2022-2023学年福建省三明市普通高中高二上学期期末质量检测数学试题(解析版)
展开
这是一份2022-2023学年福建省三明市普通高中高二上学期期末质量检测数学试题(解析版),共18页。试卷主要包含了单选题,多选题,填空题,解答题等内容,欢迎下载使用。
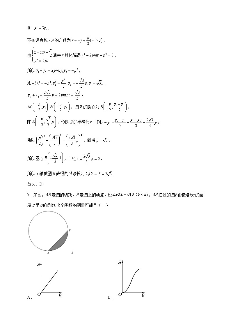
2022-2023学年福建省三明市普通高中高二上学期期末质量检测数学试题 一、单选题1.抛物线的焦点坐标为( )A. B. C. D.【答案】A【分析】直接根据抛物线方程即可得焦点坐标.【详解】在抛物线中,开口向右,,故其焦点坐标为,故选:A.2.直线的倾斜角的大小为( )A.30° B.60° C.120° D.150°【答案】A【解析】由直线方程得到斜率,根据斜率的定义可求得倾斜角.【详解】设倾斜角,,因为,所以.故选:A3.若是与的等差中项,则实数a的值为( )A. B. C. D.5【答案】D【分析】根据等差中项的概念,列式即可求得答案.【详解】由题意知是与的等差中项,故,则.故选:D4.若向量,,且,则的值为( )A. B.0 C.6 D.8【答案】D【分析】根据向量平行列方程,求得,进而求得.【详解】依题意,向量,,且,通过观察横坐标可知,所以,所以.故选:D5.在各项均为正数的等比数列中,,,则( )A.16 B. C.24 D.【答案】C【分析】根据,,利用等比数列的通项公式求解.【详解】解:在各项均为正数的等比数列中,,,所以,解得或(舍去)或(舍去),此时,所以,故选:C6.已知A,B是抛物线上的两个动点,满足,其中F是C的焦点.过A,B向C的准线作垂线,垂足分别为M,N,若y轴被以MN为直径的圆E截得的线段为,则x轴被圆E截得的线段长为( )A.1 B. C.2 D.【答案】D【分析】设出直线的方程并与抛物线方程联立,化简写出根与系数关系,结合以及轴被圆截得的弦长求得,进而求得x轴被圆E截得的线段长.【详解】,设,由于,所以三点共线,不妨设在第一象限,在第四象限,则,则.不妨设直线的方程为,由消去并化简得,所以,则.,,圆的圆心为,即,设圆的半径为,则,所以,截得,所以圆心,半径,所以x轴被圆E截得的线段长为.故选:D7.如图,AB是圆的切线,P是圆上的动点,设,AP扫过的圆内阴影部分的面积S是的函数.这个函数的图象可能是( )A. B.C. D.【答案】B【分析】根据的增长速度求得正确答案.【详解】当时,的增长速度越来越快;当时,的增长速度越来越慢;所以B选项符合.故选:B8.如图1,北京冬奥会火种台以“承天载物”为设计理念,创意灵感来自中国传统青铜礼器——尊的曲线造型,基座沉稳,象征“地载万物”,顶部舒展开阔,寓意迎接纯洁的奥林匹克火种.如图2,一种尊的外形近似为某双曲线的一部分绕着虚轴旋转所成的曲面,尊高,上口直径为,底部直径为,最小直径为,则该双曲线的渐近线与实轴所成锐角的正切值为( )A. B. C.3 D.4【答案】C【分析】建立双曲线标准方程下的直角坐标系,得双曲线方程为,利用实轴长为,(),()在双曲线上,且,可求得,得.【详解】建立双曲线标准方程的直角坐标系,最小直径在轴,如图,双曲线方程为,则,, (),()在双曲线上,且,由,即,,,由,得,所以,则双曲线的渐近线与实轴所成锐角的正切值为故选:C. 二、多选题9.已知圆的方程为,以下各点在圆内的是( )A. B. C. D.【答案】AC【分析】利用代入验证法确定正确答案.【详解】,A选项正确.,B选项错误,,C选项正确.,D选项错误.故选:AC10.在空间直角坐标系中,已知向量,.以下各组值中能使得的是( )A., B.,C., D.,【答案】BC【分析】根据给定条件,利用空间向量垂直的坐标表示列式,再逐项验证判断作答.