


高中数学高考专题10 数列求和方法之错位相减法(解析版)
展开专题10 数列求和方法之错位相减法
一、单选题
1.已知等比数列{an}的前n项和为Sn,若S3=7,S6=63,则数列{nan}的前n项和为( )
A.-3+(n+1)×2n B.3+(n+1)×2n
C.1+(n+1)×2n D.1+(n-1)×2n
【答案】D
【分析】
利用已知条件列出方程组求解即可得,求出数列{an}的通项公式,再利用错位相减法求和即可.
【详解】
设等比数列{an}的公比为q,易知q≠1,
所以由题设得,
两式相除得1+q3=9,解得q=2,
进而可得a1=1,
所以an=a1qn-1=2n-1,
所以nan=n×2n-1.
设数列{nan}的前n项和为Tn,
则Tn=1×20+2×21+3×22+…+n×2n-1,
2Tn=1×21+2×22+3×23+…+n×2n,
两式作差得-Tn=1+2+22+…+2n-1-n×2n=-n×2n=-1+(1-n)×2n,
故Tn=1+(n-1)×2n.
故选:D.
【点睛】
本题主要考查了求等比数列的通项公式问题以及利用错位相减法求和的问题.属于较易题.
二、解答题
2.在公差不为零的等差数列中,前五项和,且,,依次成等比数列,数列的前项和满足().
(1)求及;
(2)设数列的前项和为,求.
【答案】(1),;(2).
【分析】
(1)设等差数列的公差为,利用等差数列的性质结合等比中项的应用,列方程求出公差,进而得出数列;当时,由可得,两式作差并利用等比数列的通项公式计算出;
(2)利用错位相减法计算出数列的前项和为.
【详解】
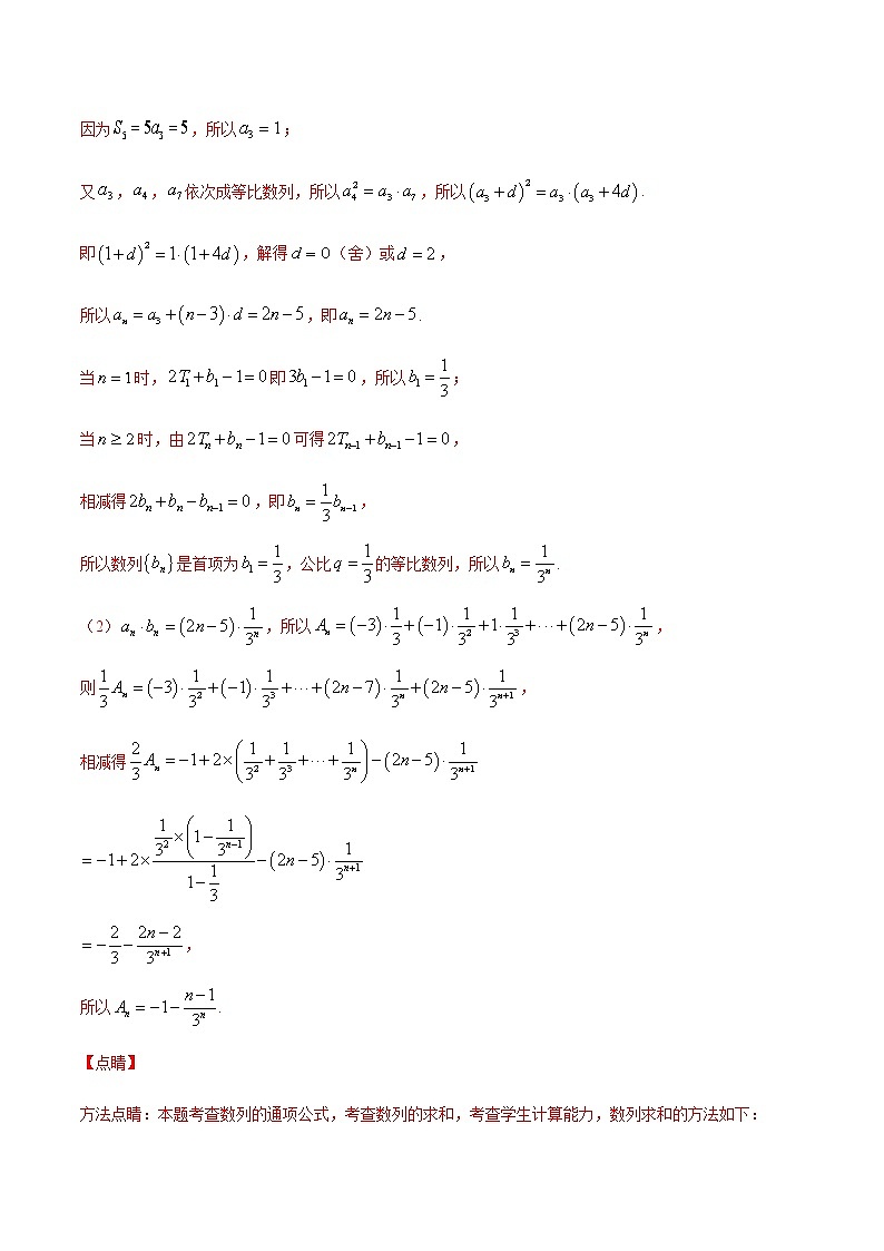
(1)设等差数列的公差为,则.
