浙江省温州市普通高中2023届高三上学期11月第一次适应性考试数学试题及参考答案
展开浙江省温州市普通高中2024届高三上学期第一次适应性考试数学试题: 这是一份浙江省温州市普通高中2024届高三上学期第一次适应性考试数学试题,共22页。试卷主要包含了单选题,多选题,填空题,解答题等内容,欢迎下载使用。
浙江省温州市普通高中2024届高三上学期第一次适应性考试(温州一模)数学试题及答案: 这是一份浙江省温州市普通高中2024届高三上学期第一次适应性考试(温州一模)数学试题及答案,文件包含数学试题卷参考答案pdf、数学卷-2311温州一模pdf等2份试卷配套教学资源,其中试卷共12页, 欢迎下载使用。
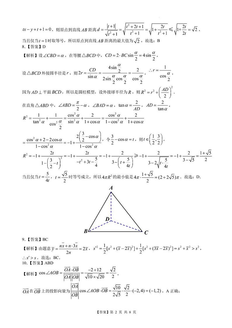
【试卷】浙江省温州市普通高中2023届高三上学期11月第一次适应性考试数学试题(含答案): 这是一份【试卷】浙江省温州市普通高中2023届高三上学期11月第一次适应性考试数学试题(含答案),共12页。