【详解】向量,,于是当且仅当,即,对于A,当,时,,A不是;对于B,当,时,,B是;对于C,当,时,,C是;对于D,当,时,,D不是.故选:BC11.若n,m,成等比数列,则圆锥曲线的离心率可以是( )A. B. C. D.2【答案】ACD【分析】根据等比数列列方程,对的符号进行分类讨论,结合圆锥曲线的知识求得离心率.【详解】由于成等比数列,所以,当时,,,曲线表示焦点在轴上的椭圆,所以,A选项正确.当时,,,曲线即,表示焦点在轴上的双曲线,所以,D选项正确.当时,,,所以即,表示焦点在轴上的双曲线,所以,C选项正确.当时,方程不成立.故选:ACD12.已知函数,数列满足,且,.若是等差数列,则可能取的整数是( )A. B. C. D.【答案】ABD【分析】将表示为分段函数的形式,利用选项以及是等差数列求得正确答案.【详解】,A选项,,,,所以是首项,公差为的等差数列.所以A选项正确.B选项,,所以,则为常数列,也是等差数列. 所以B选项正确.C选项,,,,所以不是等差数列.所以C选项错误.D选项,,,当时,,所以是首项,公差为的等差数列.所以D选项正确.故选:ABD 三、填空题13.已知函数,则________.【答案】2【分析】求出函数的导数后可求.【详解】,故,故答案为:14.两条平行直线与间的距离为________.【答案】【分析】利用两条直线平行求出a,再利用平行线间距离公式求解作答.【详解】因为直线与平行,可知,则,解得,直线,即,直线,所以直线与间距离为.故答案为:15.已知圆,圆,若动圆E与,都外切,则圆心E的轨迹方程为________.【答案】【分析】由题可得,然后根据双曲线的定义即得.【详解】圆的圆心为,半径;圆的圆心为,半径,由于动圆E与圆,都外切,设动圆E的半径为,则,所以,所以点的轨迹是以,为焦点的双曲线的右支,设方程为,则,所以E的轨迹方程为.故答案为:.16.在数列中,,且当时,都有.使得不等式成立的最小正整数M的值为________.【答案】12【分析】根据数列的递推公式可得:,然后利用不等式的放缩即可求解.【详解】因为,则,所以,则,因为,又,所以所以不等式成立的最小正整数M的值为,故答案为:. 四、解答题17.如图,在四边形ABCD中,,,,,直线AB与CD间的距离为3.建立适当的平面直角坐标系,求四边形ABCD外接圆的方程,并求该圆的圆心坐标和半径.【答案】答案不唯一【分析】建立平面直角坐标系,通过求圆心和半径,或利用待定系数法求得外接圆的方程,进而求得圆心和半径.【详解】解法一:设AB中点为O,CD中点为M,连接OM.则四边形ABCD关于直线OM对称.则,.如图,以O为坐标原点,以AB为x轴,以OM为y轴建立平面直角坐标系.则,,且四边形ABCD的外接圆圆心在y轴上,设为.则,即.化为,解得.则,故所求圆的方程为.其圆心坐标为,半径为.解法二:过D作AB的垂线,垂足为H.则,.如图,以A为坐标原点,以AB为x轴,以过A且垂直于AB的直线为y轴,建立平面直角坐标系.则,,.设所求圆的方程为.因为A,B,D在该圆上,所以.解得:.即所求圆的方程为.化为.其圆心坐标为,半径为.18.已知函数.(1)求的导数;(2)求曲线在点处的切线方程.【答案】(1)(2) 【分析】(1)利用导数的除法运算法则进行求解即可;(2)先利用导数求出切线的斜率,然后用点斜式即可求解【详解】(1)因为,所以(2)由(1)得,,则所求切线的斜率为1,故所求切线方程为.19.如图,在四面体ABCD中,,,,.(1)求的值;(2)已知F是线段CD中点,点E满足,求线段EF的长.【答案】(1);(2). 【分析】(1)取为空间的一个基底,表示出,再利用空间向量数量积求解作答.(2)利用(1)中的信息,利用空间向量数量积计算空间向量的模作答.