资料中包含下列文件,点击文件名可预览资料内容
还剩2页未读,
继续阅读
所属成套资源:2303宁波十校高三3月联考
成套系列资料,整套一键下载
2303宁波十校高三3月联考 数学试题及答案
展开
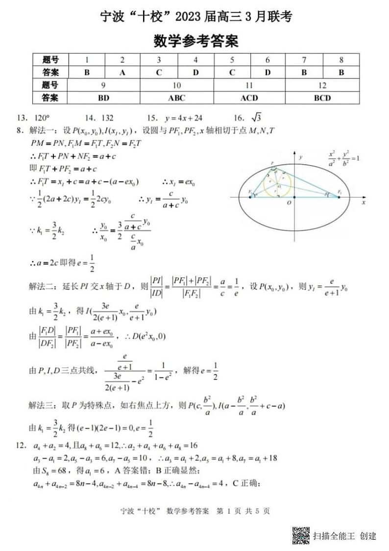
这是一份2303宁波十校高三3月联考 数学试题及答案,文件包含2023届浙江省宁波市十校高三下学期3月二模丨数学答案pdf、数学卷-2303宁波十校高三联考pdf等2份试卷配套教学资源,其中试卷共9页, 欢迎下载使用。
相关试卷
宁波“十校”2024届高三下学期3月联考 数学试题及答案:
这是一份宁波“十校”2024届高三下学期3月联考 数学试题及答案,文件包含宁波十校2024届高三3月联考数学试卷pdf、数学答案宁波十校3月联考pdf等2份试卷配套教学资源,其中试卷共10页, 欢迎下载使用。
2024届宁波十校高三下学期3月联考数学试题+答案:
这是一份2024届宁波十校高三下学期3月联考数学试题+答案,文件包含浙江省宁波市“十校”2024届高三3月份适应性考试数学试题pdf、数学答案宁波十校3月联考pdf等2份试卷配套教学资源,其中试卷共10页, 欢迎下载使用。
浙江省宁波十校2023届高三下学期3月联考数学试题:
这是一份浙江省宁波十校2023届高三下学期3月联考数学试题,共9页。

