高中数学高考1 第1讲 1 第1讲 变化率与导数、导数的计算新题培优练
展开
这是一份高中数学高考1 第1讲 1 第1讲 变化率与导数、导数的计算新题培优练,共6页。试卷主要包含了若过点A作曲线C,已知函数f=x3+x-16.等内容,欢迎下载使用。
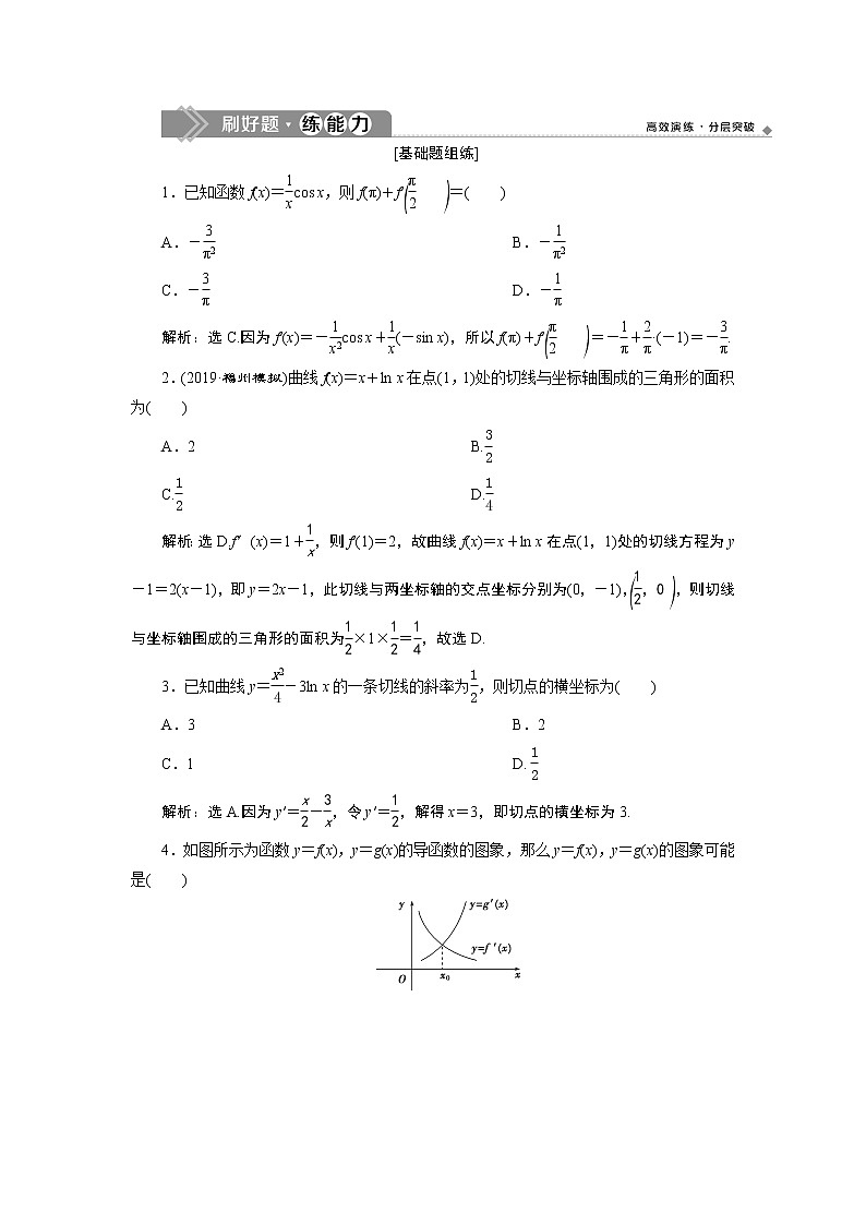
[基础题组练]1.已知函数f(x)=cos x,则f(π)+f′=( )A.- B.-C.- D.-解析:选C.因为f′(x)=-cos x+(-sin x),所以f(π)+f′=-+·(-1)=-.2.(2019·福州模拟)曲线f(x)=x+ln x在点(1,1)处的切线与坐标轴围成的三角形的面积为( )A.2 B.C. D.解析:选D.f′(x)=1+,则f′(1)=2,故曲线f(x)=x+ln x在点(1,1)处的切线方程为y-1=2(x-1),即y=2x-1,此切线与两坐标轴的交点坐标分别为(0,-1),,则切线与坐标轴围成的三角形的面积为×1×=,故选D.3.已知曲线y=-3ln x的一条切线的斜率为,则切点的横坐标为( )A.3 B.2C.1 D. 解析:选A.因为y′=-,令y′=,解得x=3,即切点的横坐标为3.4.如图所示为函数y=f(x),y=g(x)的导函数的图象,那么y=f(x),y=g(x)的图象可能是( )解析:选D.由y=f′(x)的图象知y=f′(x)在(0,+∞)上单调递减,说明函数y=f(x)的切线的斜率在(0,+∞)上也单调递减,故排除A、C.又由图象知y=f′(x)与y=g′(x)的图象在x=x0处相交,说明y=f(x)与y=g(x)的图象在x=x0处的切线的斜率相同,故排除B.5.函数g(x)=x3+x2+3ln x+b(b∈R)在x=1处的切线过点(0,-5),则b的值为( )A. B.C. D.解析:选B.当x=1时,g(1)=1++b=+b,又g′(x)=3x2+5x+,所以切线斜率k=g′(1)=3+5+3=11,从而切线方程为y=11x-5,由于点在切线上,所以+b=11-5,解得b=.故选B.6.已知f(x)=ax4+bcos x+7x-2.若f′(2 018)=6,则f′(-2 018)=________.解析:因为f′(x)=4ax3-bsin x+7,所以f′(-x)=4a(-x)3-bsin(-x)+7=-4ax3+bsin x+7.所以f′(x)+f′(-x)=14.又f′(2 018)=6,所以f′(-2 018)=14-6=8.答案:87.(2019·广州市调研测试)若过点A(a,0)作曲线C:y=xex的切线有且仅有两条,则实数a的取值范围是________.解析:设切点坐标为(x0,x0ex0),y′=(x+1)ex,y′|x=x0=(x0+1)ex0,所以切线方程为y-x0ex0=(x0+1)ex0(x-x0),将点A(a,0)代入可得-x0ex0=(x0+1)ex0(a-x0),化简,得x-ax0-a=0,过点A(a,0)作曲线C的切线有且仅有两条,即方程x-ax0-a=0有两个不同的解,则有Δ=a2+4a>0,解得a>0或a<-4,故实数a的取值范围是(-∞,-4)∪(0,+∞).答案:(-∞,-4)∪(0,+∞)8.