高中数学高考板块4 回归教材 赢得高考 回扣3 三角函数、三角恒等变换与解三角形课件PPT
展开
这是一份高中数学高考板块4 回归教材 赢得高考 回扣3 三角函数、三角恒等变换与解三角形课件PPT,共17页。PPT课件主要包含了内容索引,回归教材,易错提醒,k∈Z,x=kπk∈Z,-2sin2α,2辅助角公式等内容,欢迎下载使用。
NEIRONGSUOYIN
1.终边相同角的表示所有与角α终边相同的角,连同角α在内,可构成一个集合S=__________________ ,即任一与角α终边相同的角,都可以表示成角α与整数个周角的和.2.几种特殊位置的角的集合(1)终边在x轴非负半轴上的角的集合: .(2)终边在x轴非正半轴上的角的集合: .(3)终边在x轴上的角的集合: .(4)终边在y轴上的角的集合: .(5)终边在坐标轴上的角的集合: .(6)终边在y=x上的角的集合: .(7)终边在y=-x上的角的集合: .(8)终边在坐标轴或四象限角平分线上的角的集合: .
{β|β=α+k·360°,
{α|α=k·360°,k∈Z}
{α|α=180°+k·360°,k∈Z}
{α|α=k·180°,k∈Z}
{α|α=90°+k·180°,k∈Z}
{α|α=k·90°,k∈Z}
{α|α=45°+k·180°,k∈Z}
{α|α=-45°+k·180°,k∈Z}
{α|α=k·45°,k∈Z}
3.1弧度的角在圆中,把长度等于半径长的弧所对的圆心角叫做1弧度的角,用符号rad表示.4.正角、负角和零角的弧度数一般的,正角的弧度数是一个正数,负角的弧度数是一个负数,零角的弧度数是0.5.角度制与弧度制的换算(1)1°= rad.(2)1 rad= .6.如果半径为r的圆的圆心角α所对弧的长为l,那么,角α的弧度数的绝对值是|α|= .
7.利用单位圆定义任意角的三角函数设α是一个任意角,它的终边与单位圆交于点P(x,y),那么:(1)y叫做α的正弦,记作sin α,即sin α=y.(2)x叫做α的余弦,记作cs α,即cs α=x.
8.同角三角函数的基本关系
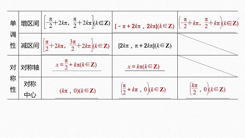
9.三种三角函数的性质
{x|x=kπ,k∈Z}
[-π+2kπ,2kπ](k∈Z)
(kπ,0)(k∈Z)
10.函数y=Asin(ωx+φ)(ω>0,A>0)的图象(1)“五点法”作图
(2)由三角函数的图象确定解析式时,一般利用五点中的零点或最值点作为解题突破口.(3)图象变换
11.准确记忆六组诱导公式对于“ ±α,k∈Z”的三角函数值与α角的三角函数值的关系口诀:奇变偶不变,符号看象限.
12.三角函数恒等变换(1) cs(α+β)= ,cs(α-β)= ,sin(α+β)= ,sin(α-β)= ,
cs αcs β-sin αsin β
cs αcs β+sin αsin β
sin αcs β+cs αsin β
sin αcs β-cs αsin β
tan 2α=__________
tan(α-β)=________________
_____________________________________________________,
sin 2α= ,cs 2α= =2cs2α-1= ,
__________________________________________________.
∴acs x+bsin x= ,
13.正弦定理及其变形
变形:a=2Rsin A,b=2Rsin B,c=2Rsin C.
a∶b∶c=sin A∶sin B∶sin C.
14.余弦定理及其推论、变形a2= ,b2=a2+c2-2accs B,c2=a2+b2-2abcs C.
b2+c2-2bccs A
变形:b2+c2-a2=2bccs A,a2+c2-b2=2accs B,a2+b2-c2=2abcs C.15.面积公式
1.利用同角三角函数的平方关系式求值时,不要忽视角的范围,要先判断函数值的符号.2.在求三角函数的值域(或最值)时,不要忽略x的取值范围.3.求函数f(x)=Asin(ωx+φ)的单调区间时,要注意A与ω的符号,当ω
相关课件
这是一份新高考版高考数学二轮复习(新高考版) 第2部分 回扣3 三角函数、三角恒等变换与解三角形课件PPT,共18页。PPT课件主要包含了高考数学二轮复习策略,回归教材,ββ=α+,-sinα,sinα,cosα,-cosα,tanα,-tanα,k∈Z等内容,欢迎下载使用。
这是一份高中数学高考板块4 回归教材 赢得高考 回扣8 函数与导数(1)课件PPT,共19页。PPT课件主要包含了内容索引,回归教材,易错提醒,-fx,x=a,2伸缩变换,3对称变换等内容,欢迎下载使用。
这是一份高中数学高考板块4 回归教材 赢得高考 回扣1 集合、常用逻辑用语、不等式与推理证明课件PPT,共16页。PPT课件主要包含了内容索引,回归教材,易错提醒,PARTONE,至少有一个,基本不等式,PARTTWO等内容,欢迎下载使用。

