高中数学高考 2020-2021学年下学期高三3月月考卷 理科数学(B卷)-教师版(1)
展开
这是一份高中数学高考 2020-2021学年下学期高三3月月考卷 理科数学(B卷)-教师版(1),共9页。试卷主要包含了选择题的作答,非选择题的作答等内容,欢迎下载使用。
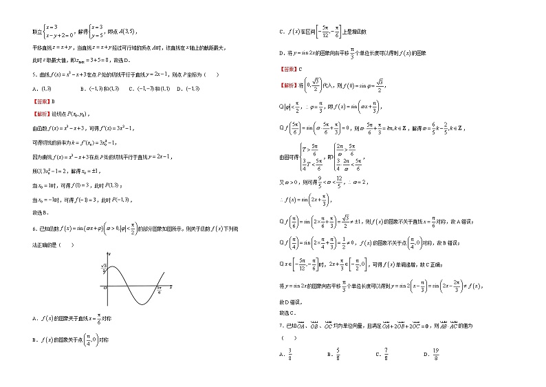
020-2021学年下学期高三3月月考卷理科数学(B)注意事项:1.答题前,先将自己的姓名、准考证号填写在试题卷和答题卡上,并将准考证号条形码粘贴在答题卡上的指定位置。2.选择题的作答:每小题选出答案后,用2B铅笔把答题卡上对应题目的答案标号涂黑,写在试题卷、草稿纸和答题卡上的非答题区域均无效。3.非选择题的作答:用签字笔直接答在答题卡上对应的答题区域内。写在试题卷、草稿纸和答题卡上的非答题区域均无效。4.考试结束后,请将本试题卷和答题卡一并上交。第Ⅰ卷一、选择题:本大题共12小题,每小题5分,在每小题给出的四个选项中,只有一项是符合题目要求的.1.已知集合,,则( )A. B. C. D.【答案】B【解析】或,,,故选B.2.若纯虚数满足,则实数的值为( )A. B. C. D.【答案】D【解析】由题意得,则,解得,故选D.3.执行如图所示的程序框图,若输入的,则输出的( )A. B. C. D.0【答案】B【解析】设第次循环后输出,,解得,可知第505次循环后结束循环,此时,,故选B.4.若实数、满足约束条件,则的最大值为( )A. B. C. D.【答案】D【解析】作出不等式组所表示的可行域如下图所示:联立,解得,即点,平移直线,当直线经过可行域的顶点时,该直线在轴上的截距最大,此时取最大值,即,故选D.5.曲线在点P处的切线平行于直线,则点P坐标为( )A. B.和 C.和 D.【答案】B【解析】设切点,由函数,可得,可得切线的斜率为,因为曲线在点P处的切线平行于直线,所以,解得,当时,可得,此时;当时,可得,此时,故选B.6.已知函数的部分图象如图所示,则关于函数下列说法正确的是( )A.的图象关于直线对称B.的图象关于点对称C.在区间上是增函数D.将的图象向右平移个单位长度可以得到的图象【答案】C【解析】将代入,则,,,即,,则,解得,由图可得,即,又,则可得,,,,则的图象不关于直线对称,故A错误;,的图象不关于点对称,故B错误;时,,可得单调递增,故C正确;将的图象向右平移个单位长度可以得到,故D错误,故选C.7.已知、、均为单位向量,且满足,则的值为( )A. B. C. D.【答案】B【解析】由于、、均为单位向量,则,由,可得,所以,,即,所以,,由,可得,即,解得.所以,,故选B.8.首项为正数,公差不为0的等差数列,其前项和为,现有下列4个命题,其中正确的命题的个数是( )①若,则;②若,则使的最大的为15;③若,,则中最大;④若,则.A.1个 B.2个 C.3个 D.4个【答案】B【解析】①若,则,因为数列是首项为正数,公差不为0的等差数列,所以,,那么,故①不成立;②若,则,因为数列是首项为正数,公差不为0的等差数列,所以,,,,则使的最大的为15,故②成立;③,,则,因为数列是首项为正数,公差不为0的等差数列,所以中的最大项是,故③正确;④若,则,但,不确定的正负,故④不正确,故选B.9.由数字、、、、、组成没有重复数字的四位数,定义个位数字比十位数字大、千位数字是偶数、百位数字为奇数的没有重复数字的四位数为“特征数”.从组成的所有没有重复数字的四位数中任取一个,则这个四位数是“特征数”的概率为( )A. B. C. D.【答案】A【解析】由数字、、、、、组成没有重复数字的四位数,共有(个),第一步,考虑千位数字,情况有(种),第二步,考虑百位数字,情况有(种),第三步,同时考虑个位数字和十位数字,情况有(种),故共有(种),从所有没有重复数字的四位数中任取一个,则这个数是“特征数”的概率为,故选A.10.