


2021-2022学年广东省梅州市兴宁市六年级(上)期末数学试卷
展开
这是一份2021-2022学年广东省梅州市兴宁市六年级(上)期末数学试卷,共11页。试卷主要包含了填空,判断,计算,按要求完成下面各题,解决问题等内容,欢迎下载使用。
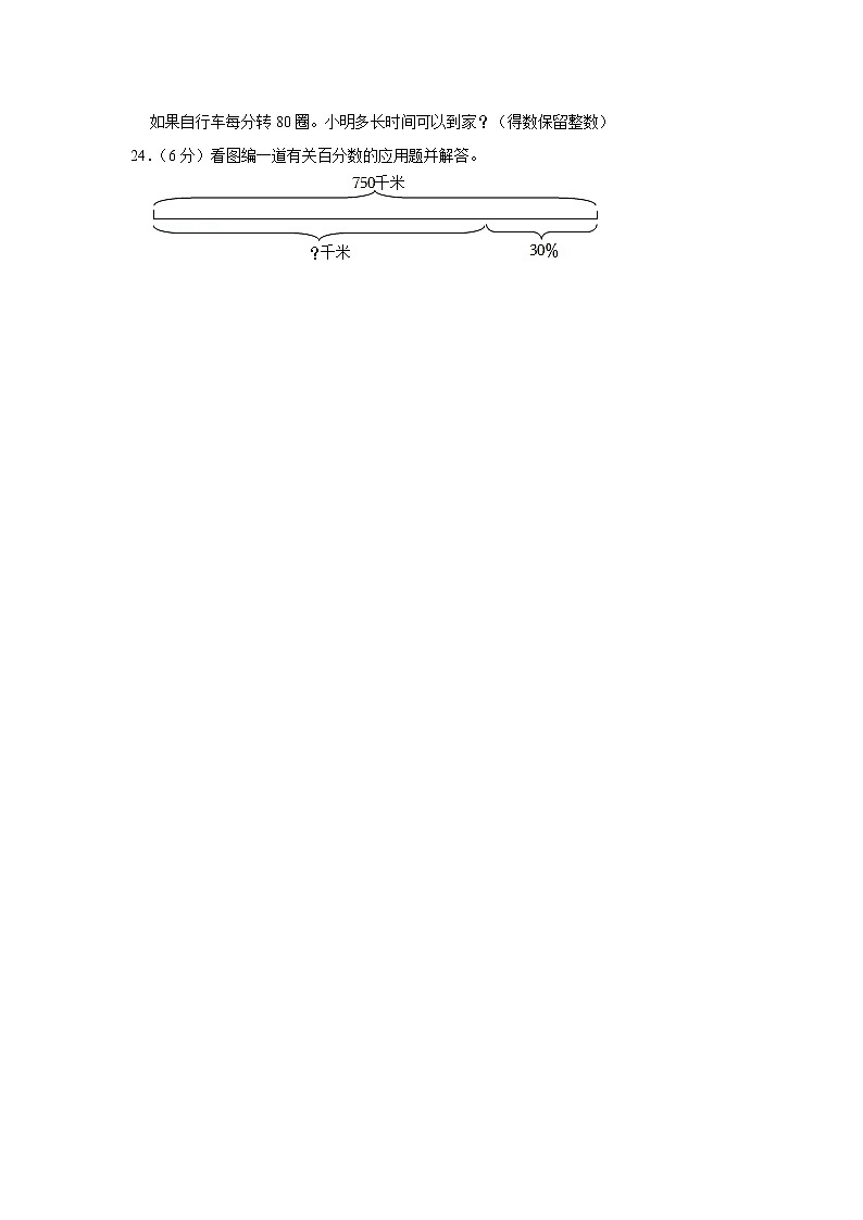
2021-2022学年广东省梅州市兴宁市六年级(上)期末数学试卷一、填空。(2题3分,6题4分,其余每题2分,共19分)1.(2分)要画一个周长是25.12分米的圆,圆规的两脚间的距离是 ,这个圆的面积是 .2.(3分)圆的周长与直径的比是 ,比值是 ,这个比值表示的是 .3.(2分)甲数与乙数的比是5:3,乙数除以甲数的商是 ,甲数占两数和的 %。4.(2分)一个挂钟分针长5厘米,它的尖端走了三圈是 厘米.5.(2分)六年级(1)班某天的出勤率是98%,班级共50人,这个班当天缺勤 人.6.(4分) : 0.8= ÷ = %。7.(2分)小明站在路灯下,他离路灯越远,他的影子就越 .8.(2分)小红妈妈买了2000元国家建设债券,定期3年,如果年利率是6.15%,到期时她可以获得本金和利息共 元.二、判断。(对的打“√”,错的打“×”)。(10分)9.(2分)在同一个圆里,半径的长度是直径的2倍。 (判断对错)10.(2分)今年花生的产量比去年减少三成,今年的产量是去年的30%。 (判断对错)11.(2分)A是B的,则B 与A 的比是4:3. .12.(2分)百分之三十点零四写作30.04%。 (判断对错)13.(2分)在3:8中,前项增加6,要使比值不变,后项应该扩大3倍. .(判断对错)三、计算。(31分)14.(4分)化简下面各比,并求比值。: 4.5:2.715.(9分)解方程。60%x+30%x=18(1)x=3050x=8016.(12分)计算下面各题,能简算的要简算。24×()5 ()×()17.(6分)自己动手量出所需的条件,再分别求出图中圆的周长和阴影部分的面积。四、按要求完成下面各题。(12分)18.(6分)观察下图,分别画出从正面、上面、左面看到的形状。19.(6分)下面是六年级一班学生喜欢的电视节目统计图.(1)喜欢《走进科学》的同学人数占全班人数的 %.(2)喜欢《焦点访谈》的人数相当于喜欢《大风车》人数的 %,如果全班有60人,那么,喜欢《大风车》的有 人.五、解决问题。(28分)20.(5分)某妇产科医院上月新生婴儿303名,男女婴儿人数之比是51:50.上月新生男女婴儿各有多少人?21.(5分)一件商品降价8折出售,便宜了84元,原价是多少元?22.(6分)织布车间计划织一批布,第一天织了千米,第二天织了千米,两天正好织了这批布的.这批布共有多少千米?23.(6分)小明家离学校有1400米,他每天骑自行车回家自行车的轮胎直径是70厘米,如果自行车每分转80圈。小明多长时间可以到家?(得数保留整数)24.(6分)看图编一道有关百分数的应用题并解答。