因为,所以;
又,,依次成等比数列,所以,所以.
即,解得(舍)或,
所以,即.
当时,即,所以;
当时,由可得,
相减得,即,
所以数列是首项为,公比的等比数列,所以.
(2),所以,
则,
相减得
,
所以.
【点睛】
方法点睛:本题考查数列的通项公式,考查数列的求和,考查学生计算能力,数列求和的方法如下:
1.公式法,利用等差数列和等比数列的求和公式进行计算即可;
2.裂项相消法,通过把数列的通项公式拆成两项之差,在求和时中间的一些项可以相互抵消,从而求出数列的和;
3.错位相减法,当数列的通项公式由一个等差数列与一个等比数列的乘积构成时使用此方法;
4.倒序相加法,如果一个数列满足首末两项等距离的两项之和相等,可以使用此方法求和.
3.已知数列{an}的前n项和为Sn,且Sn=2n﹣1.
(1)求数列{an}的通项公式,
(2)设函数f(x)=()x,数列{bn}满足条件b1=f(﹣1),f(bn+1).
①求数列{bn}的通项公式,
②设cn,求数列{cn}的前n项和Tn.
【答案】(1)an=2n,n∈N*;(2)①bn=3n﹣1;②Tn=5.
【分析】
(1)利用及可得通项公式;
(2)①化简关系式,由指数函数性质得数列是等差数列,从而得通项公式;
②由错位相减法求和.
【详解】
(1)由Sn=2n﹣1,即Sn=2n+1﹣2,
当n>1时,an=Sn﹣Sn﹣1=(2n+1﹣2)﹣(2n﹣2)=2n,
当n=1时,a1=S1=2,满足上式.则有数列{an}的通项公式为an=2n,n∈N*;
(2)①f(x)=()x,b1=2,f(bn+1).
可得()(),
即有bn+1=bn+3,可得{bn}以2首项和3为公差的等差数列,
即有bn=3n﹣1;
②cn,前n项和Tn=25()2+…+(3n﹣4)()+(3n﹣1)()n,
Tn=2()2+5()3+…+(3n﹣4)()n+(3n﹣1)()n+1,
相减可得,Tn()2+…+3()+3()﹣(3n﹣1)()n+1
(3n﹣1)()n+1,
化简可得,前n项和Tn=5.
【点睛】
本题考查由求,考查求等差数列的通项公式,错位相减法求和.数列求和的常用方法:
设数列是等差数列,是等比数列,
(1)公式法:等差数列或等比数列的求和直接应用公式求和;(
(2)错位相减法:数列的前项和应用错位相减法;
(3)裂项相消法;数列(为常数,)的前项和用裂项相消法;
(4)分组(并项)求和法:数列用分组求和法,如果数列中的项出现正负相间等特征时可能用用并项求和法;
(5)倒序相加法:满足(为常数)的数列,需用倒序相加法求和.
4.数列的前项和,数列的前项和,满足.
(1)求及;
(2)设数列的前项和为,求并证明:.
【答案】(1),;(2),证明见解析.
【分析】
(1)利用可求出,由可得,两式相减整理可得,从而可得数列是首项为,公比的等比数列,进而可求出,
(2)先利用错位相法求出,再利用放缩法可证得结论
【详解】
(1)当时,;
当时,;
符合上式,所以.
