资料中包含下列文件,点击文件名可预览资料内容
还剩3页未读,
继续阅读
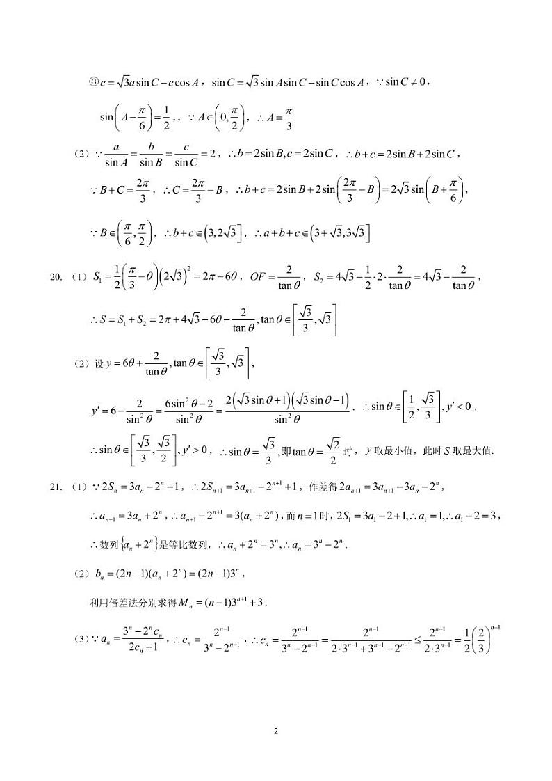
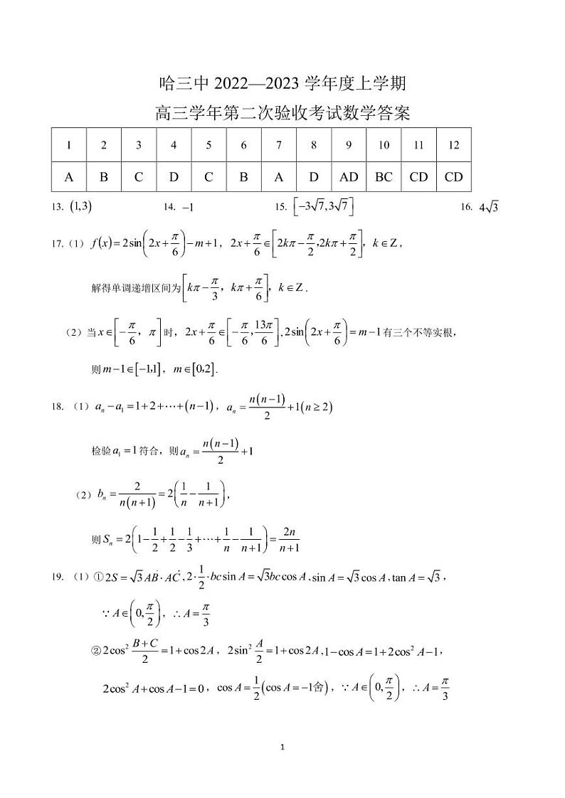
哈三中 2022—2023 学年度上学期高三学年第二次验收考试数学试卷及参考答案
展开
这是一份哈三中 2022—2023 学年度上学期高三学年第二次验收考试数学试卷及参考答案,文件包含哈三中20222023学年度上学期高三学年第二次验收考试数学试卷pdf、哈三中20222023学年度上学期高三学年第二次验收考试数学参考答案pdf等2份试卷配套教学资源,其中试卷共10页, 欢迎下载使用。
相关试卷
哈三中2023-2024学年度上学期高二学年第二次验收考试数学试卷:
这是一份哈三中2023-2024学年度上学期高二学年第二次验收考试数学试卷,共6页。
哈三中 2022—2023 学年度上学期高三学年第二次验收考试数学试卷及参考答案:
这是一份哈三中 2022—2023 学年度上学期高三学年第二次验收考试数学试卷及参考答案,文件包含哈三中20222023学年度上学期高三学年第二次验收考试数学试卷pdf、哈三中20222023学年度上学期高三学年第二次验收考试数学参考答案pdf等2份试卷配套教学资源,其中试卷共10页, 欢迎下载使用。
哈三中2022-2023学年度上学期高三学年1月月考数学试卷:
这是一份哈三中2022-2023学年度上学期高三学年1月月考数学试卷,共7页。

