所属成套资源:中考数学压轴题--二次函数专题
中考数学压轴题--二次函数--专题14 存在性-平行四边形
展开这是一份中考数学压轴题--二次函数--专题14 存在性-平行四边形,文件包含专题14存在性-平行四边形解析版doc、专题14存在性-平行四边形原卷版doc等2份试卷配套教学资源,其中试卷共38页, 欢迎下载使用。
方法点拨
平行四边形ABCD,O为对角线AC与BD的交点,则O的坐标为()或者()
解题方法:
(1)选一定点,再将这一定点与另外点的连线作为对角线,分类讨论;
(2)利用中点坐标公式列方程计算
例题演练
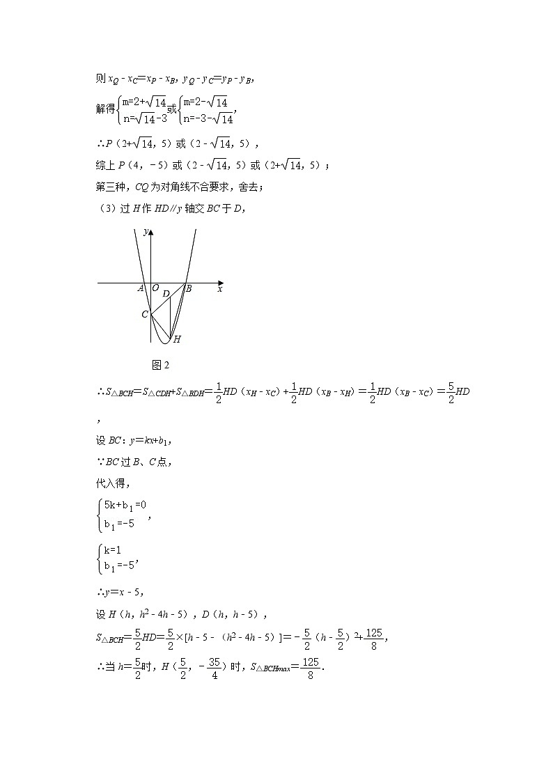
1.如图1,在平面直角坐标系中,已知抛物线y=ax2+bx﹣5与x轴交于A(﹣1,0),B(5,0)两点,与y轴交于点C.
(1)求抛物线的二次函数解析式:
(2)若点P在抛物线上,点Q在x轴上,当以点B、C、P、Q为顶点的四边形是平行四边形时,求点P的坐标;
(3)如图2,点H是直线BC下方抛物线上的动点,连接BH,CH.当△BCH的面积最大时,求点H的坐标.
2.如图,直线与x轴交于点A,与y轴交于点B,抛物线经过A、B,且与x轴交于点C,连接BC.
(1)求b、c的值;
(2)点P为线段AC上一动点(不与A、C重合),过点P作直线PD∥AB,交BC于点D,连接PB,设PC=n,△PBD的面积为S,求S关于n的函数关系式,并写出自变量n的取值范围;
(3)在(2)的条件下,当S最大时,点M在抛物线上,在直线PD上,是否存在点Q,使以M、Q、P、B为顶点为四边形是平行四边形?若存在,请直接写出符合条件的点Q的坐标;若不存在,请说明理由.
3.如图,抛物线与y轴交于点A(0,1),过点A的直线与抛物线交于另一点B(3,),过点B作BC⊥x轴,垂足为C.
(1)求抛物线的表达式;
(2)点P是x轴正半轴上的一动点,过点P作PN⊥x轴,交直线AB于点M,交抛物线于点N,设OP的长度为m.①当点P在线段OC上(不与点O、C重合)时,试用含m的代数式表示线段PM的长度;
②如果以点M、N、B、C为顶点的四边形是平行四边形,求m的值.
4.如图所示,在平面直角坐标系中,抛物线y=﹣x2+bx+c与x轴的两个交点分别为A(﹣2,0),B(5,0),点C在抛物线上,且直线AC与x轴形成的夹角为45°.
(1)求该抛物线的函数表达式;
(2)若点P为直线AC上方抛物线上的动点,求点P到直线AC距离的最大值;
(3)将满足(2)中到直线AC距离最大时的点P,向下平移4个单位长度得到点Q,将原抛物线向右平移2个单位长度,得到抛物线y=a1x2+b1x+c1(a1≠0),M为平移后抛物线上的动点,N为平移后抛物线对称轴上的动点,是否存在点M,使得以点C,Q,M,N为顶点的四边形是平行四边形,若存在,请直接写出点M的坐标;若不存在,请说明理由.
