《新高考数学大二轮复习课件》思想方法 第2讲 数形结合思想
展开思想概述 数形结合思想,就是根据数与形之间的对应关系,通过数与形的相互转化来解决数学问题的思想.数形结合思想的应用包括以下两个方面:(1)“以形助数”,把某些抽象的数学问题直观化、生动化,能够变抽象思维为形象思维,揭示数学问题的本质;(2)“以数定形”,把直观图形数量化,使形更加精确.
利用函数图象可直观研究函数的性质,求解与函数有关的方程、不等式问题.
方法一 利用数形结合求解函数与方程、不等式问题
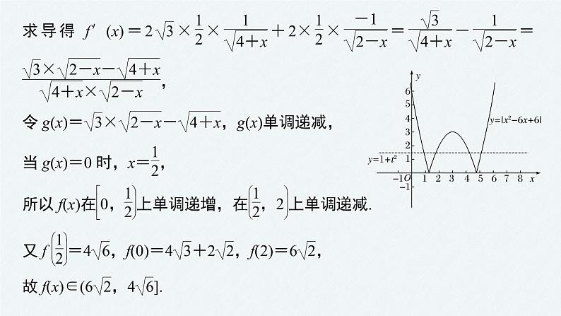
思路分析 数形结合,画出图象→x1,x2,x3,x4之间的关系→将待求式化为函数求值域问题→求导即可
解析 如图,要使方程|x2-6x+6|=1+t2有四个不同实数根,则1+t2∈[1,3),t2∈[0,2),且x1,x4满足x2-6x+6=1+t2,即x2-6x+5-t2=0,
x2,x3满足-x2+6x-6=1+t2,即x2-6x+7+t2=0;
思路分析 作出函数y=|f(x)|的图象,和函数y=ax的图象→结合图象可知直线y=ax介于l与x轴之间→利用导数求出直线l的斜率,数形结合即可求解
解析 由题意可作出函数y=|f(x)|的图象和函数y=ax的图象.由图象可知,函数y=ax的图象是过原点的直线,当直线介于l与x轴之间符合题意,直线l为曲线的切线,且此时函数y=|f(x)|在第二象限的部分的解析式为y=x2-2x,求其导数可得y′=2x-2,当x=0时,y′=-2,故直线l的斜率为-2,故只需直线y=ax的斜率a∈[-2,0].
方程的根可通过构造函数,转化为两函数的交点横坐标;不等式f(x)
方法二 利用数学概念、表达式的几何意义求解最值、范围问题
∵(a-c)·(b-c)≤0,∴点C在劣弧AB上运动,
应用几何意义法解决问题需要熟悉常见的几何结构的代数形式,主要有:①比值——可考虑直线的斜率;②二元一次式—可考虑直线的截距;③根式分式——可考虑点到直线的距离;④根式——可考虑两点间的距离.
对一些几何动态中的代数求解问题,可以结合各个变量的形成过程,找出其中的相互关系求解.
方法三 几何动态问题中的数形结合
思路分析 利用相切、勾股定理,找|PM|与|PC1|,|PN|与|PC2|的关系→利用双曲线定义:|PC1|-|PC2|=2a→利用|PC1|+|PC2|≥|C1C2|即可求解.
解析 由双曲线方程知其焦点坐标为(±7,0),由圆的方程知,圆C1圆心为C1(-7,0),半径r1=2;圆C2圆心为C2(7,0),半径r2=1.∵PM,PN分别为两圆切线,
∴|PM|2-|PN|2=|PC1|2-|PC2|2-3=(|PC1|+|PC2|)(|PC1|-|PC2|)-3,∵P为双曲线右支上的点,且双曲线焦点为C1,C2,∴|PC1|-|PC2|=2,
又|PC1|+|PC2|≥|C1C2|=14(当P为双曲线右顶点时取等号),∴|PM|2-|PN|2=(|PC1|+|PC2|)(|PC1|-|PC2|)-3≥14×2-3=25,即|PM|2-|PN|2的最小值为25.
几何图形有关的最值问题,通常是利用函数的观点,建立函数表达式求解,但一味地强调函数观点,有时使思维陷入僵局,此时若能合理利用圆锥曲线的定义,以形助数,会使问题变得特别简单.
思想方法 第2讲 数形结合思想--高三高考数学复习-PPT: 这是一份思想方法 第2讲 数形结合思想--高三高考数学复习-PPT,共23页。PPT课件主要包含了第2讲数形结合思想等内容,欢迎下载使用。
思想方法 第2讲 数形结合思想 2024年高考数学大二轮复习课件(含讲义): 这是一份思想方法 第2讲 数形结合思想 2024年高考数学大二轮复习课件(含讲义),文件包含思想方法第2讲数形结合思想pptx、思想方法第2讲数形结合思想docx等2份课件配套教学资源,其中PPT共23页, 欢迎下载使用。
新教材适用2024版高考数学二轮总复习第2篇核心素养谋局思想方法导航第2讲数形结合思想课件: 这是一份新教材适用2024版高考数学二轮总复习第2篇核心素养谋局思想方法导航第2讲数形结合思想课件,共60页。PPT课件主要包含了第2讲数形结合思想,思想方法速览,思想方法解读,思想方法应用等内容,欢迎下载使用。