当时,即,所以;
当时,由可得,
相减得,即,
所以数列是首项为,公比的等比数列,所以.
(2),
所以,
则,
相减得
,
所以.
因为,所以,所以.
【点睛】
方法点睛:数列求和的方法通常有:
(1)公式法;(2)错位相减法;(3)裂项相消法;(4)分组求和法;(5)倒序相加法
5.已知数列是公差不为零的等差数列,若,且、、成等比数列.
(1)求数列的通项公式;
(2)若,求数列的前项和.
【答案】(1);(2).
【分析】
(1)设等差数列的公差为,利用已知条件得出关于的方程,求出的值,利用等差数列的通项公式可求得数列的通项公式;
(2)求得,然后利用错位相减法可求得.
【详解】
(1)设等差数列的公差为,
、、成等比数列,则,即,
整理得,,.
因此,;
(2)由(1)可得.
,①
(2).
①②得,
因此,.
【点睛】
方法点睛:数列求和的常用方法:
(1)对于等差等比数列,利用公式法直接求解;
(2)对于型数列,其中为等差数列,为等比数列,利用错位相减法求和;
(3)对于型数列,利用分组求和法;
(4)对于型数列,其中是公差为的等差数列,利用裂项相消法求和.
6.已知数列{an}的前n项和为Sn,且满足2Sn=3an-3,其中n∈N*.
(1)证明:数列{an}为等比数列;
(2)设bn=2n-1,cn=,求数列{cn}的前n项和Tn.
【答案】(1)证明见解析;(2).
【分析】
(1)根据数列的递推关系作差法即可证明;
(2)利用错位相减求和法即可求出答案.
【详解】
(1)因为,--------①
所以当时,,解得,
当时,,---------②
由①-②并整理得,,
由上递推关系得,所以,
故数列是首项为3,公比为3的等比数列,
(2)由(1)得:,
又因为,所以,
所以,
,
两式相减得:,
即:,
整理可得:
【点睛】
关键点睛:(1)解题关键在于利用递推式得到,和,利用作差法求出;(2)解题关键在于列出,,利用错位相消求和法进行求解,难度属于中档题
7.已知等比数列中,.
(1)求数列的通项公式;
(2)记,求数列的前项和.
【答案】(1);(2).
【分析】
(1)用等比数列基本量计算表示出已知条件,解方程即可求得公比,代入等比数列的通项公式即可求得结果;
(2)把(1)中求得的结果代入,求出,利用错位相减法求出
【详解】
(1)设数列的公比为,
由题意知:,
∴,即.
∴,,即.
(2),
∴.①
.②
①-②得
∴.
【点睛】
错位相减法求和的方法:如果数列是等差数列,是等比数列,求数列的前项和时,可采用错位相减法,一般是和式两边同乘以等比数列的公比,然后作差求解; 在写“”与“”的表达式时应特别注意将两式“错项对齐”以便下一步准确写出“”的表达式.
8.已知数列的前项和.
(1)求数列的通项公式;
(2)设,求数列的前项和.
(3)若存在正整数,使得成立,求实数的取值范围.
【答案】(1);(2);(3).
【分析】
(1)利用,求得,注意检验首项.
(2),错位相减法求和得解.
(3)当时,若为奇数,则,单调递增;若为偶数,则,单调递减,利用数列单调性得解.
【详解】
(1)因为,所以当时,,
所以,
因为,不适合,所以.
(2)由题意得当时,,当时,,
所以,
令,①
则,②
由①-②得
,
所以,
所以.
(3)由题意知,当时,若为奇数,则,单调递增;
若为偶数,则,单调递减,
所以,
因为存在正整数,使得成立,
所以当为奇数时,则,,所以,所以,
当为偶数时,则,,所以,所以,
即.
【点睛】
本题考查利用与的关系求通项及错位相减法求和.
已知求的三个步骤:(1)先利用求出.(2)用替换中的得到一个新的关系,利用便可求出当时的表达式.(3)对时的结果进行检验,看是否符合时的表达式,如果符合,则可以把数列的通项公式合写;如果不符合,则应该分与两段来写.
错位相减法求和的方法:如果数列是等差数列,是等比数列,求数列 的前项和时,可采用错位相减法,一般是和式两边同乘以等比数列的公比,然后作差求解; 在写“ ”与“”的表达式时应特别注意将两式“错项对齐”以便下一步准确写出“”的表达式.