设为等腰三角形,,,为边上的高,将沿翻折成,若四面体的外接球半径为,则线段的长度为( )A. B.1 C. D.【答案】C【解析】如图,设等腰三角形的外心为,四面体的外接球的球心为,连接,则平面,由已知求得,又四面体的外接球半径为,,即等腰三角形的外接圆的半径为,又由已知可得,由正弦定理可得,得,可得,则,故选C.11.已知椭圆的左、右焦点分别为,(如图),过的直线交于,两点,且轴,,则的离心率为( )A. B. C. D.【答案】D【解析】由,,将代入椭圆方程知,解得,即,过点作轴,则,又,,得,,所以点的坐标为,即,又点在椭圆上,,即,又,,,即,故选D.12.已知,函数,若时,恒成立,则实数的最小值为( )A. B. C. D.【答案】D【解析】由,可得,所以,设,则上式等价于对于恒成立,因为,所以在单调递增,所以对于恒成立,即,因为,所以对于恒成立,令,则,,由,可得;由,可得,所以在单调递增,在单调递减,所以,可得,所以实数的最小值为,故选D. 第Ⅱ卷二、填空题:本大题共4小题,每小题5分.13.的展开式中的系数为_________.【答案】【解析】由二项展开式的性质和组合数的计算,可得的展开式中项为:,所以的展开式中的系数为,故答案为.14.定义在上的函数满足,当时,.若不等式对任意恒成立,则实数的最小值为________.【答案】【解析】由已知得,由函数式可得,所以不等式可化为,得到.因为是上的增函数,所以,即对任意恒成立,当时显然不满足对任意恒成立,所以,即,故答案为.15.________.【答案】【解析】由题意,可得,故答案为.16.将杨辉三角中的数从上到下,从左到右依次排列,得数列:1,1,1,1,2,1,1,3,3,1,1,4,6,4,1、…记作数列,若数列的前n项和为,则_____________.【答案】2114【解析】使得每行的序数与该行的项数相等,则第行最后项在数列中的项数为,设位于第行,则,解得,且第11行最后一项在数列中的项数为.位于杨辉三角数阵的第12行第3个.而第一行各项和为,第二行各项和为,第三行各项的和为.依此类推,第行各项的和为.,故答案为. 三、解答题:本大题共6个大题,共70分,解答应写出文字说明、证明过程或演算步骤.17.(12分)已知函数.(1)当时,求出函数的最大值,并写出对应的的值;(2)的内角、、的对边分别为、、,若,,求的最小值.【答案】(1)当时,函数取最大值;(2)最小值为.【解析】(1)函数,,所以,,当时,即当时,函数取最大值.(2)由题意,化简得,,,,解得.在中,根据余弦定理,得.由,知,即,当且仅当时,等号成立,因此,的最小值为.18.(12分)如图,在直四棱柱中,上、下底面均为菱形,且,点M为的中点.(1)求证:平面;(2)若,求二面角的余弦值.【答案】(1)证明见解析;(2).【解析】(1)四边形为菱形,,为等边三角形,又为中点,,又,,四棱柱为直四棱柱,平面,又平面,,平面,,平面.(2)连接,交于点,以为坐标原点,可建立如下图所示的空间直角坐标系,则,,,,,,,设平面的法向量,则,令,则,,;设平面的法向量,则,令,则,,,,由图形知:二面角为锐二面角,二面角的余弦值为.19.(12分)2020年11月24日我国使用长征五号运载火箭成功发射嫦娥五号月球探测器,12月17日嫦娥五号返回器携带月球样品在预定地区安全着陆,探月工程嫦娥五号任务取得圆满成功.