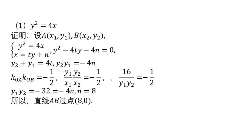
清华附中高考一轮复习——圆锥曲线过定点问题课件PPT
展开备战2024高考一轮复习数学(理) 第九章 解析几何 习题课2——圆锥曲线中的定点、定值问题课件PPT: 这是一份备战2024高考一轮复习数学(理) 第九章 解析几何 习题课2——圆锥曲线中的定点、定值问题课件PPT,共18页。
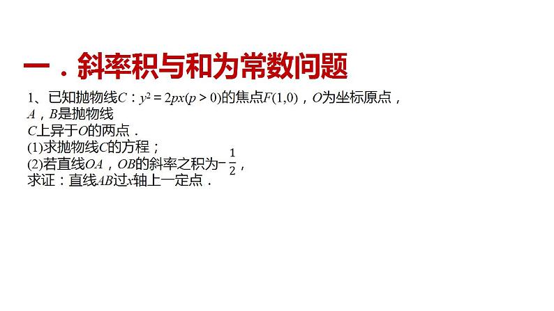
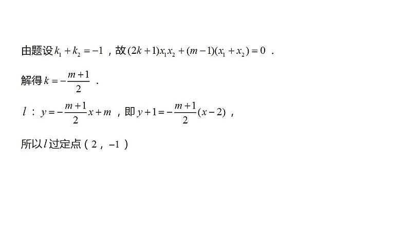
2024年高考数学一轮复习(新高考版) 第8章 §8.12 圆锥曲线中定点与定值问题课件PPT: 这是一份2024年高考数学一轮复习(新高考版) 第8章 §8.12 圆锥曲线中定点与定值问题课件PPT,共53页。PPT课件主要包含了题型一,定点问题,思维升华,题型二,定值问题,即为曲线C的方程,课时精练,基础保分练,1求C的方程,令y=0等内容,欢迎下载使用。
新高考数学一轮复习课件 第8章 §8.11 圆锥曲线中定点与定值问题: 这是一份新高考数学一轮复习课件 第8章 §8.11 圆锥曲线中定点与定值问题,共60页。PPT课件主要包含了高考数学一轮复习策略,第八章,课时精练等内容,欢迎下载使用。

