


高中数学高考 2021届高三大题优练7 圆锥曲线中的探究性问题(文) 教师版(1)
展开
这是一份高中数学高考 2021届高三大题优练7 圆锥曲线中的探究性问题(文) 教师版(1),共11页。试卷主要包含了已知椭圆的离心率,并且经过定点等内容,欢迎下载使用。
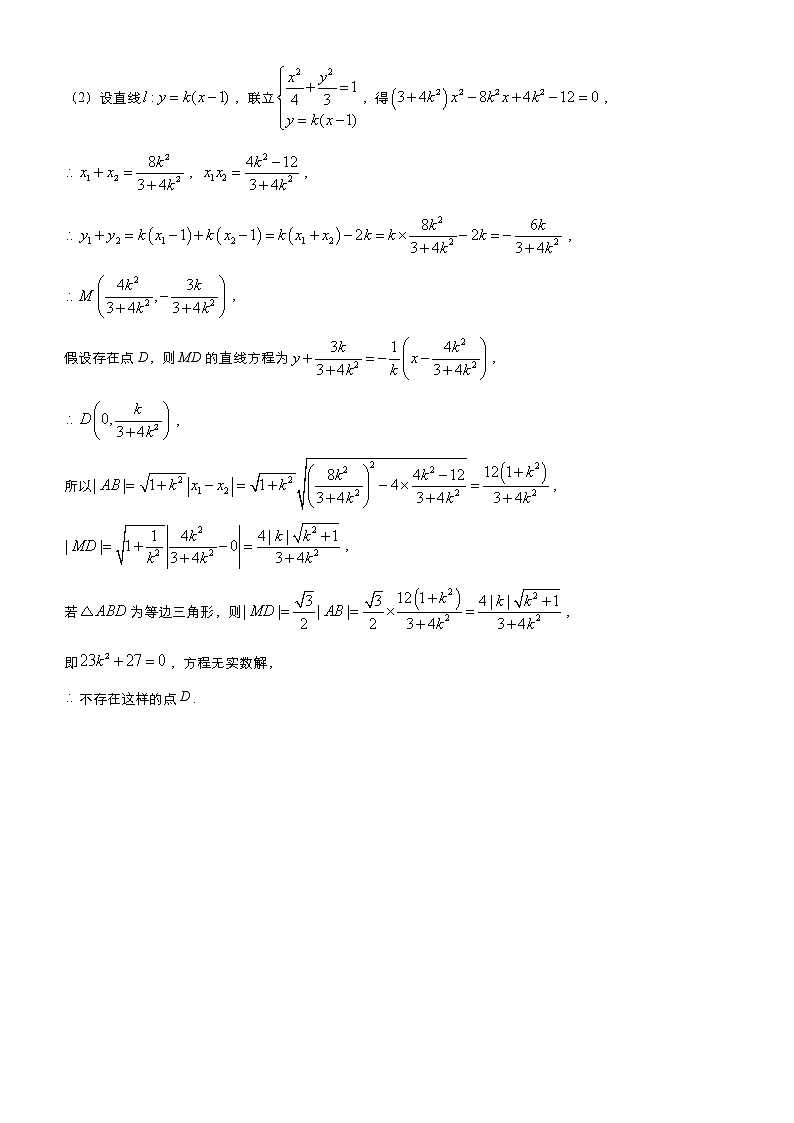
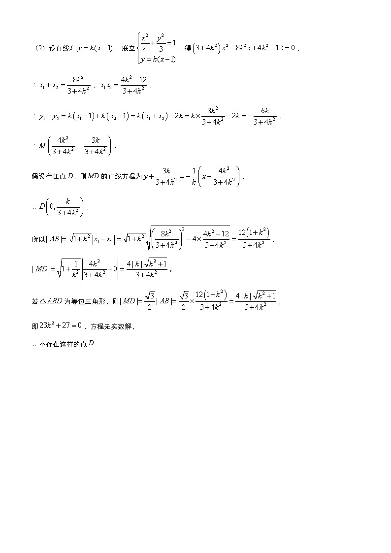
例1.椭圆与椭圆有共同的焦点,且椭圆的离心率,点分别为椭圆的左顶点和右焦点,直线过点且交椭圆于两点,设直线的斜率分别为.(1)求椭圆的标准方程;(2)是否存在直线,使得,若存在,求出直线方程;不存在,说明理由.【答案】(1);(2)存在直线,满足.【解析】(1)由题意可知椭圆中,,由离心率,可得,又知,所以椭圆的标准方程为.(2)右焦点,右顶点,假设存在直线,满足,若直线斜率不存在时,,不合题意,舍去;设直线的方程为,联立方程,化简得,由题意易知恒成立,设直线与椭圆的两个交点为,,则,所以,即直线,化简得,综上可知,存在直线,满足.例2.已知椭圆,长轴为4,不过原点O且不平行于坐标轴的直线l与C有两个交点A,B,线段AB的中点为M,直线OM的斜率与直线l的斜率的乘积为定值.(1)求椭圆C的方程;(2)若直线l过右焦点,问y轴上是否存在点D,使得三角形ABD为正三角形,若存在,求出点D;若不存在,请说明理由.【答案】(1);(2)不存在这样的点D,理由见解析.【解析】(1)由题意可知:,所以,设点,,A,B在椭圆上,..............①, ...............②因为,..............③由①-②,得,即,所以,由③得,,椭圆C方程为.(2)设直线,联立,得,,,,,假设存在点D,则MD的直线方程为,,所以,,若为等边三角形,则,即,方程无实数解,不存在这样的点D.
