- 沪科版中考物理总复习专题电路设计课件 课件 0 次下载
- 沪科版中考物理总复习专题动态电路的计算课件 课件 0 次下载
- 沪科版中考物理总复习专题极值、范围类计算课件 课件 0 次下载
- 沪科版中考物理总复习专题教学课件(共4份) 课件 0 次下载
沪科版中考物理总复习专题密度、压强、浮力的综合计算课件
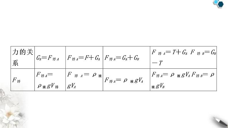
展开专题2 密度、压强、浮力的综合计算8800275010.80.50.95×1030.95×1036200漂浮92×10381.6×10314等于36500
中考物理复习专题2密度、压强、浮力的综合计算教学课件: 这是一份中考物理复习专题2密度、压强、浮力的综合计算教学课件,共19页。PPT课件主要包含了×103,6×103,3×103,8×103等内容,欢迎下载使用。
中考物理复习专题2密度、压强、浮力的综合计算练习课件: 这是一份中考物理复习专题2密度、压强、浮力的综合计算练习课件,共25页。
中考物理复习专题3密度、压强、浮力的综合计算教学课件: 这是一份中考物理复习专题3密度、压强、浮力的综合计算教学课件,共30页。PPT课件主要包含了×103,6×103,3×103等内容,欢迎下载使用。

