资料中包含下列文件,点击文件名可预览资料内容
还剩43页未读,
继续阅读
高考数学二轮复习138道 同构练习题(2份打包,教师版+原卷版)
展开
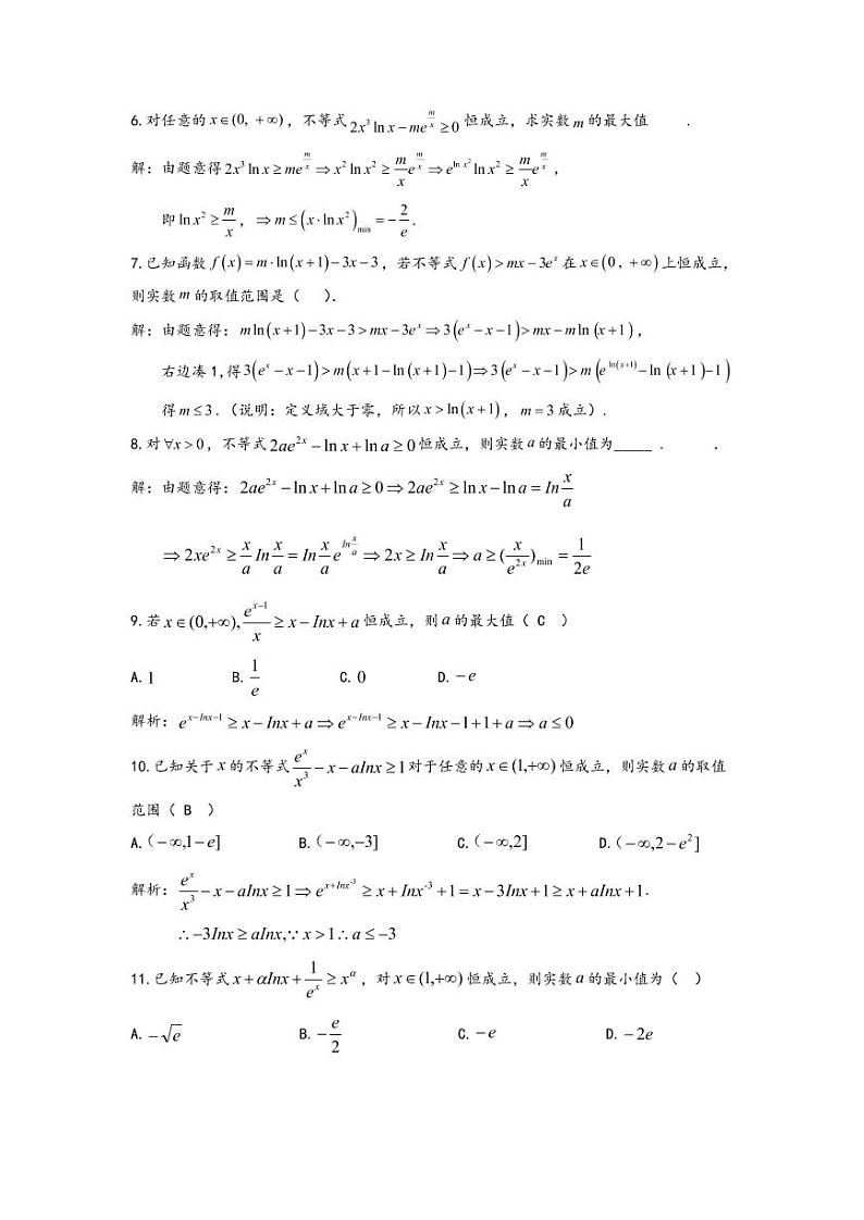
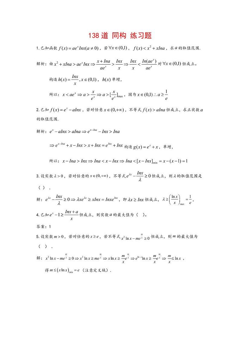
这是一份高考数学二轮复习138道 同构练习题(2份打包,教师版+原卷版),文件包含高考数学二轮复习138道同构练习题学生版pdf、高考数学二轮复习138道同构练习题解析版pdf等2份试卷配套教学资源,其中试卷共87页, 欢迎下载使用。
相关试卷
新高考数学二轮复习突破练习 同构携手放缩(2份打包,原卷版+解析版):
这是一份新高考数学二轮复习突破练习 同构携手放缩(2份打包,原卷版+解析版),文件包含同构携手放缩pdf、同构携手放缩学生版pdf等2份试卷配套教学资源,其中试卷共19页, 欢迎下载使用。
高考数学二轮复习专题23 统计问题(2份打包,教师版+原卷版):
这是一份高考数学二轮复习专题23 统计问题(2份打包,教师版+原卷版),文件包含高考数学二轮复习专题23统计问题教师版doc、高考数学二轮复习专题23统计问题原卷版doc等2份试卷配套教学资源,其中试卷共33页, 欢迎下载使用。
高考数学二轮复习专题22 概率问题(2份打包,教师版+原卷版):
这是一份高考数学二轮复习专题22 概率问题(2份打包,教师版+原卷版),文件包含高考数学二轮复习专题22概率问题教师版doc、高考数学二轮复习专题22概率问题原卷版doc等2份试卷配套教学资源,其中试卷共19页, 欢迎下载使用。

