高中数学高考小题专项训练6
展开
这是一份高中数学高考小题专项训练6,共5页。
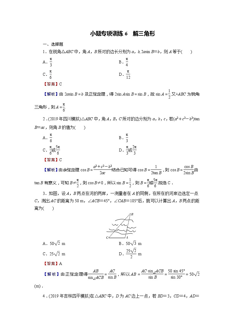
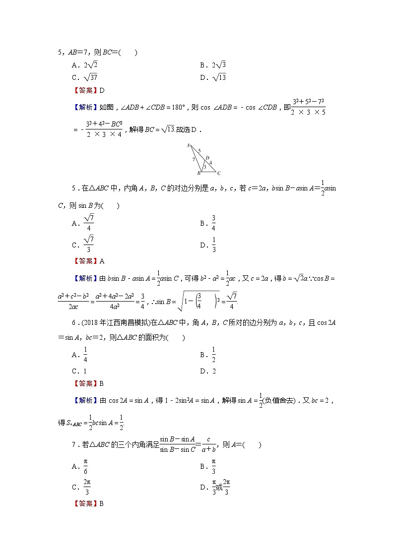
小题专项训练6 解三角形一、选择题1.在锐角△ABC中,角A,B所对的边长分别为a,b,2asin B=b,则A等于( )A. B. C. D.【答案】C【解析】由2asin B=b及正弦定理,得2sin Asin B=sin B,故sin A=.又△ABC为锐角三角形,则A=.2.(2019年四川模拟)△ABC中,角A,B,C所对的边分别为a,b,c,若(a2+c2-b2)tan B=ac,则角B的值为( )A. B. C.或 D.或【答案】C【解析】由余弦定理cos B=结合已知可得cos B=,则cos B=.由tan B有意义,可知B≠,则cos B≠0,所以sin B=,则B=或.故选C.3.如图,设A,B两点在河的两岸,一测量者在A的同侧,在所在的河岸边选定一点C,测出AC的距离为50 m,∠ACB=45°,∠CAB=105°后,就可以计算出A,B两点的距离为( )A.50 m B.50 mC.25 m D. m【答案】A【解析】由正弦定理得=,所以AB===50(m).4.(2019年吉林四平模拟)在△ABC中,D为AC边上一点,若BD=3,CD=4,AD=5,AB=7,则BC=( )A.2 B.2 C. D.【答案】D【解析】如图,∠ADB+∠CDB=180°,则cos ∠ADB=-cos ∠CDB,即=-,解得BC=.故选D.5.在△ABC中,内角A,B,C的对边分别是a,b,c,若c=2a,bsin B-asin A=asin C,则sin B为( )A. B. C. D.【答案】A【解析】由bsin B-asin A=asin C,可得b2-a2=ac,又c=2a,得b=a.∵cos B===,∴sin B==.6.(2018年江西南昌模拟)在△ABC中,角A,B,C所对的边分别为a,b,c,且cos 2A=sin A,bc=2,则△ABC的面积为( )A. B. C.1 D.2【答案】B【解析】由cos 2A=sin A,得1-2sin2A=sin A,解得sin A=(负值舍去).又bc=2,得S△ABC=bcsin A=.7.若△ABC的三个内角满足=,则A=( )A. B. C. D.或【答案】B【解析】由=及结合正弦定理,得=,整理得b2+c2-a2=bc,所以cos A==.由A为三角形的内角,知A=.8.(2018年河南开封一模)已知锐角三角形ABC,角A,B,C的对边分别为a,b,c,若b2=a(a+c),则的取值范围是( )A.(0,1) B.C. D.【答案】C【解析】由b2=a(a+c)及余弦定理,得c-a=2acos B.由正弦定理,得sin C-sin A=2sin Acos B.∵A+B+C=π,∴sin(A+B)-sin A=2sin Acos B,∴sin(B-A)=sin A.∵△ABC是锐角三角形,∴B-A=A,即B=2A.∴<A<,则=sin A∈.9.△ABC中,三边长a,b,c满足a3+b3=c3,那么△ABC的形状为( )A.锐角三角形 B.直角三角形 C.钝角三角形 D.以上均有可能【答案】A【解析】由题意可知c边最大,即c>a,c>b,则a2c+b2c>a3+b3=c3,则a2+b2-c2>0.由余弦定理得cos C>0,∴0<C<.∴△ABC为锐角三角形.10.设a,b,c分别是△ABC的角A,B,C所对的边,若=1 009tan C,且a2+b2=mc2,则m=( )A.1 008 B.1 009 C.2 018 D.2 019【答案】D【解析】由=1 009tan C,得+=×,即+=×,=.