

还剩3页未读,
继续阅读
所属成套资源:2022~2023学年八年级二次根式试卷合集
成套系列资料,整套一键下载
- 二次根式的运算法则(习题及答案) 试卷 2 次下载
- 二次根式的运算法则(讲义及答案) 试卷 1 次下载
- 二次根式综合应用(讲义及答案) 试卷 2 次下载
- 二次根式(习题及答案) 试卷 3 次下载
- 二次根式(讲义及答案) 试卷 1 次下载
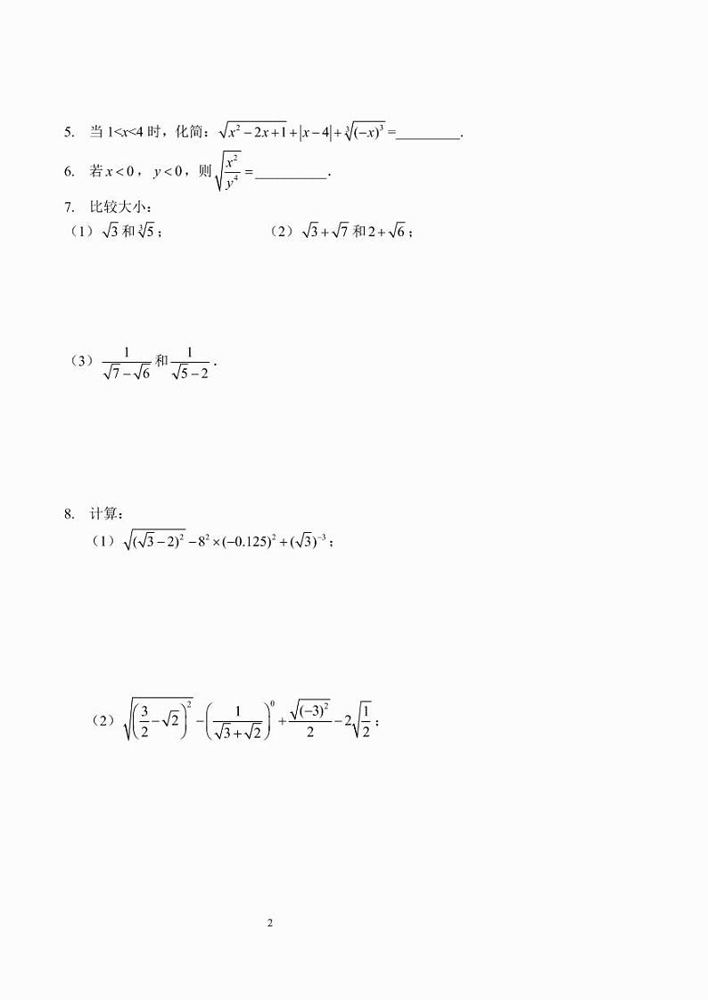
初中数学人教版八年级下册16.1 二次根式同步达标检测题
展开
这是一份初中数学人教版八年级下册16.1 二次根式同步达标检测题,共5页。
相关试卷
人教版八年级下册16.1 二次根式练习题:
这是一份人教版八年级下册16.1 二次根式练习题,共1页。
人教版八年级下册19.2.2 一次函数精练:
这是一份人教版八年级下册19.2.2 一次函数精练,共6页。
人教版八年级下册16.1 二次根式习题:
这是一份人教版八年级下册16.1 二次根式习题,共4页。