某大学为此举行了与嫦娥系列探测工程有关的知识测试,测试满分为分,该校某专业的名大一学生参加了学校举行的测试,记录这名学生的分数,将数据分成组:,,,,并整理得到如下频率分布直方图:(1)估计这名学生测试分数的中位数;(2)把分数不低于分的称为优秀,已知这名学生中男生有人,其中测试优秀的男生有人,填写下面列联表,并根据列联表判断是否有的把握认为测试优秀与性别有关: 男生女生优秀 不优秀 附:.(3)对于样本中分数在,的人数,学校准备按比例从这组中抽取人,在从这人中随机抽取人参与学校有关的宣传活动,记这人分数不低于分的学生数为,求的分布列.【答案】(1);(2)列联表见解析,没有的把握认为测试优秀与性别有关;(3)分布列见解析.【解析】(1)设这名学生测试分数的中位数为,由前5组频率之和为,前6组频率之和为,可得,所以,.(2)列联表如下: 男生女生优秀不优秀,所以没有的把握认为测试优秀与性别有关.(3)由题意可知,人中分数在内的共有人,分数不低于分的学生有人,的取值依次为.,,,,所以的分布列为20.(12分)在平面直角坐标系中,已知抛物线的焦点与椭圆的右焦点重合.(1)求抛物线C的方程及其准线方程;(2)记,若抛物线C上存在两点B,D,使为以P为顶点的等腰三角形,求直线的斜率的取值范围.【答案】(1)抛物线C方程为,准线为;(2).【解析】(1)由椭圆方程可得其右焦点为,抛物线与椭圆右焦点重合,,即,故抛物线C的方程为,准线为.(2)设直线的方程为,联立直线与抛物线方程,可得,则,可得,设,,,,设中点为,则,,为以P为顶点的等腰三角形,则,则,整理可得,,则,解得或,故直线的斜率的取值范围为.21.(12分)已知函数,.(1)求函数的极值;(2)若在上有且只有一个零点,求实数的取值范围.【答案】(1)见解析;(2).【解析】(1)函数的定义域为,当时,函数无极值;当时,,若,令,则;令,则,所以函数在单调递增,在单调递减,所以的极小值为,无极大值;若,令,则;令,则,所以函数在单调递增,在单调递减,所以的极大值为,无极小值.(2)令,,当时,,所以在单调递增,所以,所以,由题可知:在上有且只有一个零点,即在上有且只有一个根,等价于在上有且只有一个根,等价于函数与函数的图象在只有一个交点,,令,则,,当时,,所以在单调递增,则,所以在单调递增,则,所以在单调递增,所以,所以. 请考生在22、23两题中任选一题作答,如果多做,则按所做的第一题记分.22.(10分)【选修4-4:坐标系与参数方程】在直角坐标系中,曲线的参数方程为(为参数),以坐标原点为极点,轴正半轴为极轴建立极坐标系,直线的极坐标方程为.(1)求直线的直角坐标方程和曲线的普通方程;(2)直线与曲线交于两点,设点的坐标为,求的值.【答案】(1)曲线,直线;(2).【解析】(1)曲线,直线.(2)设(为参数),将的参数方程代入,得,,故,,,故.23.(10分)【选修4-5:不等式选讲】已知函数.(1)求不等式的解集;(2)若为的最小值,实数,,满足,求证:.【答案】(1);(2)证明见解析.【解析】(1),当时,由,得;当时,由,得;当时,由,得,综上知:不等式的解集为.(2)由(1)知:,为减函数;,为减函数;,为增函数,故在时取得最小值,故,则,则.
相关试卷
这是一份高中数学高考 2020-2021学年下学期高三5月月考卷 理科数学(B卷)-学生版(1),共12页。试卷主要包含了选择题的作答,非选择题的作答,向量,满足,等内容,欢迎下载使用。
这是一份高中数学高考 2020-2021学年下学期高三5月月考卷 理科数学(B卷)-教师版(1),共9页。试卷主要包含了选择题的作答,非选择题的作答,向量,满足,等内容,欢迎下载使用。
这是一份高中数学高考 2020-2021学年下学期高三5月月考卷 理科数学(A卷)-教师版(1),共10页。试卷主要包含了选择题的作答,非选择题的作答,已知,其中为常数,若,则,函数的图象大致是,已知函数,则的值为等内容,欢迎下载使用。

