所属成套资源:23版新高考一轮分层练案【解析版】
23版新高考一轮分层练案(四十九) 抛物线
展开
这是一份23版新高考一轮分层练案(四十九) 抛物线,共6页。试卷主要包含了已知抛物线C,抛物线C,抛物线E,直线l过抛物线C等内容,欢迎下载使用。
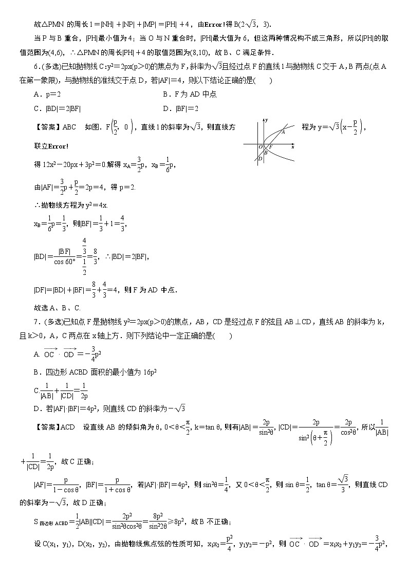
一轮分层练案(四十九) 抛物线 A级——基础达标1.已知点P(2,y)在抛物线y2=4x上,则点P到抛物线焦点F的距离为( )A.2 B.3C. D.【答案】B 因为抛物线y2=4x的焦点为(1,0),准线为x=-1,结合定义点P到抛物线焦点的距离等于它到准线的距离为3.2.设F为抛物线y2=2x的焦点,A,B,C为抛物线上三点,若F为△ABC的重心,则||+||+||的值为( )A.1 B.2C.3 D.4【答案】C 依题意,设点A(x1,y1),B(x2,y2),C(x3,y3),又焦点F,所以x1+x2+x3=3×=,则||+||+||=++=(x1+x2+x3)+=+=3.3.已知抛物线C:y2=2x,过原点作两条互相垂直的直线分别交C于A,B两点(A,B均不与坐标原点重合),则抛物线的焦点F到直线AB的距离的最大值为( )A.2 B.3C. D.4【答案】C 设直线AB的方程为x=my+t,A(x1,y1),B(x2,y2).由得y2-2my-2t=0,故y1y2=-2t,由OA⊥OB,得x1x2+y1y2=+y1y2=0,即y1y2=-4,∴t=2,即直线AB过定点(2,0).∴抛物线的焦点F到直线AB的距离的最大值为2-=.故选C.4.抛物线C:y2=2px(p>0)的焦点为F,M是抛物线C上的点,若△OFM的外接圆与抛物线C的准线相切,且该圆的面积为36π,则p=( )A.2 B.4C.6 D.8【答案】D ∵△OFM的外接圆与抛物线C的准线相切,∴OFM的外接圆的圆心到准线的距离等于圆的半径.∵圆的面积为36π,∴圆的半径为6.又∵圆心在OF的垂直平分线上,|OF|=,∴+=6,∴p=8.故选D.5.(多选)抛物线E:x2=4y与圆M:x2+(y-1)2=16交于A,B两点,圆心M(0,1),点P为劣弧上不同于A,B的一个动点,平行于y轴的直线PN交抛物线于点N,则△PMN的周长的可能取值是( )A.8 B.8.5C.9 D.10【答案】BC 如图,可得圆心M(0,1)也是抛物线的焦点,过P作准线的垂线,垂足为H,根据抛物线的定义,可得|MN|=|NH|,故△PMN的周长l=|NH|+|NP|+|MP|=|PH|+4,由得B(2,3).当P与B重合,|PH|最小值为4;当O与N重合时,|PH|最大值为6,但这两种情况构不成三角形,所以|PH|的取值范围为(4,6),∴△PMN的周长|PH|+4的取值范围为(8,10),故B、C满足条件.6.(多选)已知抛物线C:y2=2px(p>0)的焦点为F,斜率为且经过点F的直线l与抛物线C交于A,B两点(点A在第一象限),与抛物线的准线交于点D,若|AF|=4,则以下结论正确的是( )A.p=2 B.F为AD中点C.|BD|=2|BF| D.|BF|=2【答案】ABC 如图.F,直线l的斜率为,则直线方程为y=,联立得12x2-20px+3p2=0.解得xA=p,xB=p,由|AF|=p+=2p=4,得p=2.∴抛物线方程为y2=4x.xB=p=,则|BF|=+1=,|BD|===,∴|BD|=2|BF|,|DF|=|BD|+|BF|=+=4,则F为AD中点.故选A、B、C.7.(多选)已知点F是抛物线y2=2px(p>0)的焦点,AB,CD是经过点F的弦且AB⊥CD,直线AB的斜率为k,且k>0,A,C两点在x轴上方.则下列结论中一定正确的是( )A.·=-p2B.四边形ACBD面积的最小值为16p2C.+=D.