高中数学高考2022届高考数学一轮复习(新高考版) 第4章 §4 6 解三角形课件PPT
展开
这是一份高中数学高考2022届高考数学一轮复习(新高考版) 第4章 §4 6 解三角形课件PPT,共60页。PPT课件主要包含了考试要求,主干梳理基础落实,题型突破核心探究,课时精练,内容索引,RsinB,RsinC,题组一思考辨析,题组二教材改编,等腰三角形或等内容,欢迎下载使用。
1.掌握正弦定理、余弦定理,并能解决一些简单的三角形度量问题.2.能够运用正弦定理、余弦定理等知识和方法解决一些与测量和几 何计算有关的实际问题.
ZHUGANSHULI JICHULUOSHI
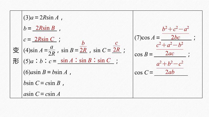
1.正弦定理、余弦定理在△ABC中,若角A,B,C所对的边分别是a,b,c,R为△ABC外接圆半径,则
b2+c2-2bccs A
c2+a2-2cacs B
a2+b2-2abcs C
sin A∶sin B∶sin C
2.三角形常用面积公式
3.测量中的几个有关术语
1.三角形中有哪些三角函数关系?
提示 三角形中的三角函数关系(1)sin(A+B)=sin C;(2)cs(A+B)=-cs C;
2.在△ABC中,A>B是sin A>sin B的充要条件吗?提示 在△ABC中,由A>B可推出sin A>sin B,由sin A>sin B也可推出A>B,故A>B是sin A>sin B的充要条件.
1.判断下列结论是否正确(请在括号中打“√”或“×”)(1)三角形中三边之比等于相应的三个内角之比.( )(2)当b2+c2-a20,∴sin A=1,
∴△ABC为直角三角形.
(2)(多选)已知a,b,c分别是△ABC三个内角A,B,C的对边,下列四个命题中正确的是A.若tan A+tan B+tan C>0,则△ABC是锐角三角形B.若acs A=bcs B,则△ABC是等腰三角形C.若bcs C+ccs B=b,则△ABC是等腰三角形D.若 ,则△ABC是等边三角形
解析 ∵tan A+tan B+tan C=tan Atan Btan C>0,∴A,B,C均为锐角,∴选项A正确;由acs A=bcs B及正弦定理,可得sin 2A=sin 2B,
∴△ABC是等腰三角形或直角三角形,∴选项B错;
由bcs C+ccs B=b及正弦定理,可知sin Bcs C+sin Ccs B=sin B,∴sin A=sin B,∴A=B,∴选项C正确;由已知和正弦定理,易知tan A=tan B=tan C,∴选项D正确.
所以由余弦定理b2=a2+c2-2accs B,
解析 由余弦定理a2=b2+c2-2bccs A,
(1)判断三角形形状的方法①化边:通过因式分解、配方等得出边的相应关系.②化角:通过三角恒等变换,得出内角的关系,此时要注意应用A+B+C=π这个结论.(2)三角形面积计算问题要适当选用公式,可以根据正弦定理和余弦定理进行边角互化.
∴2a2=a2+c2-b2,∴a2+b2=c2,∴△ABC为直角三角形.
(2)(2018·全国Ⅰ)△ABC的内角A,B,C的对边分别为a,b,c.已知bsin C+csin B=4asin Bsin C,b2+c2-a2=8,则△ABC的面积为 .
解析 由bsin C+csin B=4asin Bsin C,得sin Bsin C+sin Csin B=4sin Asin Bsin C,
题型三 解三角形应用举例
命题点1 测量距离问题例4 (2020·宁德质检)海洋蓝洞是地球罕见的自然地理现象,被誉为“地球给人类保留宇宙秘密的最后遗产”,我国拥有世界上已知最深的海洋蓝洞,若要测量如图所示的海洋蓝洞的口径(即A,B两点间的距离),现取两点C,D,测得CD=80,∠ADB=135°,∠BDC=∠DCA=15°,∠ACB=120°,则图中海洋蓝洞的口径为 .
