


还剩11页未读,
继续阅读
2023届江西省吉安市高三下学期4月模拟测试(一模)数学(理)试题(PDF版)
展开
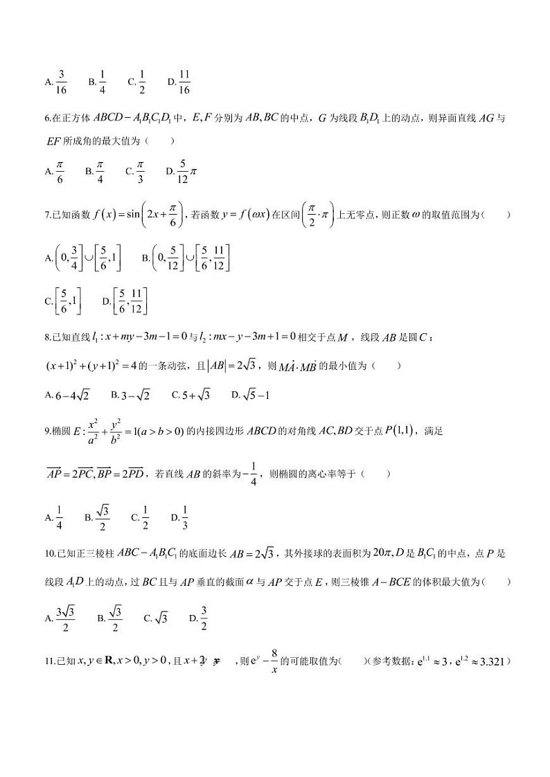
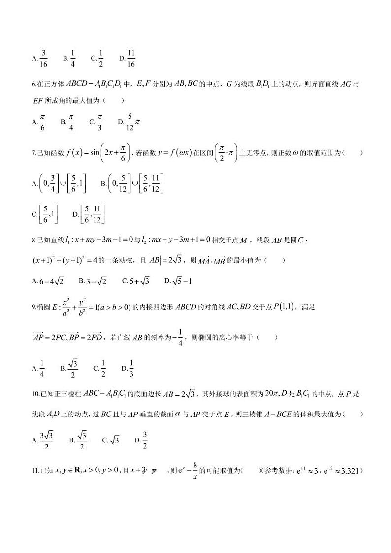
这是一份2023届江西省吉安市高三下学期4月模拟测试(一模)数学(理)试题(PDF版),共14页。
相关试卷
江西省吉安市2023届高三模拟测试数学(理)(一模)试题:
这是一份江西省吉安市2023届高三模拟测试数学(理)(一模)试题,共8页。试卷主要包含了 已知全集, 已知为实数,复数为纯虚数, 《张丘建算经》曾有类似记载等内容,欢迎下载使用。
2023年江西省吉安市高三模拟测试数学(理)(一模)试题及答案:
这是一份2023年江西省吉安市高三模拟测试数学(理)(一模)试题及答案,共11页。
2023届江西省南昌市高三下学期第一次模拟测试数学(理)试题(PDF版):
这是一份2023届江西省南昌市高三下学期第一次模拟测试数学(理)试题(PDF版),共15页。