9.已知数列满足,.设.
(1)求证:数列是等比数列;
(2)求数列的前项和为.
【答案】(1)证明见解析;(2).
【分析】
(1)由递推关系式可得,从而可证明数列是等比数列;
(2)先由(1),根据题中条件,求出,再利用错位相减法进行求和可得.
【详解】
(1)由,可得,即
则数列是以为首项,为公比的等比数列;
(2)由(1)可得,,,
则有
两式作差得:
.
10.已知等比数列满足,.
(1)定义:首项为1且公比为正数的等比数列为“数列”,证明:数列是“数列”;
(2)记等差数列的前项和记为,已知,,求数列的前项的和.
【答案】(1)证明见解析;(2).
【分析】
(1)由等比数列的通项公式求出公比,根据题意证明数列是“数列”;
(2)由等差数列的性质求出,当时,由等差数列的求和公式求出;当时,由错位相减法求出.
【详解】
(1)证明:由题意可设公比为,则得:
得:或
∴数列是“数列”.
(2)设数列的公差为
易得:得:
∴,得:
由(1)知
若,则
∴
若,则,∴
∴①
∴②
①②得:
∴
∴.
【点睛】
对于 “等差乘等比”类型的数列,一般采用错位相减法求数列的和.
11.已知等比数列的公比,且满足,,数列的前项和,.
(1)求数列和的通项公式;
(2)设,求数列的前项和.
【答案】(1);;(2).
【分析】
(1)根据题干已知条件可列出关于首项与公比的方程组,解出与的值,即可计算出数列的通项公式,再根据公式进行计算可得数列的通项公式;
(2)先分为奇数和为偶数分别计算出数列的通项公式,在求前项和时,对奇数项运用裂项相消法求和,对偶数项运用错位相减法求和,最后相加进行计算即可得到前项和.
【详解】
(1)依题意,由,,可得,因为,所以解得,,
,,
对于数列:当时,,
当时,,
当时,也满足上式,
,.
(2)由题意及(1),可知:
当为奇数时,,
当为偶数时,,
令,,则
,
,
,
两式相减,可得,
,
,
,
,
.
【点睛】
关键点点睛:第二问中当为奇数时,求出,并对进行裂项为是解题关键,本题主要考查等差数列和等比数列的基本量的运算,以及数列求和问题.考查了方程思想,分类讨论思想,转化与化归能力,整体思想,裂项相消法和错位相减法求和,以及逻辑推理能力和数学运算能力.本题属中档偏难题.
12.已知各项都大于1的数列{an}的前n项和为Sn,4Sn-4n+1=an2:数列{bn}的前n项和为Tn,bn+Tn=1.
(1)分别求数列{an}和数列{bn}的通项公式;
(2)设数列{cn}满足cn=anbn,若对任意的n∈N*.不等式5(λn+3bn)-2bnSn>λn(c1+c2+c3+…+cn)恒成立,试求实数λ的取值范围.
【答案】(1);;(2).
【分析】
(1)根据与的关系可得,以及,再利用等差数列的通项公式以及等比数列的通项公式即可求解.
(2)利用错位相减法求出,然后再分离参数即可求解.
【详解】
(1)由题可知,①
②
由②-①得:,
,,
故或,
又,(舍)或,
若,则有,而,所以,不满足题意,
所以,故
,,
两式相减得,
,
又,,
是等比数列,首项为,公比为,
(2)设
由(1)得,
,
相减得:,
,
又,
可化为:
,
即,
又,
,.
【点睛】
关键点点睛:本题考查了与的关系、数列求和、数列不等式,解题的关键是利用与的关系求出数列的通项公式,分离参数,考查了计算能力.
13.已知等差数列的前n项的和为,且,.
(1)求数列的通项公式;
(2)设,求数列的前n项和.
【答案】(1);(2)
【分析】
(1)直接根据等差数列的通项公式及前n项和公式列方程求解;
(2)利用错位相减法求和即可.
【详解】
解:(1)设等差数列的公差为,由题意,得
解得
所以数列的通项公式是;
(2)由(1)知
则,①
①式两边同乘以,得,②
①②,得,
所以.
【点睛】
(1)一般地,如果数列{an}是等差数列,{bn}是等比数列,求数列{an·bn}的前n项和时,可采用错位相减法求和,一般是和式两边同乘以等比数列{bn}的公比,然后作差求解.
