yQ﹣yP=﹣3t﹣(t2﹣4t)=﹣t2+t
∴S△ODP=S△OPQ+S△DPQ=PQ•xP+PQ•(xD﹣xP)=PQ(xP+xD﹣xP)=PQ•xD=PQ=﹣t2+t
∵△ODP中OD边上的高h=,
∴S△ODP=OD•h
∴﹣t2+t=×2×
方程无解
②如图3,当2<t<8时,点P在点D右侧
∴PQ=yP﹣yQ=t2﹣4t﹣(﹣3t)=t2﹣t
∴S△ODP=S△OPQ﹣S△DPQ=PQ•xP﹣PQ•(xP﹣xD)=PQ(xP﹣xP+xD)=PQ•xD=PQ=t2﹣t
∴t2﹣t=×2×
解得:t1=﹣4(舍去),t2=6
∴P(6,﹣6)
综上所述,点P坐标为(6,﹣6)满足使△ODP中OD边上的高为.
(4)设抛物线向右平移m个单位长度后与矩形ABCD有交点K、L
∵KL平分矩形ABCD的面积
∴K在线段AB上,L在线段CD上,如图4
∴K(m,0),L(2+m,-6)
连接AC,交KL于点H
∵S△ACD=S四边形ADLK=S矩形ABCD
∴S△AHK=S△CHL
∵AK∥LC
∴△AHK∽△CHL
∴==1,
∴AH=CH,KH=HL,即点H为AC中点,也是KL中点
∴H(4,﹣3)
∴
∴m=3
∴抛物线平移的距离为3个单位长度.
【点睛】
本题考查了矩形的性质,二次函数的图象与性质,轴对称求最短路径问题,勾股定理,坐标系中求三角形面积,抛物线的平移,相似三角形的判定和应用,中点坐标公式.易错的地方有第(1)题对点D、C、B坐标位置的准确说明,第(3)题在点D左侧不存在满足的P在点D左侧的讨论,第(4)题对KL必过矩形中心的证明.
17.(2019·辽宁中考真题)如图,在平面直角坐标系中,抛物线y=ax2+bx+2(a≠0)与x轴交于A,B两点(点A在点B的左侧),与y轴交于点C,抛物线经过点D(﹣2,﹣3)和点E(3,2),点P是第一象限抛物线上的一个动点.
(1)求直线DE和抛物线的表达式;
(2)在y轴上取点F(0,1),连接PF,PB,当四边形OBPF的面积是7时,求点P的坐标;
(3)在(2)的条件下,当点P在抛物线对称轴的右侧时,直线DE上存在两点M,N(点M在点N的上方),且MN=2,动点Q从点P出发,沿P→M→N→A的路线运动到终点A,当点Q的运动路程最短时,请直接写出此时点N的坐标.
【答案】(1)y=x﹣1,y=x2+x+2;(2)P(2,3)或(,);(3)N(,).
【解析】
【分析】
(1)将点D、E的坐标代入函数表达式,即可求解;
(2)S四边形OBPF=S△OBF+S△PFB=×4×1+×PH×BO,即可求解;
(3)过点M作A′M∥AN,过作点A′直线DE的对称点A″,连接PA″交直线DE于点M,此时,点Q运动的路径最短,即可求解.
【详解】
(1)将点D、E的坐标代入函数表达式得:,解得:
,故抛物线的表达式为:y=x2+x+2,
同理可得直线DE的表达式为:y=x﹣1…①;
(2)如图1,连接BF,过点P作PH∥y轴交BF于点H,
将点FB代入一次函数表达式,
同理可得直线BF的表达式为:y=+1,
设点P(x,),则点H(x,+1),
S四边形OBPF=S△OBF+S△PFB=×4×1+×PH×BO=2+2()=7,
解得:x=2或,
故点P(2,3)或(,);
(3)当点P在抛物线对称轴的右侧时,点P(2,3),
过点M作A′M∥AN,过作点A′直线DE的对称点A″,连接PA″交直线DE于点M,此时,点Q运动的路径最短,
∵MN=2,相当于向上、向右分别平移2个单位,故点A′(1,2),
A′A″⊥DE,则直线A′A″过点A′,则其表达式为:y=﹣x+3…②,
联立①②得x=2,则A′A″中点坐标为(2,1),
由中点坐标公式得:点A″(3,0),
同理可得:直线AP″的表达式为:y=﹣3x+9…③,
联立①③并解得:x=,即点M(,),
点M沿BD向下平移2个单位得:N(,).