根据正、余弦定理,得=×,即=2 018,则=2 019,所以m=2 019.11.(2019年贵州模拟)在锐角三角形ABC中,已知a,b,c分别是角A,B,C的对边,且b=2asin B,a=4,则△ABC面积的最大值为( )A.2 B.4 C.8 D.16【答案】B【解析】由b=2asin B结合正弦定理得sin B=2sin Asin B,由锐角三角形知sin B≠0,所以sin A=,则cos A=.由余弦定理得a2=b2+c2-2bccos A,即16=b2+c2-bc,所以16≥2bc-bc=bc,当b=c时等号成立.所以S=bcsin A≤×16×=4,即△ABC面积的最大值为4.故选B.12.(2018年辽宁沈阳五校联考)在△ABC中,内角A,B,C所对的边分别为a,b,c.已知sin A-sin B=sin C,3b=2a,2≤a2+ac≤18.设△ABC的面积为S,p=a-S,则p的最大值是( )A. B. C. D.【答案】C【解析】在△ABC中,由sin A-sin B=sin C及正弦定理,得c=3a-3b.再根据3b=2a,2≤a2+ac≤18,得a=c,1≤a≤3.由余弦定理,得b2==a2+a2-2a·acos B,解得cos B=,∴sin B=,则S=acsin B=a2.∴p=a-S=a-a2.根据二次函数的图象可知,当a=时,p取得最大值.二、填空题13.△ABC的三内角A,B,C的对边边长分别为a,b,c,若a=b,A=2B,则cos B=________. 【答案】【解析】由a=b及正弦定理,得sin A=sin B,即=.又A=2B,所以=,得cos B=.14.已知△ABC中,AC=4,BC=2,∠BAC=60°,AD⊥BC于D,则的值为________.【答案】6【解析】在△ABC中,由余弦定理可得BC2=AC2+AB2-2AC·ABcos∠BAC,即28=16+AB2-4AB,解得AB=6,则cos∠ABC==.所以BD=AB·cos∠ABC=,CD=BC-BD=,则=6.15.在距离塔底分别为80 m,160 m,240 m 的同一水平面上的A,B,C处,依次测得塔顶的仰角分别为α,β,γ.若α+β+γ=90°,则塔高为________m.【答案】80【解析】设塔高为h m,依题意得tan α=,tan β=,tan γ=.∵α+β+γ=90°,∴tan(α+β)tan γ=1.∴·tan γ=1.代入解得h=80,即塔高为80 m.16.在△ABC中,角A,B,C所对边的边长分别为a,b,c,S是△ABC的面积,若2Ssin A<(·)sin B,则下列结论:①a2<b2+c2;②c2>a2+b2;③cos Bcos C>sin Bsin C;④△ABC是钝角三角形.其中正确结论的序号是________.【答案】①②④【解析】∵2Ssin A<(·)sin B,∴2×bc·sin Asin A<cacos Bsin B,∴bcsin Asin A<acsin Bcos B.由正弦定理得bsin A=asin B>0,∴cos B>sin A>0,∴A,B均是锐角.而cos B=sin(90°-B),∴sin(90°-B)>sin A,即90°-B>A,则A+B<90°.∴C>90°.△ABC是钝角三角形.由余弦定理得cos C=<0,cos A=>0,即有c2>a2+b2,a2<b2+c2,①②④正确;cos Bcos C-sin Bsin C=cos(B+C)=-cos A<0,③错误.综上,正确的是①②④.
相关试卷
这是一份高中数学高考小题专项训练15,共6页。
这是一份高中数学高考小题专项训练13,共5页。
这是一份高中数学高考小题专项训练8,共7页。