(2)在写出“Sn”与“qSn”的表达式时应特别注意将两式“错项对齐”以便下一步准确写出“Sn-qSn”的表达式.
14.记等比数列的前n项和为,已知.
(1)求数列的通项公式;
(2)令,求数列的前n项和.
【答案】(1);(2).
【分析】
(1)利用作差思想可得,进而可得的通项公式;
(2)通过(1)求出的通项公式,利用错位相减法求其前项和即可.
【详解】
(1)当时,;
当时,,即,
所以等比数列的公比是3,所以,即,得,
故数列是首项为1,公比为3的等比数列,.
(2)由(1)知,,故.
则,
,
两式相减得,
,
故.
【点睛】
一般地,如果数列是等差数列,是等比数列,求数列的前项和时,可采用错位相减法求和,一般是和式两边同乘以等比数列的公比,然后作差求解.
15.已知数列的前n项的和为,且.
(1)求数列的通项公式;
(2)设,求数列的前n项和.
【答案】(1);(2).
【分析】
(1)根据写出,然后两式作差结合证明为等比数列并求解出通项公式;
(2)先根据(1)写出的通项公式,采用错位相减法求和,从而可求解出.
【详解】
解:(1)因为,①
当时,,解得;
当时,②
①②,得,即,
所以数列是首项为1,公比为2的等比数列,
从而.
(2)由(1)知,
则,
两边同乘以,得;
两式相减得,
所以.
【点睛】
思路点睛:满足等差乘以等比形式的数列的前项和的求解步骤(错位相减法):
(1)先根据数列的通项公式写出数列的一般形式:;
(2)将(1)中的关于等式的左右两边同时乘以等比数列的公比;
(3)用(1)中等式减去(2)中等式,注意用(1)中等式的第一项减去(2)中等式的第2项,依次类推,得到结果;
(4)利用等比数列的前项和公式以及相关计算求解出.
16.已知数列中,,.
(1)求证:是等比数列,并求的通项公式;
(2)数列满足,数列的前n项和为,若不等式对一切恒成立,求的取值范围.
【答案】(1)证明见解析,;(2).
【分析】
(1)对递推关系两边取倒数得,再利用构造等比数列,即可得答案;
(2)求出,再利用错位相减求和,根据数据的单调性,可求得参数的取值范围;
【详解】
(1)由得,即,
又,所以是以是为首项,为公比的等比数列.
所以,即.
(2),所以,.
两式相减得,所以,
所以. 令,易知单调递增,
若为偶数,则,所以;
若为奇数,则,所以,所以.
综上所述.
【点睛】
利用构造等比数列可求解形如递推关系的通项公式;根据数列的单调性求数列的最值,可求得参数的取值范围.
17.已知数列{an}的首项为0,且2anan+1+an+3an+1+2=0.
(1)证明数列是等差数列,并求{an}的通项公式;
(2)已知数列{bn}的前n项和为Sn,且,若不等式(-1)nλ<Sn+3×2n+1对一切n∈N*恒成立,求λ的取值范围.
【答案】(1)证明见解析;;(2)-14<λ<38.
【分析】
(1)通过化简,得到,然后利用等差数列的通项公式求解即可;
(2)利用错位相消求和法,得出,然后代入不等式,利用参变分离法求出λ的取值范围
【详解】
(1)证明:∵2anan+1+an+3an+1+2=0,
∴2(an+1)(an+1+1)+an+1-an=0,∴2(an+1)(an+1+1)+(an+1+1)-(an+1)=0,
∴,∴数列是首项为1,公差为2的等差数列.∴,∴.
(2)解:由题可知bn=(2n-1)×2n,Sn=1×21+3×22+5×23+…+(2n-1)×2n,2Sn=1×22+3×23+5×24+…+(2n-1)×2n+1,
两式相减得-Sn=1×21+2×22+2×23+…+2×2n-(2n-1)×2n+1,
,
得,代入不等式中得,
,化简得
,设,明显地,该数列为递增数列,
若n为偶数,则λ<n·2n+2+6,当时,取最小值,此时,∴λ<38;若n为奇数,则-λ<n·2n+2+6,当时,取最小值,此时,,∴-λ<14,∴λ>-14,综上,-14<λ<38.