【点睛】
本题考查的是二次函数综合运用,涉及到一次函数、图形的平移、面积的计算等,其中(3),通过平移和点的对称性,确定点Q运动的最短路径,是本题解题的关键.
18.(2019·湖南中考真题)已知抛物线过点,两点,与y轴交于点C,.
(1)求抛物线的解析式及顶点D的坐标;
(2)过点A作,垂足为M,求证:四边形ADBM为正方形;
(3)点P为抛物线在直线BC下方图形上的一动点,当面积最大时,求点P的坐标;
(4)若点Q为线段OC上的一动点,问:是否存在最小值?若存在,求岀这个最小值;若不存在,请说明理由.
【答案】(1)抛物线的表达式为:,顶点;(2)证明见解析;(3)点;(4)存在,的最小值为.
【解析】
【分析】
(1)设交点式,利用待定系数法进行求解即可;
(2)先证明四边形ADBM为菱形,再根据有一个角是直角的菱形是正方形即可得证;
(3)先求出直线BC的解析式,过点P作y轴的平行线交BC于点N,设点,则点N,根据可得关于x的二次函数,继而根据二次函数的性质进行求解即可;
(4)存在,如图,过点C作与y轴夹角为的直线CF交x轴于点F,过点A作,垂足为H,交y轴于点Q, 此时,则最小值,求出直线HC、AH的解析式即可求得H点坐标,进行求得AH的长即可得答案.
【详解】
(1)函数的表达式为:,
即:,解得:,
故抛物线的表达式为:,
则顶点;
(2),,
∵A(1,0),B(3,0),∴ OB=3,OA=1,
∴AB=2,
∴,
又∵D(2,-1),
∴AD=BD=,
∴AM=MB=AD=BD,
∴四边形ADBM为菱形,
又∵,
菱形ADBM为正方形;
(3)设直线BC的解析式为y=mx+n,
将点B、C的坐标代入得:,
解得:,
所以直线BC的表达式为:y=-x+3,
过点P作y轴的平行线交BC于点N,
设点,则点N,
则,
,故有最大值,此时,
故点;
(4)存在,理由:
如图,过点C作与y轴夹角为的直线CF交x轴于点F,过点A作,垂足为H,交y轴于点Q,
此时,
则最小值,
在Rt△COF中,∠COF=90°,∠FOC=30°,OC=3,tan∠FCO=,
∴OF=,
∴F(-,0),
利用待定系数法可求得直线HC的表达式为:…①,
∵∠COF=90°,∠FOC=30°,
∴∠CFO=90°-30°=60°,
∵∠AHF=90°,
∴∠FAH=90°-60°=30°,
∴OQ=AO•tan∠FAQ=,
∴Q(0,),
利用待定系数法可求得直线AH的表达式为:…②,
联立①②并解得:,
故点,而点,
则,
即的最小值为.
【点睛】
本题考查了二次函数的综合题,涉及了待定系数法,解直角三角形的应用,正方形的判定,最值问题等,综合性较强,有一定的难度,正确把握相关知识,会添加常用辅助线是解题的关键.
二次函数与几何的动点及最值、存在性问题--2024中考数学: 这是一份二次函数与几何的动点及最值、存在性问题--2024中考数学,文件包含二次函数与几何的动点及最值存在性问题解析版pdf、二次函数与几何的动点及最值存在性问题学生版pdf等2份试卷配套教学资源,其中试卷共115页, 欢迎下载使用。
中考数学二轮复习解答题培优专题04 几何最值存在性问题(含解析): 这是一份中考数学二轮复习解答题培优专题04 几何最值存在性问题(含解析),共77页。
中考数学二轮专项培优专题09 动态几何定值问题(教师版): 这是一份中考数学二轮专项培优专题09 动态几何定值问题(教师版),共65页。

