- 综合素养评价(四) 三角函数的图象与性质 试卷 试卷 0 次下载
- 课时跟踪检测(三十三) 弧度制 试卷 0 次下载
- 课时跟踪检测(三十九) 正弦函数、余弦函数的周期性与奇偶性 试卷 0 次下载
- 课时跟踪检测(三十二) 任意角 试卷 0 次下载
- 课时跟踪检测(三十五) 同角三角函数的基本关系 试卷 0 次下载
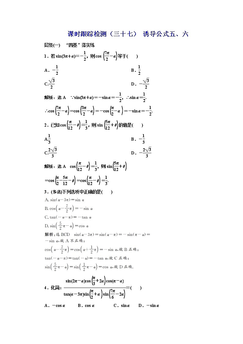
高中数学人教A版 (2019)必修 第一册5.3 诱导公式课时作业
展开课时跟踪检测(三十七) 诱导公式五、六
层级(一) “四基”落实练
1.若sin(3π+α)=-,则cos等于( )
A.- B.
C. D.-
解析:选A ∵sin(3π+α)=-sin α=-,∴sin α=.
∴cos=cos=-cos=-sin α=-.
2.已知cos=,则sin的值是( )
A. B.-
C. D.-
解析:选A cos=,则sin
=cos=cos=.
3.(多选)下列选项中正确的是( )
4.化简:=( )
A.-cos α B.cos α C.sin α D.-sin α
解析:选A 原式
=
==-cos α.
5.(多选)定义:角θ与φ都是任意角,若满足θ+φ=,则称θ与φ“广义互余”.已知sin(π+α)=-,下列角β中,可能与角α“广义互余”的是( )
A.sin β= B.cos(π+β)=
C.tan β= D.tan β=
解析:选AC ∵sin(π+α)=-sin α=-,
∴sin α=,若α+β=,则β=-α.
A中,sin β= cos α=±,故A符合条件;
B中,cos(π+β)==-sin α=-,故B不符合条件;
C中,tan β=,即sin β=cos β,又sin2β+cos2β=1,故sin β=±,故C符合条件;
D中,tan β=,即sin β=cos β,又sin2β+cos2β=1,故sin β=±,故D不符合条件.
6.已知sin=,则cos的值是________.
解析:cos=cos=sin=.
答案:
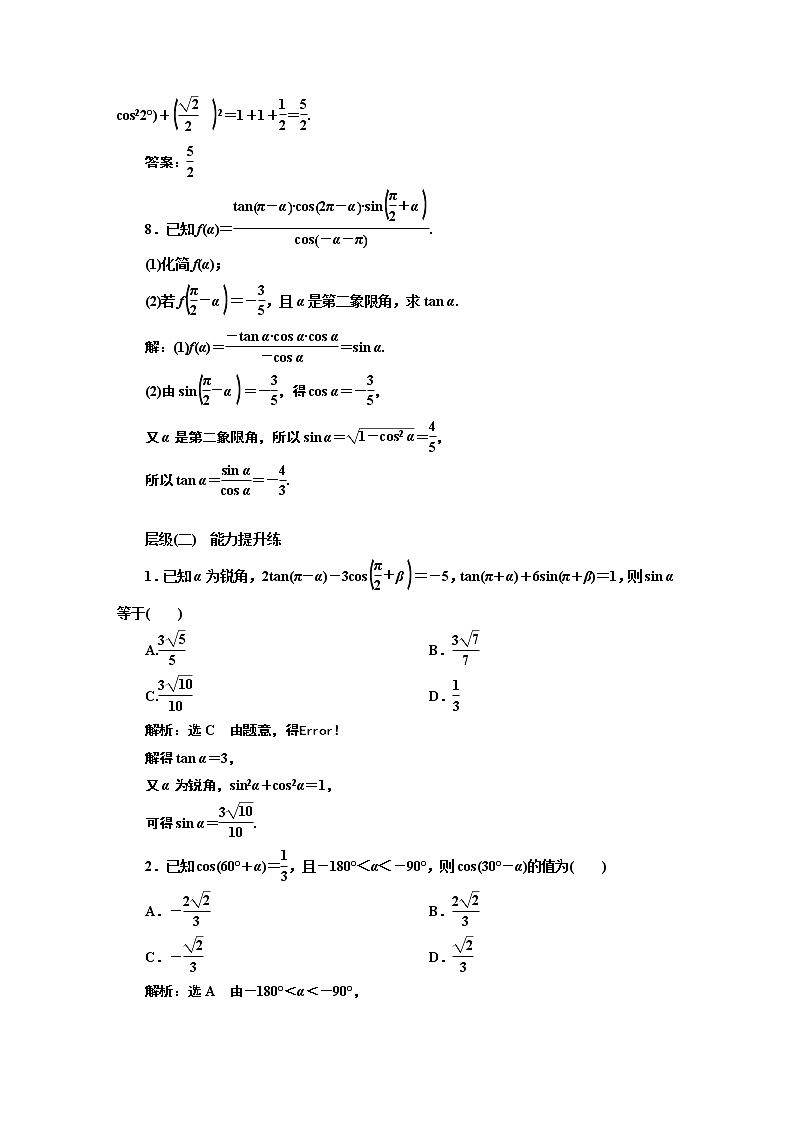
7.sin21°+sin22°+sin245°+sin288°+sin289°=________.