【详解】(1)在四面体中,设,,,则,,,,,.(2)由(1)知,因为,则,因为F是CD中点,则,如图,于是得,因此,即有,所以线段EF的长为.20.在等差数列中,,且.(1)求数列的通项公式;(2)已知数列的前n项和为,且.令,求数列的前n项和.【答案】(1)(2) 【分析】(1)根据已知条件求得等差数列的首项和公差,由此求得.(2)先求得,利用裂项求和法求得.【详解】(1)设的公差为.因为,所以①因为,所以,整理得,②联立①,②并解得,.所以.(2)因为③,所以当时,④.③④得.所以.所以,而,解得,即.所以是公比为3的等比数列.所以.则.所以.21.如图,在三棱柱中,,,且在平面ABC内的正投影为BC上的点D.过D作平面的垂线,垂足为E,连接并延长交AB于点G.(1)证明:平面;(2)若D为BC中点,求DE与平面所成角的正弦值.【答案】(1)证明见解析(2) 【分析】(1)根据题意,由条件结合线面平行的判定定理即可证明;(2)连结AD,,以D为坐标原点,以DA,DB,分别为x轴,y轴,z轴建立空间直角坐标系,由空间向量的坐标运算结合线面角的计算公式,即可得到结果.【详解】(1)因为在平面ABC的正投影为点D,即平面ABC,且平面ABC,所以.因为平面,且平面,所以.又因为平面,平面,且,所以平面.因为平面,所以.因为,,所以平面ABC.又因为,所以.又因为平面,平面,所以平面.(2)连结AD,.因为,D为BC中点,所以.因为,所以,则.以D为坐标原点,以DA,DB,分别为x轴,y轴,z轴建立空间直角坐标系.则,,,,.,.设平面的法向量为.因为,.所以,则,.取,得,即.由(1)知,G为AB中点,则.所以.因为,且,所以E为等边三角形的中心.所以.则.设DE与平面所成的角为,则.即DE与平面所成的角的正弦值为.22.如图,已知P是圆上的动点,过作直线BP的垂线,垂足为B,交AP于Q,设线段PQ中点M的轨迹为曲线E.(1)求E的方程;(2)设E与x轴交于C,D,过点M且斜率为1的直线与E的另一个交点为N,与x轴的交点为G.判断:当M在E上运动时,是否存在常数,使得?若存在,求的值;若不存在,请说明理由.【答案】(1)(2)存在, 【分析】(1)根据椭圆的定义求得的方程.(2)设MN的方程为并与的方程联立,化简写出根与系数关系,计算出,从而求得正确答案.【详解】(1)因为,且M为PQ中点,所以.因为P是圆上的点,且A为圆心,所以.所以.又因为,则.所以M的轨迹是以A,B为焦点,长轴长为4的椭圆.则在该椭圆中,,,.故所求的椭圆方程为.(2)依题意,C,D是椭圆与x轴的交点.不妨设C在D的左侧,则C,D分别是椭圆的左,右顶点.故,.设MN的方程为.令,得,即.所以,.则.联立,消去x得:.整理得由,得.设,.则,.,同理.所以.即.所以存在,使得.
相关试卷
这是一份福建省三明市2023-2024学年高二上学期期末质量检测数学试题(Word版附解析),文件包含福建省三明市2023-2024学年高二上学期期末质量检测数学试题原卷版docx、福建省三明市2023-2024学年高二上学期期末质量检测数学试题解析版docx等2份试卷配套教学资源,其中试卷共26页, 欢迎下载使用。
这是一份福建省三明市普通高中2022-2023学年高一上学期期末质量检测数学试题及参考答案,文件包含福建省三明市普通高中2022-2023学年高一上学期期末质量检测数学参考答案pdf、福建省三明市普通高中2022-2023学年高一上学期期末质量检测数学试题pdf等2份试卷配套教学资源,其中试卷共12页, 欢迎下载使用。
这是一份2022-2023学年福建省三明市普通高中高一上学期期末质量检测数学试题(解析版),共15页。试卷主要包含了单选题,多选题,填空题,解答题等内容,欢迎下载使用。