1.已知右焦点为的椭圆经过点.(1)求椭圆的方程;(2)经过的直线与椭圆分别交于、(不与点重合),直线、分别与轴交于、,是否存在直线,使得?若存在,求出直线的方程;若不存在,请说明理由.【答案】(1);(2)存在,直线的方程为.【解析】(1)因为椭圆经过点,且该椭圆的右焦点为.所以,解得,因此,椭圆的标准方程为.(2)存在直线,使得,理由如下:若直线与轴垂直,则直线过点,不合乎题意,由已知可设所在直线的方程为,代入椭圆的方程,得,,设、,则,,记直线、的斜率分别为、,欲使直线满足,只需.因为、、三点共线,所以,即.即,由,即,可得.所以存在直线,使得,此时直线的方程为,即.2.已知椭圆的左、右焦点分别为,,上、下顶点分别为,,,椭圆经过点.(1)求椭圆的方程;(2)设经过点的直线与椭圆交于,两点,试判断是否存在定点,使得.若定点存在,求出该定点;若不存在,请说明理由.【答案】(1);(2)存在,定点为.【解析】(1)∵,∴在中,,∴,∴,∴,∴椭圆方程可化为.又椭圆经过点,∴,解得,∴,故椭圆的方程为.(2)若直线的斜率存在,∵直线经过定点,∴不妨设直线的方程为,,,联立,消去整理得,∴,,,设定点为,则,,,∴,解得,∴,∴ 当斜率存在时,存在定点,使得;若直线的斜率不存在时,不妨令交点,,点显然满足,综上,存在定点,使得.3.已知椭圆的左右焦点分别为,离心率为,椭圆上的点到点的距离之和等于4.(1)求椭圆的标准方程;(2)是否存在过点的直线与椭圆相交于不同的两点,,满足?若存在,求出直线的方程;若不存在,请说明理由.【答案】(1);(2)存在直线满足条件,其方程为.【解析】(1)由题意得,所以,故椭圆的标准方程为.(2)若存在满足条件的直线,则直线的斜率存在,设其方程为,代入椭圆的方程得.设,两点的坐标分别为,,所以,所以,且,.因为,即,所以,即.所以,解得.又因为,所以.所以存在直线满足条件,其方程为.4.已知椭圆的离心率,并且经过定点.(1)求椭圆E的方程;(2)问是否存在直线,使直线与椭圆交于A,B两点,满足,若存在求m值;若不存在说明理由.【答案】(1);(2).【解析】(1)将代入椭圆方程,可得,又,,解得,,,即有椭圆的方程为.(2)设,,由,所以,,,由,得,解得,又方程要有两个不等实根,,所以,的值符合上面条件,所以.5.已知椭圆的离心率是,是椭圆的左、右焦点,点为椭圆的右顶点,点为椭圆的上顶点,且.(1)求椭圆的方程;(2)若直线过右焦点且交椭圆于两点,点是直线上的任意一点,直线的斜率分别为,问是否存在常数,使得成立?若存在,求出的值;若不存在,请说明理由.【答案】(1);(2).【解析】(1),则,,即,又,,代入上式中得到,,,于是,,故椭圆的方程为.(2)由(1)知的坐标为.设,,.①当直线的斜率不为零时,设的方程为.联立消去,得,∴,,∴,又∵,∴;②当直线的斜率为零时,显然有,∴仍成立,综上知,存在,使得成立.
相关试卷
这是一份高中数学高考 2021届高三大题优练8 圆锥曲线探究性问题(理) 学生版(1),共12页。
这是一份高中数学高考 2021届高三大题优练8 圆锥曲线探究性问题(理) 教师版(1),共11页。
这是一份高中数学高考 2021届高三大题优练7 圆锥曲线中的探究性问题(文) 学生版(1),共14页。试卷主要包含了已知椭圆的离心率,并且经过定点等内容,欢迎下载使用。