中考数学优化探究一轮复习(理数) 第8章 专题提能 破解解析几何中重、难点策略课件PPT
展开(一)图形对称性问题近几年高考和模考中的圆锥曲线综合题中,出现了不少关于轴对称、中心对称、平行、垂直、中垂线、弦的中点、特殊几何图形或特殊几何图形内接于圆锥曲线等问题,用解析几何呈现出来的形式往往是角相等或互补、斜率相等或互为相反数、过定点或为定值等,这种题型能有效考查考生的直观想象、数学运算和逻辑推理等核心素养.
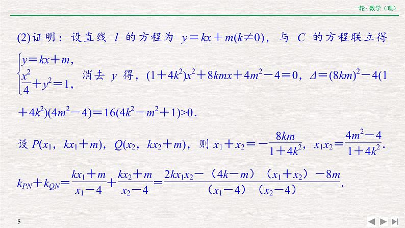
(1)求椭圆C的标准方程;(2)设不垂直于x轴的直线l与椭圆C交于不同的两点P,Q,O为坐标原点,点N(4,0).若P,Q,N三点不共线,且∠ONP=∠ONQ.证明:动直线l经过定点.
本题中,由kPN+kQN=0构建方程找到m,k的关系是解题的关键.设直线l的方程和点P,Q的坐标,将直线方程与椭圆方程联立消元,利用根与系数的关系建立方程与不等式是解题的难点.
[例2] 已知动圆过定点M(0,4),且截x轴所得的弦AB的长为8.(1)求动圆圆心的轨迹C的方程;(2)过轨迹C上一个定点P(m,n)(m≠0)引它的两条弦PS,PT,直线PS,PT的斜率存在且倾斜角互为补角.证明:直线ST的斜率为定值.[解析] (1)设动圆圆心C的坐标为(x,y),则(x-0)2+(y-4)2=42+y2,整理得x2=8y.故所求动圆圆心的轨迹C的方程为x2=8y.
本题中,将倾斜角互为补角这一条件转化为kPS+kPT=0,建立方程得到x1,x2,m之间的关系是解题的关键.
(1)求动圆圆心M的轨迹E的方程;(2)直线l:y=kx+m(k≠0)与轨迹E交于C,D两点,点P(0,-1),且|PC|=|PD|,求实数m的取值范围.
此题也可以用解析法解决,但有一定的计算量,巧用三角形的相似比可简化计算.
本题设出A,B两点的坐标,却不求出A,B两点的坐标,巧妙地表达出直线AB的斜率,通过将直线AB的斜率“算两次”建立几何量之间的关系,从而快速解决问题.
(1)求圆O与椭圆E的方程;(2)圆O的切线l交椭圆E于点A,B,求|AB|的取值范围.
变量换元的关键是构造元,理论依据是等量代换,目的是变换研究对象,将问题移至新对象的知识背景中去研究,从而将非标准型问题转化为标准型问题,将复杂问题简单化.变量换元法常用于求解复合函数的值域、三角函数的化简或求值等问题.
(2)由题意可设M(-m,m)(m>0),直线l′:y-m=k(x+m)(k≠-1),将直线l′的方程代入抛物线的方程x2=y,消去y,得x2-kx-km-m=0.因为直线l′与抛物线C相交于A,B两点,所以Δ=k2-4(-km-m)=k2+4km+4m>0.设A(x1,y1),B(x2,y2),则x1+x2=k,又x1+x2=-2m,所以k=-2m,代入Δ=k2+4km+4m>0,解得0
中考数学优化探究一轮复习(理数) 第5章 第4节 数列求和课件PPT: 这是一份中考数学优化探究一轮复习(理数) 第5章 第4节 数列求和课件PPT,共40页。PPT课件主要包含了na1等内容,欢迎下载使用。
中考数学优化探究一轮复习(理数) 第10章 专题提能 概率统计中的数学建模与数据分析课件PPT: 这是一份中考数学优化探究一轮复习(理数) 第10章 专题提能 概率统计中的数学建模与数据分析课件PPT,共30页。
中考数学优化探究一轮复习(理数) 第8章 第8节 曲线与方程课件PPT: 这是一份中考数学优化探究一轮复习(理数) 第8章 第8节 曲线与方程课件PPT,共33页。PPT课件主要包含了这个方程的解,曲线上,方程的曲线,fxy=0,答案y2=8x等内容,欢迎下载使用。

