





所属成套资源:人教A版 (2019)高中数学必修 第一册 同步精选习题
- 专题5.2 三角函数的概念- 2022-2023学年高一数学阶段性复习精选精练(人教A版2019必修第一册) 试卷 0 次下载
- 专题5.2 三角函数的概念- 2022-2023学年高一数学阶段性复习精选精练(人教A版2019必修第一册) 试卷 0 次下载
- 专题5.5 三角恒等变换- 2022-2023学年高一数学阶段性复习精选精练(人教A版2019必修第一册) 试卷 0 次下载
- 专题5.4 三角函数的图象与性质- 2022-2023学年高一数学阶段性复习精选精练(人教A版2019必修第一册) 试卷 0 次下载
- 人教A版 (2019)高中数学必修 第一册 第5章 三角函数 章末测试(提升) 试卷 0 次下载
人教A版 (2019)5.3 诱导公式当堂检测题
展开
这是一份人教A版 (2019)5.3 诱导公式当堂检测题,文件包含专题53诱导公式解析版docx、专题53诱导公式原卷版docx等2份试卷配套教学资源,其中试卷共45页, 欢迎下载使用。
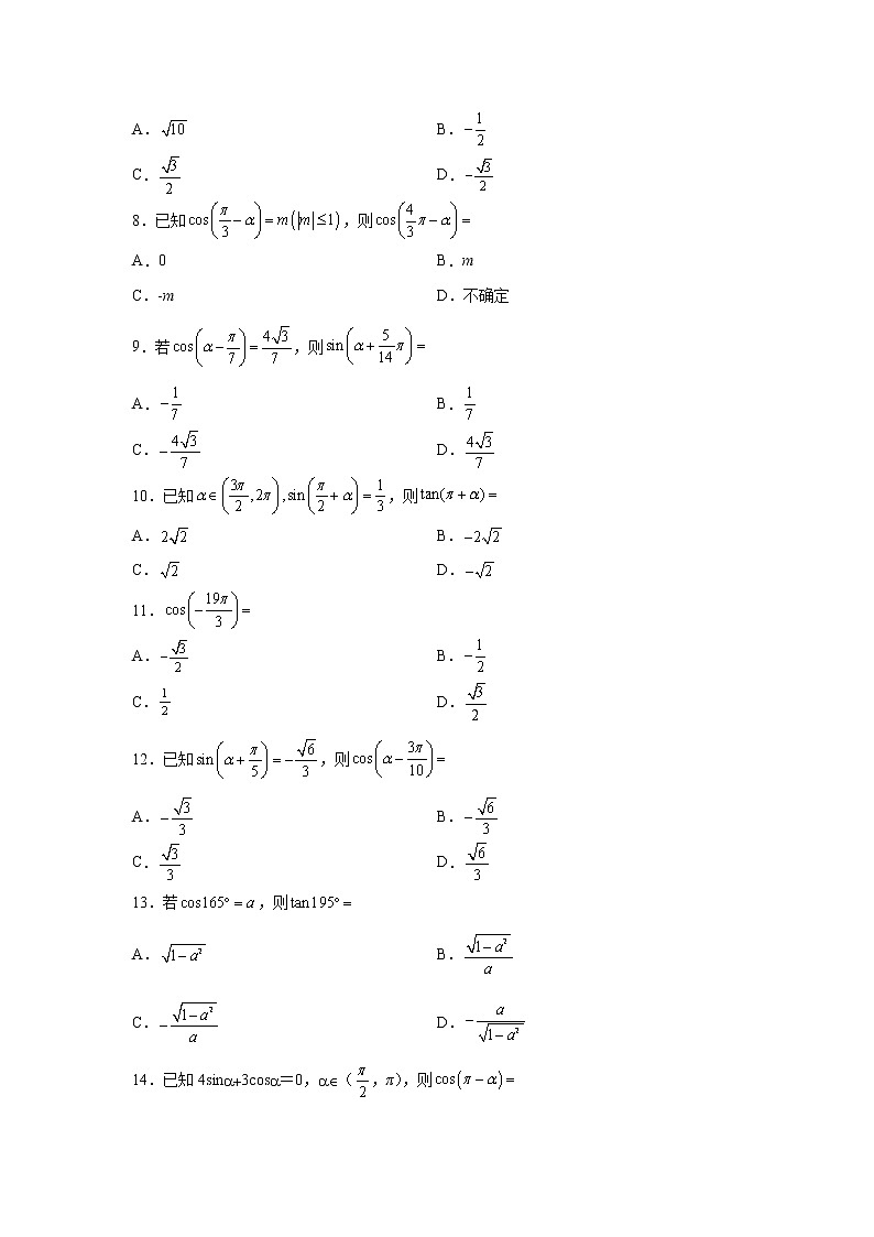
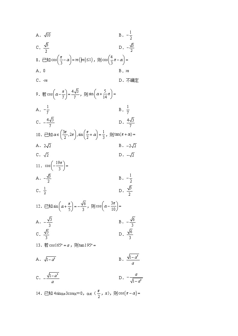
专题5.3 诱导公式1.三角函数的诱导公式公式一二三四五六角2kπ+α(k∈Z)π+α−απ−α−α+α正弦sin α−sinα−sinαsinαcosαcosα余弦cos α−cosα cosα −cosα sinα−sinα 正切tan αtanα−tanα−tanα 口诀函数名不变,符号看象限函数名改变,符号看象限2.应用诱导公式,重点是“函数名称”与“正负号”的正确判断.求任意角的三角函数值的问题,都可以通过诱导公式化为锐角三角函数的求值问题,具体步骤为“负角化正角”→“正角化锐角”→求值.3.使用诱导公式时一定要注意三角函数值在各象限的符号,特别是在具体题目中出现类似的形式时,需要对k的取值进行分类讨论,从而确定出三角函数值的正负.4.利用诱导公式化简三角函数式的思路(1)分析结构特点,选择恰当公式;(2)利用公式化成单角三角函数;(3)整理得最简形式.5.利用诱导公式化简三角函数式的2个要求(1)化简过程是恒等变形;(2)结果要求项数尽可能少,次数尽可能低,结构尽可能简单,能求值的要求出值.6.巧用相关角的关系、简化解题过程常见的互余关系:与,与,与等;常见的互补关系:与,与等.7.与三角形相结合时,诱导公式在三角形中经常使用,常用的角的变形有:,,等,于是可得,等.一、单选题1.已知,则的值是A. B.C. D.2.的值为A. B.C. D.3.计算的值为A. B.C. D.4.的值为A. B.C. D.5.已知,则A.a B.