所属成套资源:高考数学三轮冲刺压轴小题 (2份打包,解析版+原卷版)
高考数学三轮冲刺压轴小题11 数列与函数、不等式相结合问题 (2份打包,解析版+原卷版)
展开这是一份高考数学三轮冲刺压轴小题11 数列与函数、不等式相结合问题 (2份打包,解析版+原卷版),文件包含高考数学三轮冲刺压轴小题11数列与函数不等式相结合问题解析版doc、高考数学三轮冲刺压轴小题11数列与函数不等式相结合问题原卷版doc等2份试卷配套教学资源,其中试卷共31页, 欢迎下载使用。
数列与函数、不等式相结合问题
一.方法综述
数列与函数、不等式相结合是数列高考中的热点问题,难度较大,求数列与函数、不等式相结合问题时会渗透多种数学思想.因此求解过程往往方法多、灵活性大、技巧性强,但万变不离其宗,只要熟练掌握各个类型的特点即可.在考试中时常会考查一些压轴小题,如数列中的恒成立问题、数列中的最值问题、数列性质的综合问题、数列与函数的综合问题、数列与其他知识综合问题中都有所涉及,本讲就这类问题进行分析.
二.解题策略
类型一 数列与不等式
1.1 数列与基本不等式
【例1】某企业投入100万元购入一套设备,该设备每年的运转费用是0.5万元,此外每年都要花费一定的维护费,第一年的维护费为2万元,由于设备老化,以后每年的维护费都比上一年增加2万元.为使该设备年平均费用最低,该企业需要更新设备的年数为________.
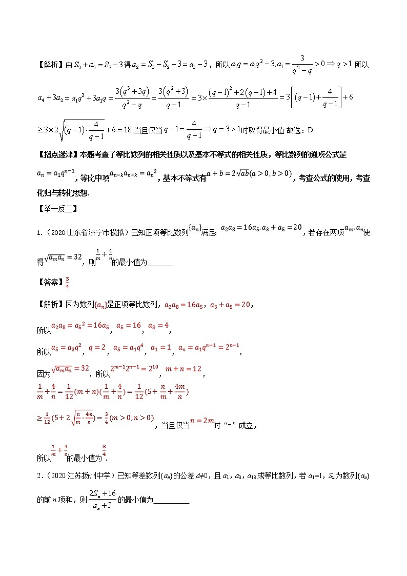
已知数列是各项均为正数的等比数列,为数列的前项和,若,则的最小值为( )
A.9 B.12 C.16 D.18
【举一反三】
1.已知正项等比数列满足:,若存在两项使得,则的最小值为
2.已知等差数列{an}的公差d≠0,且a1,a3,a13成等比数列,若a1=1,Sn为数列{an}的前n项和,则的最小值为
1.2 数列中的恒成立问题
【例2】已知定义域为的函数满足,当时,,设在上的最大值为,且的前n项和为,若对任意的正整数n均成立,则实数的取值范围为( )
A. B. C. D.
【举一反三】
1.已知等差数列满足,,数列满足,记数列的前项和为,若对于任意的,,不等式恒成立,则实数的取值范围为( )
A. B.
C. D.
2.设等差数列的前n项和为,若不等式对任意正整数n都成立,则实数m的取值范围是( )
A. B. C. D.
1.3 数列中的最值问题
【例3】)已知数列中,,若,设,若,则正整数的最大值为( )
A.1009 B.1010 C.2019 D.2020
【举一反三】
1.数列满足,且.记数列的前n项和为,则当取最大值时n为( )
A.11 B.12 C.11或13 D.12或13
2.已知数列满足,,则使的正整数的最小值是( )
A.2018 B.2019 C.2020 D.2021
类型二 数列与函数的综合问题
【例4】已知函数为定义域上的奇函数,且在上是单调递增函数,函数,数列为等差数列,且公差不为0,若,则( )
A.18 B.9 C.27 D.81
1.已知函数y=f(x)的定义域为R,当x<0时,f(x)>1,且对任意的实数x,y,等式f(x)f(y)=f(x+y)恒成立.若数列满足=f(0),且f()=(),则的值为( )