2021-2022学年广东省梅州市兴宁市六年级(上)期末数学试卷参考答案与试题解析一、填空。(2题3分,6题4分,其余每题2分,共19分)1.(2分)要画一个周长是25.12分米的圆,圆规的两脚间的距离是 4分米 ,这个圆的面积是 50.24平方分米 .【解答】解:(1)25.12÷3.14÷2=4(分米), (2)3.14×42=3.14×16=50.24(平方分米),答:圆规两脚之间的距离是4厘米,这个圆的面积是50.24平方分米.故答案为:4分米;50.24平方分米.2.(3分)圆的周长与直径的比是 π:1 ,比值是 π ,这个比值表示的是 圆周率 .【解答】解:因为C=πd,圆周长:圆直径=πd:d=π:1,圆的周长与直径的比值为:π,这个比值表示的是圆周率.故答案为:π:1,π,圆周率.3.(2分)甲数与乙数的比是5:3,乙数除以甲数的商是 0.6 ,甲数占两数和的 62.5 %。【解答】解:甲数与乙数的比是5:3,那么乙数:甲数=3:5;3:5=3÷5=0.65÷(5+3)=5÷8=62.5%故答案为:0.6;62.5。4.(2分)一个挂钟分针长5厘米,它的尖端走了三圈是 94.2 厘米.【解答】解:3.14×2×5×3,=6.28×15,=94.2(厘米);答:这根分针的尖端转3圈走了94.2厘米.故答案为:94.2.5.(2分)六年级(1)班某天的出勤率是98%,班级共50人,这个班当天缺勤 1 人.【解答】解:出勤人数=总人数×出勤率,50×98%=49(人),50﹣49=1(人);故答案为:1.6.(4分) 4 : 5 0.8= 4 ÷ 5 = 80 %。【解答】解:4:50.8=4÷5=80%故答案为:4,5;;4,5;80(除80外,其余答案均不唯一)。7.(2分)小明站在路灯下,他离路灯越远,他的影子就越 长 .【解答】解:小明站在路灯下,他离路灯越远,他的影子就越长;故答案为:长.8.(2分)小红妈妈买了2000元国家建设债券,定期3年,如果年利率是6.15%,到期时她可以获得本金和利息共 2369 元.【解答】解:2000+2000×6.15%×3,=2000+369,=2369(元);答:到期可获得本金和利息一共2369元.故答案为:2369.二、判断。(对的打“√”,错的打“×”)。(10分)9.(2分)在同一个圆里,半径的长度是直径的2倍。 × (判断对错)【解答】解:在同一个圆里,直径的长度是半径的2倍。所以原题说法错误。故答案为:×。10.(2分)今年花生的产量比去年减少三成,今年的产量是去年的30%。 × (判断对错)【解答】解:1﹣30%=70%今年的产量是去年的70%,不是30%。故答案为:×。11.(2分)A是B的,则B 与A 的比是4:3. √ .【解答】解:把B看作单位“1”,则A为,1:4:3;故答案为:√.12.(2分)百分之三十点零四写作30.04%。 √ (判断对错)【解答】解:百分之三十点零四写作30.04%。故答案为:√。13.(2分)在3:8中,前项增加6,要使比值不变,后项应该扩大3倍. √ .(判断对错)【解答】解:(6+3)÷3=3,故答案为:√.三、计算。(31分)14.(4分)化简下面各比,并求比值。: 4.5:2.7【解答】解::=(7.5):(7.5)=12:512:5=12÷5=2.4 4.5:2.7=(4.5):(2.7)=5:35:3=5÷3 15.(9分)解方程。