资料中包含下列文件,点击文件名可预览资料内容








还剩11页未读,
继续阅读
所属成套资源:2023商丘名校联盟高二上学期期中联考试题及答案(九科)
成套系列资料,整套一键下载
2023商丘名校联盟高二上学期期中联考试题数学含解析
展开
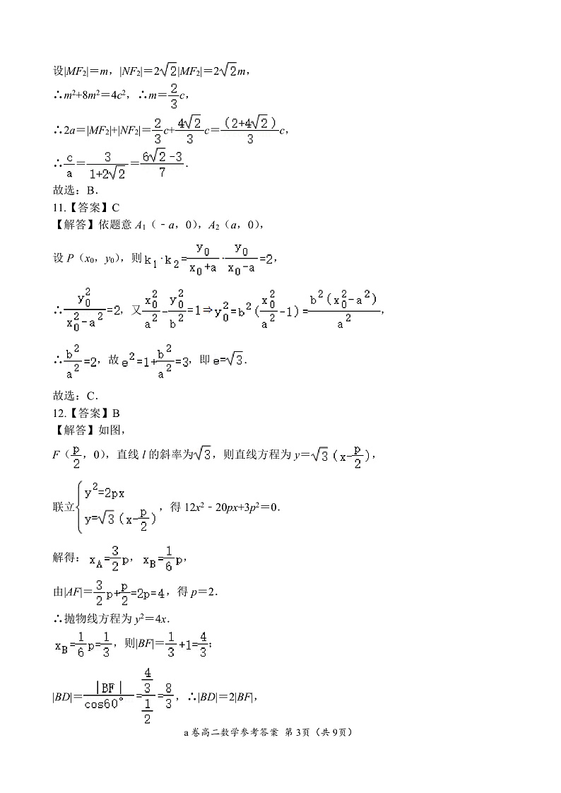
这是一份2023商丘名校联盟高二上学期期中联考试题数学含解析
相关试卷
2024清远四校联盟高二上学期期中联考试题数学含解析:
这是一份2024清远四校联盟高二上学期期中联考试题数学含解析,共23页。试卷主要包含了考生必须保持答题卡的整洁,6B, 已知向量,则等内容,欢迎下载使用。
河南省商丘市商丘名校2023-2024学年高一数学上学期期中联考试题(Word版附解析):
这是一份河南省商丘市商丘名校2023-2024学年高一数学上学期期中联考试题(Word版附解析),共10页。试卷主要包含了选择题,填空题,解答题等内容,欢迎下载使用。
2022成都蓉城名校联盟高二下学期期中联考试题数学(文)含解析:
这是一份2022成都蓉城名校联盟高二下学期期中联考试题数学(文)含解析,文件包含四川省成都市蓉城高中教育联盟2021-2022学年高二下学期期中考试文科数学试题含解析docx、四川省成都市蓉城高中教育联盟2021-2022学年高二下学期期中考试文科数学试题无答案docx等2份试卷配套教学资源,其中试卷共19页, 欢迎下载使用。
