







还剩32页未读,
继续阅读
所属成套资源:全套人教版数学九年级下册集训课堂练素养课件
成套系列资料,整套一键下载
人教版数学九年级下册集训课堂练素养1.反比例函数图象和性质的应用题型课件
展开
这是一份人教版数学九年级下册集训课堂练素养1.反比例函数图象和性质的应用题型课件,共40页。
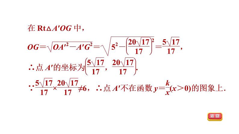
人教版 九年级下第二十六章 反比例函数练素养 1.反比例函数图象和性质的应用题型集训课堂 D答 案 呈 现习题链接1(1)求k和b的值;2(2)求图中阴影部分的面积.3(2)求出点C的坐标,并根据图象写出当y1<y2时对应自变量x的取值范围;(3)若点B与点D关于原点成中心对称,求出△ACD的面积.4②当2<x<3时,比较y1与y2的大小(直接写出结果).解:当2<x<3时,y1<y2.(2)若点C(2,n)在函数y1的图象上,点C先向下平移2个单位长度,再向左平移4个单位长度得点D,点D恰好落在函数y1的图象上,求n的值.解:由平移可得点D的坐标为(-2,n-2),∴-2(n-2)=2n,解得n=1.5A.x
相关资料
更多