







还剩25页未读,
继续阅读
人教A版 (2019)必修 第一册5.5 三角恒等变换背景图课件ppt
展开
这是一份人教A版 (2019)必修 第一册5.5 三角恒等变换背景图课件ppt,共33页。PPT课件主要包含了课前自学质疑,课堂探究评价等内容,欢迎下载使用。
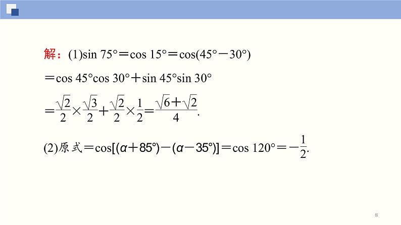
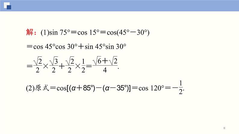
cs αcs β+sin αsin β
相关课件
高中数学人教A版 (2019)必修 第一册5.5 三角恒等变换评课课件ppt:
这是一份高中数学人教A版 (2019)必修 第一册5.5 三角恒等变换评课课件ppt,共14页。PPT课件主要包含了正弦的二倍角公式,Sα±β,令βα,余弦的二倍角公式,Cα±β,正切的二倍角公式,Tα±β,总结二倍角公式,应用公式求三角函数值,解法1等内容,欢迎下载使用。
高中数学人教A版 (2019)必修 第一册5.5 三角恒等变换备课课件ppt:
这是一份高中数学人教A版 (2019)必修 第一册5.5 三角恒等变换备课课件ppt,共17页。PPT课件主要包含了化简得,两角差的余弦公式,根据两点间的距离公式,两角和的余弦公式,两角和差的正弦公式,两角和差的正切公式,Tα-β,Tα+β等内容,欢迎下载使用。
数学必修 第一册第五章 三角函数5.5 三角恒等变换教案配套课件ppt:
这是一份数学必修 第一册第五章 三角函数5.5 三角恒等变换教案配套课件ppt,共15页。PPT课件主要包含了复习回顾,角α-β终边,角β终边,角α终边,α-β,化简得,对于任意角αβ有,例题探究,例题探究1,跟踪训练1等内容,欢迎下载使用。