【点睛】
关键点睛:解题关键在于,利用错位相消求和法和参变分离法进行求解,即先求出Sn=2n+1(2n-3)+6,进而不等式化简为(-1)nλ<n·2n+2+6,进而利用参变分离法得到λ<n·2n+2+6,进而分类讨论求解,属于中档题
18.已知等比数列{an}的公比大于1,且满足a3+a5=90,a4=27.
(1)求{an}的通项公式;
(2)记bn=log3an,求数列{an(bn+1)}的前n项和Tn.
【答案】(1);(2)
【分析】
(1)根据已知条件,结合等比数列的公式求出、,即可写出通项公式;
(2)由(1)结合已知有数列{an(bn+1)}的通项为,利用错位相减及等比数列前n项和公式即可求Tn.
【详解】
(1)设等比数列{an}的公比为,由已知得:,
解之得:或(舍去),所以,故{an}的通项公式.
(2),所以数列{an(bn+1)}的通项为,
∴,
,
即得,
∴
【点睛】
关键点点睛:利用等比通项公式结合已知即可得,进而求基本量并写出通项公式,由新数列的组成得到其通项公式结合等差、等比的项积的混合型数列,应用错位相减即可得到一个等比数列形式,结合等比数列前n项和公式即可求和.
19.已知在等差数列中,,其前8项和.
(1)求数列的通项公式﹔
(2)设数列满足,求的前项和.
【答案】(1);(2).
【分析】
(1)根据已知条件列出关于首项和公差的方程组,求解通项公式;(2)由(1)可知,利用错位相减法求和.
【详解】
解:(1)由,
由,得,
联立,解得,
故.
(2),
所以,①
,②
由①一②,得,
所以.
【点睛】
方法点睛:一般数列求和包含:1.公式法,利用等差和等比数列的前项和公式求解;2.错位相减法求和,适用于等差数列乘以等比数列的数列求和;3.裂项相消法求和,适用于能变形为, 4.分组转化法求和,适用于;5.倒序相加法求和.
20.已知等差数列的前项和为,,和的等差中项为.
(1)求及;
(2)设,求数列的前项和.
【答案】(1),;(2).
【分析】
(1)利用等差数列的性质以及等差数列前项的性质求解,再利用等差数列的通项公式以及等差数列前项公式求解即可;(2)由(1)得,利用错位相减法求和即可.
【详解】
(1)设等差数列的公差为,
因为,
所以,解得,
所以,
.
(2)由(1)得,
①
②
①-②
所以.
【点睛】
方法点睛:数列求和的方法:
(1)等差等比公式法;(2)裂项相消法;(3)错位相减法;(4)分组(并项)求和法;(5)倒序相加法.
21.甲、乙两名同学在复习时发现他们曾经做过的一道数列题目因纸张被破坏导致一个条件看不清,具体如下等比数列的前n项和为,已知____________,
(1)判断的关系并给出证明.
(2)若,设,的前n项和为,证明.
甲同学记得缺少的条件是首项的值,乙同学记得缺少的条件是公比q的值,并且他俩都记得第(1)问的答案是成等差数列.如果甲、乙两名同学记得的答案是正确的,请通过推理把条件补充完整并解答此题.
【答案】补充条件见解析;(1)证明见解析;(2)证明见解析.
【分析】
(1)可补充公比的值,由等比数列的通项公式和等差中项的性质,计算即可得所求得结论;
(2)由等比数列的通项公式求得,再利用乘公比错位相减求和结合等比数列求和公式,不等式的性质即可得证.
【详解】
(1)补充的条件为,
的关系为成等差数列.
证明如下:
若则,
,
,
可得,因此成等差数列.
(2)证明:由,可得,
解得
,
则,
,
上面两式相减可得.
整理可得,
因为,所以.
【点睛】
关键点点睛:本题得关键点是利用成等差数列求出等比数列的公比才能求出,在利用乘公比错位相减求和时要仔细,必要时可以用万能公式建议求和的结果,再利用不等式的性质即可得证.
22.已知数列中,且满足.
(1)求证:数列是等差数列,并求数列的通项公式;
(2)求证:对于数列,的充要条件是.
【答案】(1)证明见解析,;(2)证明见解析.
【分析】
(1)两边同时除以即可证明,利用等差数列的通项公式求出,即得出的通项公式;
(2)先正充分性,由得,相减即可证出;再证必要性,利用错位相减法求和可证明.