-aC. D.不确定6.已知,则A. B.C. D.7.的值是A. B.C. D.8.已知,则A.0 B.mC.-m D.不确定9.若,则A. B.C. D.10.已知,则A. B.C. D.11.A. B.C. D.12.已知,则A. B.C. D.13.若,则A. B.C. D.14.已知4sin3cos=0,(,π),则A. B.C. D.15.sin 600°+tan 240°的值为A. B.C. D.16.sin ·cos ·tan的值为A. B.C. D.17.化简:的值为A. B.C. D.18.已知角的终边与单位圆的交点,则A. B.C. D.19.若,则A. B.C. D.20.在平面直角坐标系中,角的终边与单位圆交于一点,则A. B.C. D.21.定义:角与都是任意角,若满足,则称与“广义互余”已知,下列角中,不可能与角 “广义互余”的是A. B.C. D.22.若,则的值为A.或 B.C. D.或23.下列四个选项,错误的是A.点P(tan α,cos α)在第三象限,则α是第二象限角.B.若三角形的两内角A, B,满足sin Acos B<0,则此三角形必为钝角三角形C.sin 145°cos(-210°)>0.D.sin 3·cos 4·tan 5>0.24.若为角终边上一点,则A. B.C. D.25.已知,则A. B.C. D.26.已知的终边上有一点,则=A. B.C. D.27.若,且,则A. B.C. D.28.若,则A. B.C.4 D.29.设,其中a,b,,若,则A.4 B.3C.-5 D.530.若,则A. B.C.2 D.331.已知,则A. B.C. D.32.已知,则A. B.C. D.33.已知,则A. B.C. D.34.A. B.C. D.35.当,若,则的值为A. B.C. D.36.若,则的值为A.或 B.C. D.或37.若,,则A. B.C. D.38.当时,若,则的值为A. B.C. D.39.若,则A. B.C. D.140.已知,则=A.-7 B.C. D.5二、多选题1.已知函数,则以下结论恒成立的是A. B.C. D.2.已知,则下列等式恒成立的是A. B.C. D.3.下列选项中正确的是A. B.C. D.4.设角,,为的三个内角,则无论三角形的形状如何变化,下列各式的值为常数的有A. B.C. D.5.在三角形中下列结论正确的是A. B.C. D.6.已知,则A. B.C. D.17.下列说法中正确的是A.若,则 B.C.若,则 D.若,则8.在平面直角坐标系中,若角的终边与单位圆交于点 ,将角的终边按逆时针方向旋转后得到角的终边,记角的终边与单位圆的交点为,则下列结论正确的为A. B.C. D.9.已知角,满足,则下列结论正确的是A. B.C. D.10.