高中数学高考02第一部分 板块二 专题一 三角函数、三角恒等变换与解三角形 第1讲 三角函数的图象与性质(小题)课件PPT
展开
这是一份高中数学高考02第一部分 板块二 专题一 三角函数、三角恒等变换与解三角形 第1讲 三角函数的图象与性质(小题)课件PPT,共42页。PPT课件主要包含了内容索引,热点分类突破,真题押题精练,押题预测,真题体验等内容,欢迎下载使用。
NEIRONGSUOYIN
热点一 三角函数的概念、诱导公式及同角基本关系式
热点二 三角函数y=Asin(ωx+φ)的图象及应用
热点三 三角函数的性质及应用
1.三角函数:设α是一个任意角,它的终边与单位圆交于点P(x,y),则sin α=y,
例1 (1)(2019·茂名模拟)函数y=lga(x+4)+2(a>0且a≠1)的图象恒过点A,且点A在角α的终边上,则sin 2α等于
解析 函数y=lga(x+4)+2(a>0且a≠1)的图象恒过点A(-3,2),
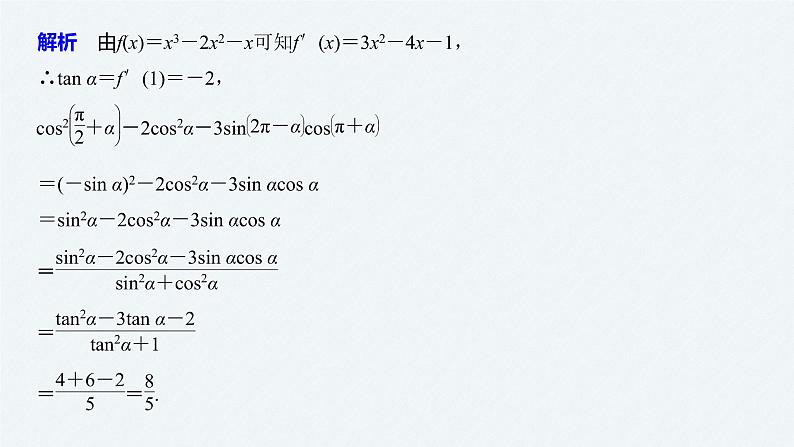
2cs2α-3sin(2π-α)·cs(π+α)的值为
解析 由f(x)=x3-2x2-x可知f′(x)=3x2-4x-1,∴tan α=f′(1)=-2,
=(-sin α)2-2cs2α-3sin αcs α=sin2α-2cs2α-3sin αcs α
解析 由诱导公式可得,
∴-sin α=-2cs α,即sin α=2cs α,
3.由三角函数的图象求解析式y=Asin(ωx+φ)+B(A>0,ω>0)中参数的值:
(1)最值定A,B:根据给定的函数图象确定最值,设最大值为M,最小值为m,则M
(3)点坐标定φ:一般运用代入法求解φ值,注意在确定φ值时,往往以寻找“五点法”中的某一个点为突破口,即“峰点”“谷点”与三个“中心点”.要注意φ的范围.
sin x图象上的所有点
解析 把y=sin x上各点的横坐标伸长到原来的5倍,纵坐标不变,
(2)(2019·宜昌调研)已知函数f(x)=Asin(ωx+φ)(A>0,ω>0,|φ|0,ω>0,|φ|
相关课件
这是一份高中数学高考板块2 核心考点突破拿高分 专题1 第1讲 三角函数的图象与性质(小题)课件PPT,共41页。PPT课件主要包含了内容索引,热点分类突破,真题押题精练,押题预测,真题体验等内容,欢迎下载使用。
这是一份高中数学高考板块2 核心考点突破拿高分 专题1 第2讲 三角恒等变换与解三角形(小题)课件PPT,共41页。PPT课件主要包含了内容索引,热点分类突破,真题押题精练,热点一三角恒等变换,押题预测,真题体验等内容,欢迎下载使用。
这是一份高中数学高考35第一部分 板块四 回扣3 三角函数、三角恒等变换与解三角形课件PPT,共17页。PPT课件主要包含了内容索引,回归教材,易错提醒,k∈Z,x=kπk∈Z,-2sin2α,2辅助角公式等内容,欢迎下载使用。