若|AF|·|BF|=4p2,则直线CD的斜率为-【答案】ACD 设直线AB的倾斜角为θ,0<θ<,k=tan θ,则有|AB|=,|CD|==,所以+=,故C正确;|AF|=,|BF|=,若|AF|·|BF|=4p2,则sin2θ=,又0<θ<,则sin θ=,tan θ=,则直线CD的斜率为-,故D正确;S四边形ACBD=|AB||CD|==≥8p2,故B不正确;设C(x1,y1),D(x2,y2),由抛物线焦点弦的性质可知,x1x2=,y1y2=-p2,则·=x1x2+y1y2=-p2,故A正确.8.如图是抛物线形拱桥,当水面在l时,拱顶离水面2 m,水面宽4 m.水位下降1 m后,水面宽________m.解析:建立如图平面直角坐标系,设抛物线方程为x2=-2py(p>0).由题意将点A(2,-2)代入x2=-2py,得p=1,故x2=-2y.设B(x,-3),代入x2=-2y中,得x=,故水面宽为2 m.【答案】29.直线l过抛物线C:y2=2px(p > 0)的焦点F(1,0),且与C交于A,B两点,则p=________,+=________.解析:由题意知=1,从而p=2,所以抛物线方程为y2=4x.当直线AB的斜率不存在时,将x=1代入抛物线方程,解得|AF|=|BF|=2,从而+=1.当直线AB的斜率存在时,设AB的方程为y=k(x-1),联立整理,得k2x2-(2k2+4)x+k2=0,设A(x1,y1),B(x2,y2),则从而+=+===1.综上,+=1.【答案】2 110.已知过抛物线y2=2px(p>0)的焦点,斜率为2的直线交抛物线于A(x1,y1),B(x2,y2)(x1<x2)两点,且|AB|=9.(1)求该抛物线的方程;(2)O为坐标原点,C为抛物线上一点,若=+λ,求λ的值.解:(1)由题意得直线AB的方程为y=2,与y2=2px联立,消去y得4x2-5px+p2=0,所以x1+x2=.由抛物线定义得|AB|=x1+x2+p=+p=9,所以p=4,从而该抛物线的方程为y2=8x.(2)由(1)得4x2-5px+p2=0,即x2-5x+4=0,则x1=1,x2=4,于是y1=-2,y2=4,从而A(1,-2),B(4,4).设C(x3,y3),则=(x3,y3)=(1,-2)+λ(4,4)=(4λ+1,4λ-2).又y=8x3,所以[2(2λ-1)]2=8(4λ+1),整理得(2λ-1)2=4λ+1,解得λ=0或λ=2.故λ的值为0或2.B级——综合应用 11.已知抛物线y2=2px(p>0),O是坐标原点,F是抛物线的焦点,P是抛物线上一点,则使△POF是直角三角形的点P共有( )A.0个 B.2个C.4个 D.6个【答案】B 如图所示,过焦点F作PF⊥x轴,交抛物线于点P,P′,连接OP,OP′,则△OFP,△OFP′都是直角三角形.显然∠POF不可能为直角.若∠OPF=90°,易知F设P,y≠0,可得=,=,∴·=+y2=+.∵>0,>0,∴·>0,与·=0矛盾,∴∠OPF不可能为直角.综上,使△POF是直角三角形的点P有且仅有2个.12.设抛物线y2=8x的焦点为F,过点M(4,0)的直线与抛物线相交于A,B两点,与抛物线的准线相交于点C,|BF|=4,则△BCF与△ACF的面积之比=( )A. B.C. D.【答案】D 由抛物线方程y2=8x,得焦点F的坐标为(2,0),准线方程为x=-2.如图,过点A,B分别作准线的垂线,垂足分别为点E,N.设直线AB的方程为y=k(x-4)(k≠0),则由消去y并整理得k2x2-(8k2+8)x+16k2=0.设A(x1,y1),B(x2,y2),则x1x2=16.由抛物线的定义知|BF|=|BN|=x2+2=4,所以x2=2,所以x1=8,所以|AE|=x1+2=10.因为BN∥AE,所以====,故选D.13.(多选)阿基米德(公元前287年—公元前212年)是古希腊伟大的物理学家、数学家和天文学家.他研究抛物线的求积法得出著名的阿基米德定理,并享有“数学之神”的称号.抛物线的弦与过弦的端点的两条切线所围成的三角形被称为阿基米德三角形.如图,△PAB为阿基米德三角形.抛物线x2=2py(p>0)上有两个不同的点A(x1,y1),B(x2,y2),以A,B为切点的抛物线的切线PA,PB相交于P.