已知,则下列式子恒成立的是A. B.C. D.11.在中,下列关系式恒成立的有A. B.C. D.12.已知,下列结论正确的是A. B.C. D.13.下列选项正确的是A.B.C.若终边上有一点,则D.若一扇形弧长为2,圆心角为,则该扇形的面积为14.下列等式成立的是A. B.C. D.15.如果,那么下列等式中不成立的是A. B.C. D.16.已知,则的可能取值为A. B.C. D.17.已知角满足,则表达式的取值可能为A.-2 B.-1或1C.2 D.-2或2或018.在平面直角坐标系中,若角的终边与单位圆交于点,将角的终边按逆时针方向旋转后得到角的终边,记角的终边与单位圆的交点为Q,则下列结论正确的为A. B.C. D.Q的坐标为19.定义:角与都是任意角,若满足,则称与“广义互余”.已知,下列角中,可能与角“广义互余”的是A. B.C. D.20.已知角和都是任意角,若满足,则称与“广义互余”若,则下列角中,可能与角“广义互余”的有A. B.C. D.三、填空题1.已知,则___________.2.若角的终边经过点,则___________.3.___________.4.若,则___________.5.若,则___________.6.已知角的终边上有一点,则___________.7.已知,则___________.8.的值为___________.9.若角的终边过点,则___________.10.若函数,则的值为___________.11.已知,则的值为___________.12.已知,则___________.13.已知,则___________.14.已知,则___________.15.已知,则的值为___________.16.化简:的值为___________.17.已知,则___________.18.已知,则___________.19.若=,则的值是___________.20.已知角的终边经过点,则的值是___________.
相关试卷
这是一份高中人教A版 (2019)5.3 诱导公式习题,文件包含专题53诱导公式解析版docx、专题53诱导公式原卷版docx等2份试卷配套教学资源,其中试卷共16页, 欢迎下载使用。
这是一份专题1.1 集合- 2022-2023学年高一数学阶段性复习精选精练(人教A版2019必修第一册),文件包含专题11集合解析版docx、专题11集合原卷版docx等2份试卷配套教学资源,其中试卷共22页, 欢迎下载使用。
这是一份专题5.3 诱导公式- 2022-2023学年高一数学阶段性复习精选精练(人教A版2019必修第一册),文件包含专题53诱导公式解析版docx、专题53诱导公式原卷版docx等2份试卷配套教学资源,其中试卷共15页, 欢迎下载使用。