5.如图,抛物线y=ax2+bx﹣6与x轴相交于A,B两点,与y轴相交于点C,A(﹣2,0),B(4,0),在对称轴右侧的抛物线上有一动点D,连接BD,BC,CD.
(Ⅰ)求抛物线的函数表达式;
(Ⅱ)若点D在x轴的下方,设点D的横坐标为t,过点D作DE垂直于x轴,交BC于点F,用含有t的式子表示DF的长,并写出t的取值范围;
(Ⅲ)在(Ⅱ)的条件下,当△CBD的面积是时,点M是x轴上一点,点N是抛物线上一动点,是否存在点N,使得以点B,D,M,N为顶点,以BD为一边的四边形是平行四边形,若存在,求出点N的坐标;若不存在,请说明理由.
6.如图,抛物线y=﹣x2+bx+c的对称轴为直线x=,其图象与直线y=x+2交于C,D两点,其中点C在y轴上,点P是y轴右侧的抛物线上一动点,过点P作PE⊥x轴于点E,交CD于点F.
(1)求抛物线的解析式;
(2)若点P的横坐标为x0,当x0为何值时,以O,C,P,F为顶点的四边形是平行四边形?请说明理由.
7.如图,抛物线y=ax2+bx+c与x轴交于A、B两点,与y轴交于点C,对称轴为x=﹣1,已知经过A、C两点直线解析式为y=﹣3x+3.
(1)求此抛物线的解析式;
(2)连接BC,点P在抛物线上且在直线BC的上方,过点P作y轴的平行线交BC于点Q,过点P作AC的平行线交BC于点K,求出使△PQK的周长最大的值及此时点P的坐标;
(3)如图2,在(2)的条件下,将抛物线向左平移一定距离使平移后的抛物线经过点P,在直线PK上有一动点M,点N在平移后的抛物线上,以B、Q、M、N为顶点的四边形能否为平行四边形?若能,直接写出所有满足要求的点M的坐标;若不能,请说明理由.
8.如图1,在平面直角坐标系xOy中,抛物线y=﹣x2+bx+c交x轴于A,B两点(A在B左侧),交y轴于点C,且OC=OB=3,对称轴l交抛物线于点D,交x轴于点G.
(1)求抛物线的表达式及顶点坐标;
(2)如图2,过点C作CH⊥DG于H,在射线HG上有一动点M(不与H重合),连接MC,将MC绕M点顺时针旋转90°得线段MN,连接DN,在点M的运动过程中,是否为定值?若是,求出该定值;若不是,说明理由;
(3)如图3,将抛物线y=﹣x2+bx+c向右平移后交直线l于点E,交原抛物线于点Q且点Q在第一象限,过点Q作QP⊥x轴于点P,设点Q的横坐标为m,问:在原抛物线y=﹣x2+bx+c上是否存在点F,使得以P,Q,E,F为顶点的四边形是平行四边形?若存在,求出m的值;若不存在,说明理由.
9.如图,二次函数y=ax2+bx+4的图象与x轴交于点A(﹣1,0),B(4,0),与y轴交于点C,P为线段AB上一动点,将射线PB绕P逆时针方向旋转45°后与函数图象交于点Q.
(1)求二次函数y=ax2+bx+4的表达式;
(2)当P在二次函数对称轴上时,求此时PQ的长;
(3)求线段PQ的最大值;
(4)抛物线对称轴上是否存在D,使P、Q、B、D四点能构成平行四边形,若存在,请求出点D的坐标,若不存在,请说明理由.
10.抛物线y=ax2+bx+c经过点A(﹣1,0)、B(4,0),与y轴交于点C(0,4).
(1)求抛物线的表达式;
(2)点P为直线BC上方抛物线的一点,分别连接PB、PC,若直线BC恰好平分四边形COBP的面积,求P点坐标;
(3)在(2)的条件下,是否在该抛物线上存在一点Q,该抛物线对称轴上存在一点N,使得以A、P、Q、N为顶点的四边形为平行四边形?若存在,求出Q点坐标,若不存在,请说明理由.
相关试卷
这是一份2023年中考数学二轮复习二次函数压轴题专题14 存在性-平行四边形(教师版),共25页。
这是一份专题14 存在性-平行四边形-中考数学压轴题满分突破之二次函数篇(全国通用),文件包含专题14存在性-平行四边形解析版doc、专题14存在性-平行四边形原卷版doc等2份试卷配套教学资源,其中试卷共38页, 欢迎下载使用。
这是一份中考数学压轴题--二次函数--专题17 存在性-正方形,文件包含专题17存在性-正方形解析版doc、专题17存在性-正方形原卷版doc等2份试卷配套教学资源,其中试卷共32页, 欢迎下载使用。

