




所属成套资源:2023济南高三上学期1月期末检测及答案(九科)
2023济南高三上学期1月期末检测(一模)数学含答案
展开
这是一份2023济南高三上学期1月期末检测(一模)数学含答案,文件包含山东省济南市2022-2023学年高三上学期1月期末数学试题docx、数学答案pdf等2份试卷配套教学资源,其中试卷共11页, 欢迎下载使用。
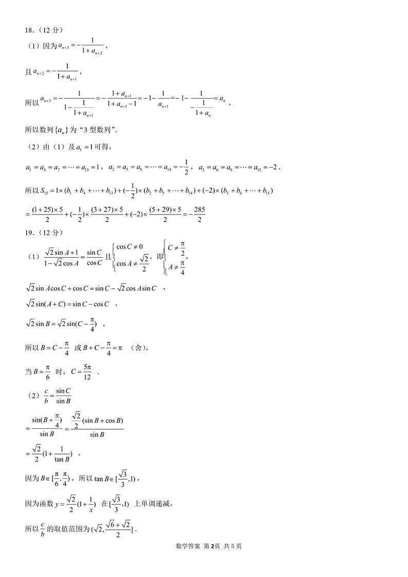
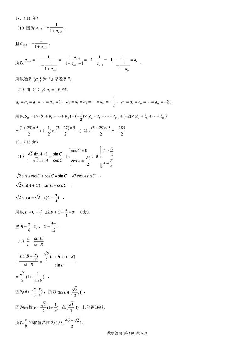
绝密启用并使用完毕前高三期 末 检 测数学试题本试卷共4页,22题,全卷满分150分。考试用时120分钟。注意事项:1.答卷前,考生务必将自己的姓名、考生号、考场号、座位号填写在答题卡上。2.回答选择题时,选出每小题答案后,用铅笔把答题卡上对应题目的答案标号涂黑。如需改动,用橡皮擦干净后,再选涂其他答案标号。回答非选择题时,将答案写在答题卡上。写在本试卷上无效。3.考试结束后,将本试卷和答题卡一并交回。一、单项选择题:本题共8小题,每小题5分,共40分。在每小题给出的四个选项中,只有一项是符合题目要求的。1.已知集合,则A. B. C.或 D.或2.若复数满足,则A.1 B. C. D.23.将函数的图象向左平移个单位长度后得到函数的图象,则的解析式为A. B.C. D.4.由3个2,1个0,2个3组成的六位数中,满足有相邻4位恰好是2023的六位数个数为A.3 B.6 C.9 D.245.若正四面体的表面积为,则其外接球的体积为A. B. C. D.6.已知非零向量满足,且,则为A.钝角三角形 B.直角三角形 C.等腰直角三角形 D.等边三角形7.已知等差数列的公差为,随机变量满足,4,则的取值范围是A. B. C. D. 8.已知函数,关于的方程至少有三个互不相等的实数解,则的取值范围是A. B. C. D. 二、多项选择题:本题共4小题,每小题5分,共20分。在每小题给出的四个选项中,有多项符合题目要求。全部选对的得5分,部分选对的得2分,有选错的得0分。9.有一组样本数据,其样本平均数为.现加入一个新数据,且,组成新的样本数据,与原样本数据相比,新的样本数据可能A.平均数不变 B.众数不变 C.极差变小 D.第20百分位数变大 10.已知函数有两个极值点,且,则A. B. C. D.的图象关于点中心对称 11.如图,正方体的棱长为2,点为底面的中心,点为侧面内(不含边界)的动点,则A. B.存在一点,使得 C.三棱锥的体积为 D.若,则面积的最小值为 12.已知椭圆上一点位于第一象限,左、右焦点分别为,左、右顶点分别为的角平分线与轴交于点,与轴交于点,则A.四边形的周长为 B.直线的斜率之积为 C. D.四边形的面积为2 三、填空题:本题共4小题,每小题5分,共20分。13.在中,内角所对的边分别是,若,则角的大小为_______.14.曲线在处的切线与两坐标轴围成的三角形的面积为______.15.甲袋中有4个白球、6个红球,乙袋中有4个白球、2个红球,从两个袋中随机取一袋,再从此袋中随机取一球,则取到红球的概率为_______.16.已知函数,所有满足的点中,有且只有一个在圆上,则圆的标准方程可以是_______.(写出一个满足条件的圆的标准方程即可)四、解答题:全科免费下载公众号《高中僧课堂》本题共6小题,共70分。解答应写出文字说明、证明过程或演算步骤。17.(10分)某芯片制造企业使用新技术对某款芯片进行生产.生产该款芯片有三道工序,这三道工序互不影响.已知批次甲的三道工序次品率分别为.(1)求批次甲芯片的次品率;(2)该企业改进生产工艺后,生产了批次乙的芯片.某手机厂商获得批次甲与批次乙的芯片,并在某款手机上使用.现对使用这款手机的100名用户回访,对开机速度进行调查.据统计,安装批次甲的有40名,其中对开机速度满意的有30名;安装批次乙的有60名,其中对开机速度满意的有55名.试整理出列联表(单位:名),并依据小概率值的独立性检验,分析芯片批次是否与用户对开机速度满意有关.批次是否满意合计满意不满意甲 乙 合计 附: 18.(12分)定义:在数列中,若存在正整数,使得,都有,则称数列为“型数列”.已知数列满足.(1)证明:数列为“3型数列”;(2)若,数列的通项公式为,求数列的前15项和.19.(12分)在中,内角所对的边分别是.(1)若,求;(2)若,求的取值范围.20.(12分)如图,在三棱柱中,四边形是菱形,,平面平面.(1)证明:;(2)已知,平面与平面的交线为.在上是否存在点,使直线与平面所成角的正弦值为?若存在,求线段的长度;若不存在,试说明理由.21.(12分) 已知在平面直角坐标系中,动点到点的距离与它到直线的距离之比为2.记的轨迹为曲线.(1)求的方程;(2)若是曲线上一点,且点不在轴上.作于点,证明:曲线在点处的切线过的外心.22.(12分)已知函数.(1)若,求函数在上的最小值;(2)若存在,使得.(i)求的取值范围; (ii)判断在上的零点个数,并说明理由.
相关试卷
这是一份2023届山东省济南,聊城高三下学期学情检测(一模)数学,共5页。
这是一份2022-2023学年山东省济南市高三上学期1月期末检测(一模)数学含解析,共5页。试卷主要包含了已知非零向量满足,且,则为,有一组样本数据,其样本平均数为,已知函数有两个极值点,且,则等内容,欢迎下载使用。
这是一份2023济南高三下学期学情检测(一模)数学试题pdf版含答案,文件包含山东省济南市2023届高三下学期学情检测一模数学试题参考答案pdf、山东省济南市2023届高三下学期学情检测一模数学试题pdf等2份试卷配套教学资源,其中试卷共10页, 欢迎下载使用。