【详解】
(1),
两边同时除以,可得,
是首项为,公差为1的等差数列,
,
;
(2),即①,
充分性:时,,
时,②,
①-②得,则,满足,
,充分性成立;
必要性:若,则,
设,
,
,
两式相减得:
,
,
故,必要性成立.
故得证.
【点睛】
方法点睛:数列求和的常用方法:
(1)对于等差等比数列,利用公式法可直接求解;
(2)对于结构,其中是等差数列,是等比数列,用错位相减法求和;
(3)对于结构,利用分组求和法;
(4)对于结构,其中是等差数列,公差为,则,利用裂项相消法求和.
23.数列的前n项和为,若,点在直上.
(1)求证:数列是等差数列,并求的通项公式;
(2)若数列满足,求数列的前项和;
【答案】(1)证明见解析,;(2).
【分析】
(1)由点(Sn,Sn+1)在直线(n∈N*)上,得,对此式两边同除以n+1,得到,可得;根据,求出数列{an}的通项公式,(2)求得数列{bn}的通项公式,然后利用错位相减法求得数列{bn}的前n项和Tn;
【详解】
(Ⅰ),则有:数列是以3为首项,1为公差的等差数列故-
当时,,当时,,当时也成立.
(Ⅱ),,
解得:
【点睛】
本题考查数列通项公式求解及等差数列性质,考查数列求和方法,易错点点睛由求 不检验首项;方法点睛:数列求和的基本方法:1.公式法,2错位性减法,3裂项相消,4分组求和
24.已知数列,,满足,.
(1)令,证明:数列为等差数列,并求数列的通项公式;
(2)若,证明:.
【答案】(1)证明见解析,;(2)证明见解析.
【分析】
(1)由,变形得,可得,即,所以是首项为2,公差为2的等差数列,即可求出通项公式.
(2)由题设知,然后利用错位相减法求,即可证得结论.
【详解】
(1),,
又,两边同除以,可得,即,
所以是公差为2的等差数列.
又,所以.
(2)由(1)得,,
则,①
,②
由①②,得
,
.
又,,,
即.
【点睛】
方法点睛:本题考查数列求通项公式与求和问题,求数列和常用的方法:
(1)等差等比数列:分组求和法;(2)倒序相加法;(3)(数列为等差数列):裂项相消法;(4)等差等比数列:错位相减法.
25.已知是递增的等差数列,、是方程的根
(1)求数列的通项公式;
(2)求数列的前项和.
【答案】(1);(2).
【分析】
(1)转化条件为,,由等差数列的通项公式列方程即可得,即可得解;
(2)结合错位相减法运算即可得解.
【详解】
(1)因为方程的根为,,是递增的等差数列,
所以,,
设等差数列的公差为,则,解得,
所以;
(2)由题意,,
所以,
,
所以
,
所以.
【点睛】
关键点点睛:解决本题的关键是注意错位相减法的应用,要注意适用条件,细心计算.
三、填空题
26.求和____________. (用数字作答)
【答案】
【分析】
利用错位相减法求解.
【详解】
设,则,
两式相减得:,
.
故答案为:.
【点睛】
方法点睛:数列求和的常用方法:
(1)对于等差等比数列,利用公式法可直接求解;
(2)对于结构,其中是等差数列,是等比数列,用错位相减法求和;
(3)对于结构,利用分组求和法;
(4)对于结构,其中是等差数列,公差为,则,利用裂项相消法求和.
2024年新高考数学培优专练10 数列求和方法之错位相减法(原卷版+解析): 这是一份2024年新高考数学培优专练10 数列求和方法之错位相减法(原卷版+解析),文件包含专题10数列求和方法之错位相减法原卷版docx、专题10数列求和方法之错位相减法教师版docx等2份试卷配套教学资源,其中试卷共48页, 欢迎下载使用。
新高考数学二轮复习重难点突破练习专题10 数列求和方法之错位相减法(含解析): 这是一份新高考数学二轮复习重难点突破练习专题10 数列求和方法之错位相减法(含解析),共42页。试卷主要包含了单选题,解答题,填空题等内容,欢迎下载使用。
新高考数学培优专练10 数列求和方法之错位相减法: 这是一份新高考数学培优专练10 数列求和方法之错位相减法,文件包含专题10数列求和方法之错位相减法原卷版docx、专题10数列求和方法之错位相减法教师版docx等2份试卷配套教学资源,其中试卷共48页, 欢迎下载使用。