解析 由已知得,在△ADC中,∠ACD=15°,∠ADC=150°,所以∠DAC=15°,
在△BCD中,∠BDC=15°,∠BCD=135°,所以∠DBC=30°,
在△ABC中,由余弦定理,
=1 600×16+1 600×4=1 600×20=32 000,
命题点2 测量高度问题例5 (2020·长春质检)《海岛算经》是中国学者刘徽编撰的一部测量数学著作,现有取自其中的一个问题:今有望海岛,立两表,齐高三丈,前后相去千步,令后表与前表参相直,从前表却行一百二十三步,人目着地,取望岛峰,与表末参合,从后表却行一百二十七步,人目着地,取望岛峰,亦与表末参合,问岛高几何?其大意为:如图所示,立两个三丈高的标杆BC和DE,两标杆之间的距离BD=1 000步,两标杆的底端与海岛的底端H在同一直线上,从前面的标杆B处后退123步,人眼贴地面,从地上F处仰望岛峰,A,C,F三点共线,从后面的标杆D处后退127步,人眼贴地面,从地上G处仰望岛峰,A,E,G三点也共线,则海岛的高为(注:1步=6尺,1里=180丈=1 800尺=300步)
A.1 255步 B.1 250步C.1 230步 D.1 200步
解析 因为AH∥BC,所以△BCF∽△HAF,
因为AH∥DE,所以△DEG∽△HAG,
所以HB=30 750步,
命题点3 测量角度问题例6 已知岛A南偏西38°方向,距岛A 3海里的B处有一艘缉私艇.岛A处的一艘走私船正以10海里/小时的速度向岛北偏西22°方向行驶,问缉私艇朝何方向以多大速度行驶,恰好用0.5小时能截住该走私船?
解 如图,设缉私艇在C处截住走私船,D为岛A正南方向上一点,缉私艇的速度为x海里/小时,结合题意知BC=0.5x,AC=5,∠BAC=180°-38°-22°=120°.由余弦定理可得BC2=AB2+AC2-2AB·ACcs 120°,所以BC2=49,所以BC=0.5x=7,解得x=14.又由正弦定理得
所以∠ABC=38°,又∠BAD=38°,所以BC∥AD,故缉私艇以14海里/小时的速度向正北方向行驶,恰好用0.5小时截住该走私船.
数学抽象是指舍去事物的一切物理属性,得到数学研究对象的思维过程,主要包括:从数量与数量关系、图形与图形关系中抽象出数学概念及概念之间的关系,从事物的具体背景中抽象出一般规律和结构,并且用数学符号或数学术语予以表征.从实际问题中抽象出距离、高度、角度等数学问题,然后利用正弦定理、余弦定理求解,很好地体现了数学抽象的数学素养.
跟踪训练3 如图,一辆汽车在一条水平的公路上向正西行驶,到A处时测得公路北侧一山顶D在西偏北30°的方向上,行驶600 m后到达B处,测得此山顶在西偏北75°的方向上,仰角为30°,则此山的高度CD= ______m.
解析 由题意,在△ABC中,∠BAC=30°,∠ABC=180°-75°=105°,故∠ACB=45°.又AB=600 m,
KESHIJINGLIAN
解析 由bsin 2A=asin B,
又c=2b,由余弦定理得
所以AC=1,所以BC2=AB2+AC2-2AB·ACcs A=3.
解析 ∵asin A-bsin B=4csin C,∴由正弦定理得a2-b2=4c2,即a2=4c2+b2.
由余弦定理得3=x2+9-2×3×x×cs 30°.
解析 对于A,若cs A=cs B,则A=B,∴△ABC为等腰三角形,故正确;
只有一解,故错误;对于D,若sin2A+sin2B
相关课件
这是一份2024年高考数学一轮复习(新高考版) 第4章 必刷大题9 解三角形课件PPT,共31页。PPT课件主要包含了所以a=2b等内容,欢迎下载使用。
这是一份高中数学高考2022届高考数学一轮复习(新高考版) 第6章 高考专题突破三 高考中的数列问题课件PPT,共60页。PPT课件主要包含了考试要求,主干梳理基础落实,题型突破核心探究,课时精练,内容索引,2常见的裂项技巧,解得a1=192,题型三数列的求和,规范解答,解当n为奇数时等内容,欢迎下载使用。
这是一份高中数学高考2022届高考数学一轮复习(新高考版) 第6章 §6 1 数列的概念与简单表示法课件PPT,共60页。PPT课件主要包含了考试要求,内容索引,主干梳理基础落实,题型突破核心探究,课时精练,Sn-Sn-1,数列的分类,列表法,解析法,题组一思考辨析等内容,欢迎下载使用。