解析:原式=(sin21°+sin289°)+(sin22°+sin288°)+sin245°=(sin21°+cos21°)+(sin22°+cos22°)+2=1+1+=.
答案:
8.已知f(α)=.
(1)化简f(α);
(2)若f=-,且α是第二象限角,求tan α.
解:(1)f(α)==sin α.
(2)由sin=-,得cos α=-,
又α是第二象限角,所以sin α==,
所以tan α==-.
层级(二) 能力提升练
1.已知α为锐角,2tan(π-α)-3cos=-5,tan(π+α)+6sin(π+β)=1,则sin α等于( )
A. B.
C. D.
解析:选C 由题意,得
解得tan α=3,
又α为锐角,sin2α+cos2α=1,
可得sin α=.
2.已知cos(60°+α)=,且-180°<α<-90°,则cos(30°-α)的值为( )
A.- B.
C.- D.
解析:选A 由-180°<α<-90°,
得-120°<60°+α<-30°.
又cos(60°+α)=>0,所以-90°<60°+α<-30°,
即-150°<α<-90°,
所以120°<30°-α<180°,cos(30°-α)<0,
所以cos(30°-α)=sin(60°+α)
=-=-=-.
3.已知=2,则sin(θ-5π)sin=________.
解析:∵=2,∴sin θ=3cos θ,
∴tan θ=3,
sin(θ-5π)sin=sin θcos θ
===.
答案:
4.求证:=.
证明:左边=
=
=,
右边=
==
==,
所以等式成立.
5.是否存在角α,β,α∈,β∈(0,π),使等式sin(3π-α)=cos, cos(-α)=-cos(π+β)同时成立?若存在,求出α,β的值;若不存在,请说明理由.
解:假设存在角α,β满足条件,
则
由①2+②2得sin2α+3cos2α=2.
∴sin2α=,∴sin α=±.
∵α∈,∴α=±.
当α=时,cos β=,
∵0<β<π,∴β=;
当α=-时,cos β=,
∵0<β<π,∴β=,此时①式不成立,故舍去.
∴存在α=,β=满足条件.
层级(三) 素养培优练
在①tan(π+α)=2,②sin(π-α)-sin=cos(-α),③2sin=cos这三个条件中任选一个,补充在下面问题中,并解决该问题.
问题:已知________.
(1)求的值;
(2)当α为第三象限角时,求sin(-α)-cos(π+α)-cossin的值.
解:若选①,则tan(π+α)=2,即tan α=2,
(1)===8.
(2)当α为第三象限角时,
tan α==2,即sin α=2cos α,
又∵sin2α+cos2α=1,即(2cos α)2+cos2α=1,
解得cos α=-,sin α=-,
∴sin(-α)-cos(π+α)-cossin
=-sin α+cos α+sin αcos α
=--+×=.
若选②,则sin(π-α)-sin=cos(-α),
即sin α-cos α=cos α,
即sin α=2cos α,tan α=2,
(1)===8.
(2)当α为第三象限角时,
tan α==2,即sin α=2cos α,
又∵sin2α+cos2α=1,即(2cos α)2+cos2α=1,
解得cos α=-,sin α=-,
∴sin(-α)-cos(π+α)-cossin
=-sin α+cos α+sin αcos α
=--+×=.
若选③,2sin=cos,
即2cos α=sin α,tan α=2,
(1)===8.
(2)当α为第三象限角时,
tan α==2,即sin α=2cos α,
又∵sin2α+cos2α=1,
即(2cos α)2+cos2α=1,
解得cos α=-,sin α=-,
∴sin(-α)-cos(π+α)-cossin
=-sin α+cos α+sin αcos α
=--+×
=.
新高考数学一轮复习课时跟踪检测(三十七)直线、平面垂直的判定与性质(含解析): 这是一份新高考数学一轮复习课时跟踪检测(三十七)直线、平面垂直的判定与性质(含解析),共7页。
高中数学高考课时跟踪检测(三十七) 直线、平面垂直的判定与性质 作业: 这是一份高中数学高考课时跟踪检测(三十七) 直线、平面垂直的判定与性质 作业,共7页。
人教A版 (2019)必修 第一册5.3 诱导公式课时练习: 这是一份人教A版 (2019)必修 第一册5.3 诱导公式课时练习,共5页。

