- 2.2.3 直线的一般式方程 课件-2022-2023学年高二上学期数学人教A版(2019)选择性必修第一册 课件 1 次下载
- 2.3.1 两条直线的交点坐标 2.3.2 两点间的距离公式 课件-2022-2023学年高二上学期数学人教A版(2019)选择性必修第一册 课件 1 次下载
- 2.3.4(微专题)直线系方程及其应用 课件-2022-2023学年高二上学期数学人教A版(2019)选择性必修第一册 课件 1 次下载
- 2.4.1圆的标准方程 课件-2022-2023学年高二上学期数学人教A版(2019)选择性必修第一册 课件 1 次下载
- 2.4.2 圆的一般方程 课件-2022-2023学年高二上学期数学人教A版(2019)选择性必修第一册 课件 1 次下载
人教A版 (2019)选择性必修 第一册第二章 直线和圆的方程2.3 直线的交点坐标与距离公式说课ppt课件
展开(一)创设情景揭示课题
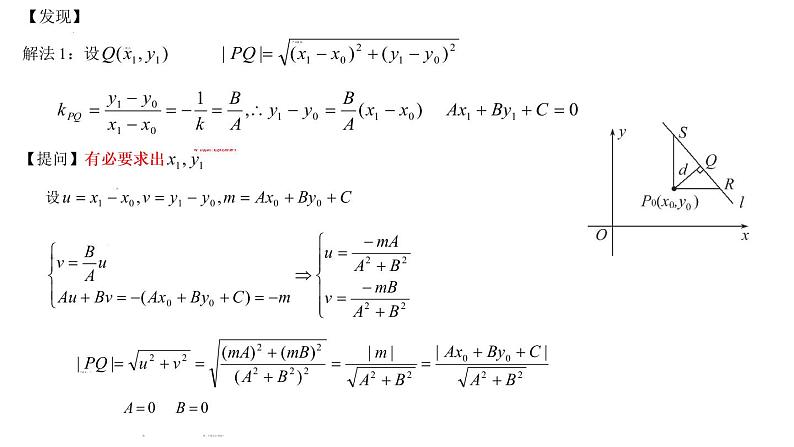
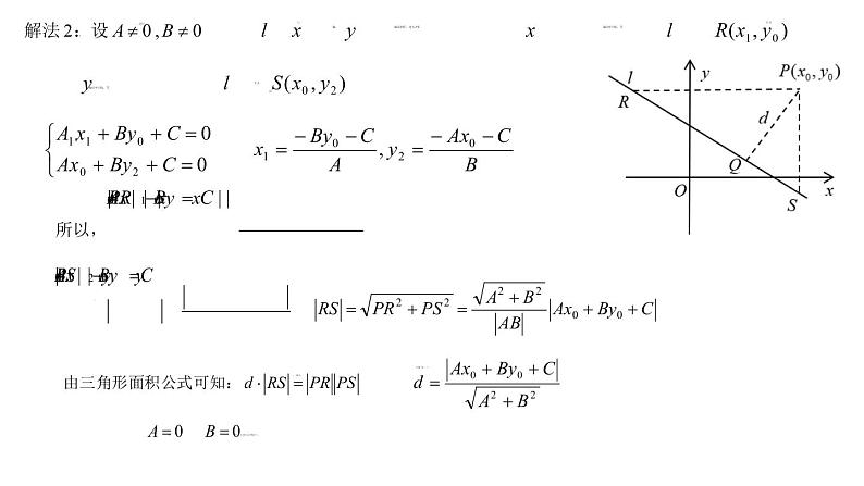
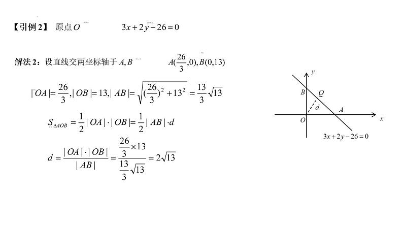
(二)阅读精要研讨新知
(三)探索与发现思考与感悟
(四)归纳小结回顾重点
(五)作业布置精炼双基
高中数学人教A版 (2019)选择性必修 第一册2.3 直线的交点坐标与距离公式教学ppt课件: 这是一份高中数学人教A版 (2019)选择性必修 第一册<a href="/sx/tb_c4000328_t3/?tag_id=26" target="_blank">2.3 直线的交点坐标与距离公式教学ppt课件</a>,文件包含人教A版2019选择性必修第一册高二上学期数学233点到直线的距离公式234两条平行直线间的距离课件pptx、人教A版2019选择性必修第一册高二上学期数学233点到直线的距离公式234两条平行直线间的距离教案docx等2份课件配套教学资源,其中PPT共29页, 欢迎下载使用。
高中2.3 直线的交点坐标与距离公式获奖ppt课件: 这是一份高中2.3 直线的交点坐标与距离公式获奖ppt课件,共22页。PPT课件主要包含了学习目标,自主学习,小试牛刀,经典例题,当堂达标等内容,欢迎下载使用。
数学选择性必修 第一册2.3 直线的交点坐标与距离公式教课内容课件ppt: 这是一份数学选择性必修 第一册2.3 直线的交点坐标与距离公式教课内容课件ppt,共33页。