(2019·南昌第一次模拟)设函数f(x)在(0,+∞)内可导,其导函数为f′(x),且f(ln x)=x+ln x,则f′(1)=________.解析:因为f(ln x)=x+ln x,所以f(x)=x+ex,所以f′(x)=1+ex,所以f′(1)=1+e1=1+e.答案:1+e9.已知函数f(x)=x3+(1-a)x2-a(a+2)x+b(a,b∈R).(1)若函数f(x)的图象过原点,且在原点处的切线斜率为-3,求a,b的值;(2)若曲线y=f(x)存在两条垂直于y轴的切线,求a的取值范围.解:f′(x)=3x2+2(1-a)x-a(a+2).(1)由题意得解得b=0,a=-3或a=1.(2)因为曲线y=f(x)存在两条垂直于y轴的切线,所以关于x的方程f′(x)=3x2+2(1-a)x-a(a+2)=0有两个不相等的实数根,所以Δ=4(1-a)2+12a(a+2)>0,即4a2+4a+1>0,所以a≠-.所以a的取值范围为∪.10.已知函数f(x)=x3+x-16.(1)求曲线y=f(x)在点(2,-6)处的切线的方程;(2)直线l为曲线y=f(x)的切线,且经过原点,求直线l的方程及切点坐标;(3)如果曲线y=f(x)的某一切线与直线y=-x+3垂直,求切点坐标与切线的方程.解:(1)可判定点(2,-6)在曲线y=f(x)上.因为f′(x)=(x3+x-16)′=3x2+1.所以f(x)在点(2,-6)处的切线的斜率为k=f′(2)=13.所以切线的方程为y=13(x-2)+(-6),即y=13x-32.(2)设切点为(x0,y0),则直线l的斜率为f′(x0)=3x+1,所以直线l的方程为y=(3x+1)(x-x0)+x+x0-16,又因为直线l过点(0,0),所以0=(3x+1)(-x0)+x+x0-16,整理得,x=-8,所以x0=-2,所以y0=(-2)3+(-2)-16=-26,k=3×(-2)2+1=13.所以直线l的方程为y=13x,切点坐标为(-2,-26).(3)因为切线与直线y=-x+3垂直,所以切线的斜率k=4.设切点的坐标为(x0,y0),则f′(x0)=3x+1=4,所以x0=±1.所以或即切点坐标为(1,-14)或(-1,-18),切线方程为y=4(x-1)-14或y=4(x+1)-18.即y=4x-18或y=4x-14.[综合题组练]1.(应用型)在等比数列{an}中,a1=2,a8=4,函数f(x)=x(x-a1)(x-a2)·…·(x-a8),则f′(0)=( )A.26 B.29C.212 D.215解析:选C.因为f′(x)=x′·[(x-a1)(x-a2)·…·(x-a8)]+[(x-a1)·(x-a2)·…·(x-a8)]′·x=(x-a1)(x-a2)·…·(x-a8)+[(x-a1)(x-a2)·…·(x-a8)]′·x,所以f′(0)=(0-a1)(0-a2)·…·(0-a8)+0=a1a2·…·a8.因为数列{an}为等比数列,所以a2a7=a3a6=a4a5=a1a8=8,所以f′(0)=84=212.故选C.2.(应用型)(2019·成都第二次诊断检测)若曲线y=f(x)=ln x+ax2(a为常数)不存在斜率为负数的切线,则实数a的取值范围是( )A. B.[-,+∞)C.(0,+∞) D.