60%x+30%x=18(1)x=3050x=80【解答】解:60%x+30% x=18 90%x=18 90%x÷90%=18÷90% x=20 (1)x=25 x=25 x25 x 50x=80 50x﹣50=80﹣50 x=30 x30 x=15016.(12分)计算下面各题,能简算的要简算。24×()5 ()×()【解答】解:(1)24×()=242424=9+4+10=23 (2)5()1 (3)()×() 17.(6分)自己动手量出所需的条件,再分别求出图中圆的周长和阴影部分的面积。【解答】解:测量结果如图:3.14×2=6.28(厘米) 2×2﹣3.14×(2÷2)2=4﹣3.14×1=4﹣3.14=0.86(平方厘米)答:圆的周长是14.28厘米,阴影部分面积是0.86平方厘米。四、按要求完成下面各题。(12分)18.(6分)观察下图,分别画出从正面、上面、左面看到的形状。【解答】解:根据题意画图如下:19.(6分)下面是六年级一班学生喜欢的电视节目统计图.(1)喜欢《走进科学》的同学人数占全班人数的 38 %.(2)喜欢《焦点访谈》的人数相当于喜欢《大风车》人数的 60 %,如果全班有60人,那么,喜欢《大风车》的有 15 人.【解答】解:根据扇形统计图分析可得:①1﹣15%﹣25%﹣22%=38%;②15%÷25%=60%,60×25%=15(人);答:①喜欢《走进科学》的同学人数占全班人数的38%,②喜欢《焦点访谈》的人数相当于喜欢《大风车》人数的60%,如果全班有60人,那么,喜欢《大风车》的有15人.故答案为:38;60;15.五、解决问题。(28分)20.(5分)某妇产科医院上月新生婴儿303名,男女婴儿人数之比是51:50.上月新生男女婴儿各有多少人?【解答】解:303150(人)303153(人)答:这家医院上月新生男婴儿有153人、女婴儿有150人.21.(5分)一件商品降价8折出售,便宜了84元,原价是多少元?【解答】解:84÷(1﹣80%),=420(元);答:原价是420元.22.(6分)织布车间计划织一批布,第一天织了千米,第二天织了千米,两天正好织了这批布的.这批布共有多少千米?【解答】解:() (千米)答:这批布共有千米.23.(6分)小明家离学校有1400米,他每天骑自行车回家自行车的轮胎直径是70厘米,如果自行车每分转80圈。小明多长时间可以到家?(得数保留整数)【解答】解:70×3.14=219.8(厘米)219.8×80=17584(厘米)1400米=140000厘米140000÷17584≈8.0(分钟)8.0分钟=8分钟答:小明大约8分钟可以到家。24.(6分)看图编一道有关百分数的应用题并解答。【解答】解:答案不唯一。一条路长750千米,已经修了30%,还有多少千米没有修?750×(1﹣30%)=750×70%=525(千米)答:还有525千米没有修。:06:01;
相关试卷
这是一份广东省梅州市兴宁市2022-2023学年五年级下学期期末数学试卷,共14页。试卷主要包含了填空,判断,选择题,算一算,看图,解决问题等内容,欢迎下载使用。
这是一份2021-2022学年广东省梅州市兴宁市北师大版三年级下册期末考试数学试卷及答案,共12页。试卷主要包含了填空,判断,选择,算一算,按要求画一画,解决问题等内容,欢迎下载使用。
这是一份广东省梅州市兴宁市2021-2022学年一年级上学期期末数学测试卷,共3页。