给出如下结论,其中正确的为( )A.若弦AB过焦点,则△ABP为直角三角形且∠APB=90°B.点P的坐标是C.△PAB的边AB所在的直线方程为(x1+x2)x-2py-x1x2=0D.△PAB的边AB上的中线与y轴平行(或重合)【答案】ACD 由题意设A,B,x1<x2,由x2=2py,得y=,则y′=,所以kPA=,kPB=,若弦AB过焦点,∴x1x2=-p2,∴kPA·kPB==-1,∴PA⊥PB,故A正确;以点A为切点的切线方程为y-=(x-x1),以点B为切点的切线方程为y-=(x-x2),联立消去y得x=,将x=代入y-=(x-x1),得y=,所以P,故B错误;设N为抛物线弦AB的中点,N的横坐标为xN=,因此则直线PN平行于y轴,即平行于抛物线的对称轴,故D正确;设直线AB的斜率为k===,故直线AB的方程为y-=(x-x1),化简得(x1+x2)x-2py-x1x2=0,故C正确,故选A、C、D.14.已知抛物线C:x2=4y的焦点为F,直线l与抛物线C交于A,B两点,连接AF并延长交抛物线C于点D,若AB中点的纵坐标为|AB|-1,则当∠AFB最大时,|AD|=________.解析:设A(x1,y1),B(x2,y2),D(x3,y3),由抛物线定义得y1+y2+2=|AF|+|BF|,∵=|AB|-1,∴|AF|+|BF|=2|AB|,∴cos∠AFB==≥=,当且仅当|AF|=|BF|时取等号.∴当∠AFB最大时,△AFB为等边三角形,可得直线AD的方程为y=x+1.联立消去y得,x2-4 x-4=0,∴x1+x3=4 ,∴y1+y3=(x1+x3)+2=14.∴|AD|=y1+y3+2=14+2=16.【答案】1615.已知抛物线C:x2=2py(p>0)的焦点为F,点M(2,m)(m>0)在抛物线上,且|MF|=2.(1)求抛物线C的方程;(2)若点P(x0,y0)为抛物线上任意一点,过该点的切线为l0,证明:过点F作切线l0的垂线,垂足必在x轴上.解:(1)由抛物线的定义可知,|MF|=m+=2,①又M(2,m)在抛物线上,所以2pm=4,②由①②,解得p=2,m=1,所以抛物线C的方程为x2=4y.(2)证明:①当x0=0,即点P为原点时,显然符合;②当x0≠0,即点P不在原点时,由(1)得,x2=4y,则y′=x,所以抛物线在点P处的切线的斜率为x0,所以抛物线在点P处的切线l0的方程为y-y0=x0(x-x0),又x=4y0,所以y-y0=x0(x-x0)可化为y=x0x-y0.又过点F且与切线l0垂直的方程为y-1=-x.联立方程得消去x,得y=-(y-1)x-y0.(*)因为x=4y0,所以(*)可化为y=-yy0,即(y0+1)y=0,由y0>0,可知y=0,即垂足必在x轴上.综上,过点F作切线l0的垂线,垂足必在x轴上.C级——迁移创新16.如图,是某防空部队进行射击训练时在平面直角坐标系中的示意图,在地面O,A两个观测点测得空中固定目标C的仰角分别为α,β,OA=1 km,CB⊥Ox,tan α=,tan β=,位于O点正上方km的D点处的直升飞机向目标C发射防空导弹,该导弹运行与地面的最大高度为3 km,相应水平距离为4 km(即图中E点),不考虑空气阻力,导弹飞行轨道为一抛物线.那么,按轨道运行的导弹能否击中目标C?解:依题意,设抛物线方程为y=a(x-4)2+3,由抛物线过点D,得a=-.∴抛物线方程为y=-(x-4)2+3.设C(x0,y0),因为CB⊥Ox,则tan α==,tan β==.联立解得x0=7,y0=,∴C.∵-×(7-4)2+3=,∴点C在抛物线y=-(x-4)2+3上,故按轨道运行的导弹可以击中目标C.
相关试卷
这是一份23版新高考一轮分层练案(二) 常用逻辑用语,共5页。试卷主要包含了命题p,下列命题中的真命题是,下列命题说法错误的是,设计如图所示的四个电路图,若p等内容,欢迎下载使用。
这是一份23版新高考一轮分层练案(一) 集合,共4页。
这是一份23版新高考一轮分层练案(五十七) 排列与组合,共4页。