[0,+∞)解析:选D.f′(x)=+2ax=(x>0),根据题意有f′(x)≥0(x>0)恒成立,所以2ax2+1≥0(x>0)恒成立,即2a≥-(x>0)恒成立,所以a≥0,故实数a的取值范围为[0,+∞).故选D.3.(创新型)(2019·黑龙江伊春质检)曲线y=ln(2x-1)上的点到直线2x-y+8=0的最短距离是________.解析:设M(x0,ln(2x0-1))为曲线上的任意一点,则曲线在M点处的切线与直线2x-y+8=0平行时,M点到直线的距离即为曲线y=ln(2x-1)上的点到直线2x-y+8=0的最短距离.因为y′=,所以=2,解得x0=1,所以M(1,0).记点M到直线2x-y+8=0的距离为d,则d==2.答案:24.设有抛物线C:y=-x2+x-4,过原点O作C的切线y=kx,使切点P在第一象限.(1)求k的值;(2)过点P作切线的垂线,求它与抛物线的另一个交点Q的坐标.解:(1)由题意得,y′=-2x+.设点P的坐标为(x1,y1),则y1=kx1,①y1=-x+x1-4,②-2x1+=k,③联立①②③得,x1=2,x2=-2(舍去).所以k=.(2)过P点作切线的垂线,其方程为y=-2x+5.④将④代入抛物线方程得,x2-x+9=0.设Q点的坐标为(x2,y2),则2x2=9,所以x2=,y2=-4.所以Q点的坐标为.5.(2019·福州质检)设函数f(x)=ax-,曲线y=f(x)在点(2,f(2))处的切线方程为7x-4y-12=0.(1)求f(x)的解析式;(2)证明:曲线y=f(x)上任一点处的切线与直线x=0和直线y=x所围成的三角形的面积为定值,并求此定值.解:(1)方程7x-4y-12=0可化为y=x-3.当x=2时,y=.又f′(x)=a+,于是解得故f(x)=x-.(2)证明:设P(x0,y0)为曲线上任一点,由y′=1+,知曲线在点P(x0,y0)处的切线方程为y-y0=(x-x0),即y-=(x-x0).令x=0,得y=-,从而得切线与直线x=0的交点坐标为.令y=x,得y=x=2x0,从而得切线与直线y=x的交点坐标为(2x0,2x0).所以点P(x0,y0)处的切线与直线x=0,y=x所围成的三角形的面积为S=|2x0|=6.故曲线y=f(x)上任一点处的切线与直线x=0,y=x所围成的三角形的面积为定值,且此定值为6.
相关试卷
这是一份(新高考)高考数学一轮复习讲练测 第4章 第1讲 变化率与导数、导数的计算 (2份打包,原卷版+教师版),文件包含新高考高考数学一轮复习讲练测第4章第1讲变化率与导数导数的计算原卷版doc、新高考高考数学一轮复习讲练测第4章第1讲变化率与导数导数的计算原卷版pdf、新高考高考数学一轮复习讲练测第4章第1讲变化率与导数导数的计算教师版doc、新高考高考数学一轮复习讲练测第4章第1讲变化率与导数导数的计算教师版pdf等4份试卷配套教学资源,其中试卷共40页, 欢迎下载使用。
这是一份新高考数学一轮复习课时讲练 第3章 第1讲 第1讲 变化率与导数、导数的计算 (含解析),共17页。试卷主要包含了导数的概念,基本初等函数的导数公式,复合函数的导数,设有抛物线C等内容,欢迎下载使用。
这是一份(新高考)高考数学一轮复习素养练习 第4章 第1讲 变化率与导数、导数的计算 (含解析),共14页。试卷主要包含了知识梳理,教材衍化等内容,欢迎下载使用。