A.2209 B.3029 C.4033 D.2249
2.已知定义在实数集上的函数满足,则的最大值为
A. B. C. D.
类型三 数列与其他知识综合问题
【例5】已知函数,,若函数的所有零点依次记为,且,则
【举一反三】
1.已知等差数列(公差不为零)和等差数列,如果关于的实系数方程有实数解,那么以下九个方程()中,无实数解的方程最多有( )
A.3个 B.4个 C.5个 D.6个
2.将向量组成的系列称为向量列,并定义向量列的前项和.若,则下列说法中一定正确的是( )
A. B. 不存在,使得
C. 对,且,都有 D. 以上说法都不对
三.强化训练
1.数列是公差不为0的等差数列,且,设(),则数列的最大项为( )
A. B. C. D.不确定
2.已知数列,的前项和分别为,,且,,,若恒成立,则的最小值为( )
A. B. C.49 D.
3.已知函数的定义域为,当时,,对任意的,成立,若数列满足,且,则的值为( )
A. B. C. D.
4.在正项等比数列中,,.则满足的最大正整数的值为( )
A.10 B.11 C.12 D.13
5.若数列的通项公式分别为,且,对任意恒成立,则实数的取值范围是( )
A. B. C. D.
6.已知各项都为正数的等比数列的前项和为,且满足.若,为函数的导函数,则( )
A. B. C. D.
7.设,点,,,,设对一切都有不等式 成立,则正整数的最小值为( )
A. B. C. D.
8.已知数列满足:,.则下列说法正确的是( )
A. B.
C. D.
9.已知在点处的切线方程为, ,的前项和为,则下列选项正确的是( )
A. B.
C. D.
10.已知数列满足,,且,记为数列的前项和,数列是首项和公比都是2的等比数列,则使不等式成立的最小整数n为( )
A.7 B.6 C.5 D.4
11.将正整数12分解成两个正整数的乘积有, , 三种,其中是这三种分解中两数差的绝对值最小的,我们称为12的最佳分解.当(且)是正整数的最佳分解时,我们定义函数,例如.数列的前100项和为__________.
12.已知数列的前项和.若是中的最大值,则实数的取值范围是_____.
13.已知数列中, ,点列在内部,且与的面积比为,若对都存在数列满足,则的值为______.
14.已知函数,点O为坐标原点,点,向量,θn是向量与的夹角,则使得 恒成立的实数t的取值范围为 ___________.[来源:学#科#网]
15.数列是首项,公差为的等差数列,其前和为,存在非零实数,对任意有恒成立,则的值为__________.
16.对于三次函数,定义:设是的导数,若方程有实数解,则称为函数的拐点.某同学经过探索发现任何一个三次函数都有“拐点”;任何一个三次函数都有对称中心,且“拐点”就是对称中心.设函数,则______;______.
17.定义函数如下:对于实数,如果存在整数,使得,则,已知等比数列的首项,且,则公比的取值范围是_______.
18.设,圆()与轴正半轴的交点为,与曲线的交点为,直线与轴的交点为,若数列满足:,,要使数列成等比数列,则常数________.
相关试卷
这是一份高考数学三轮冲刺压轴小题27 临界知识问题 (2份打包,解析版+原卷版),文件包含高考数学三轮冲刺压轴小题27临界知识问题解析版doc、高考数学三轮冲刺压轴小题27临界知识问题原卷版doc等2份试卷配套教学资源,其中试卷共33页, 欢迎下载使用。
这是一份高考数学三轮冲刺压轴小题26 创新型问题 (2份打包,解析版+原卷版),文件包含高考数学三轮冲刺压轴小题26创新型问题解析版doc、高考数学三轮冲刺压轴小题26创新型问题原卷版doc等2份试卷配套教学资源,其中试卷共33页, 欢迎下载使用。
这是一份高考数学三轮冲刺压轴小题18 解析几何与平面向量相结合问题 (2份打包,解析版+原卷版),文件包含高考数学三轮冲刺压轴小题18解析几何与平面向量相结合问题解析版doc、高考数学三轮冲刺压轴小题18解析几何与平面向量相结合问题原卷版doc等2份试卷配套教学资源,其中试卷共42页, 欢迎下载使用。

