资料中包含下列文件,点击文件名可预览资料内容
还剩2页未读,
继续阅读
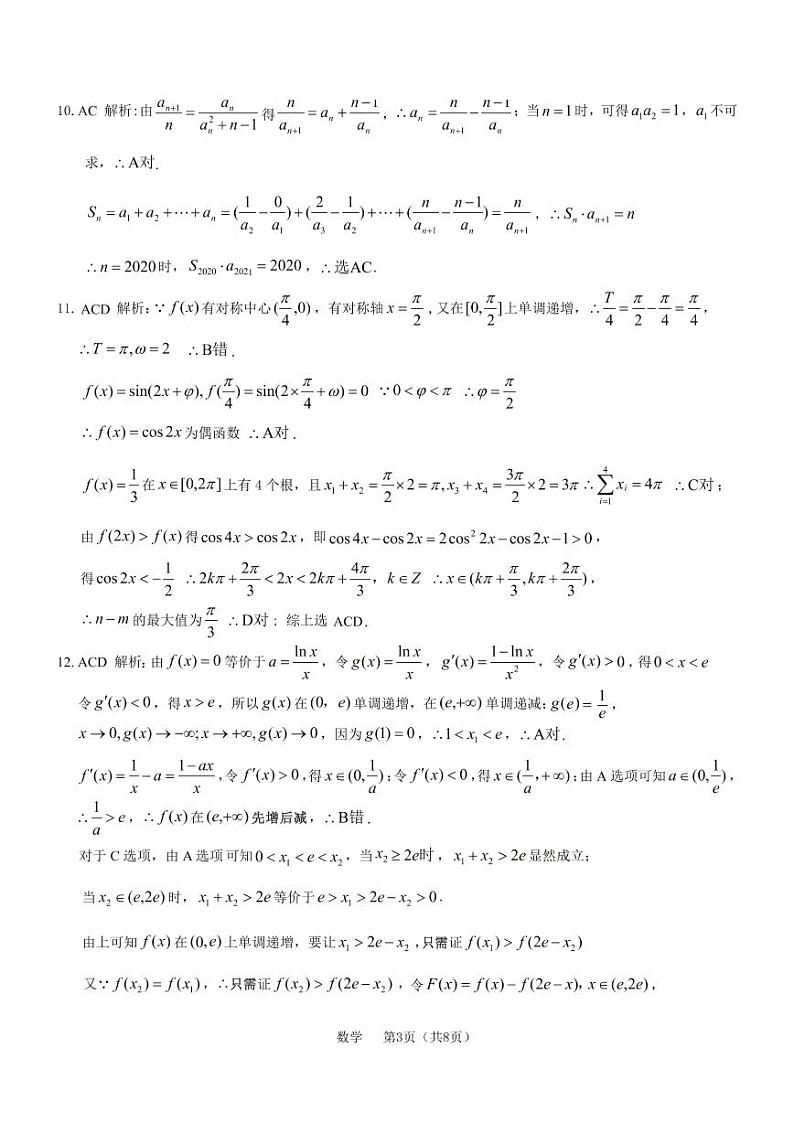
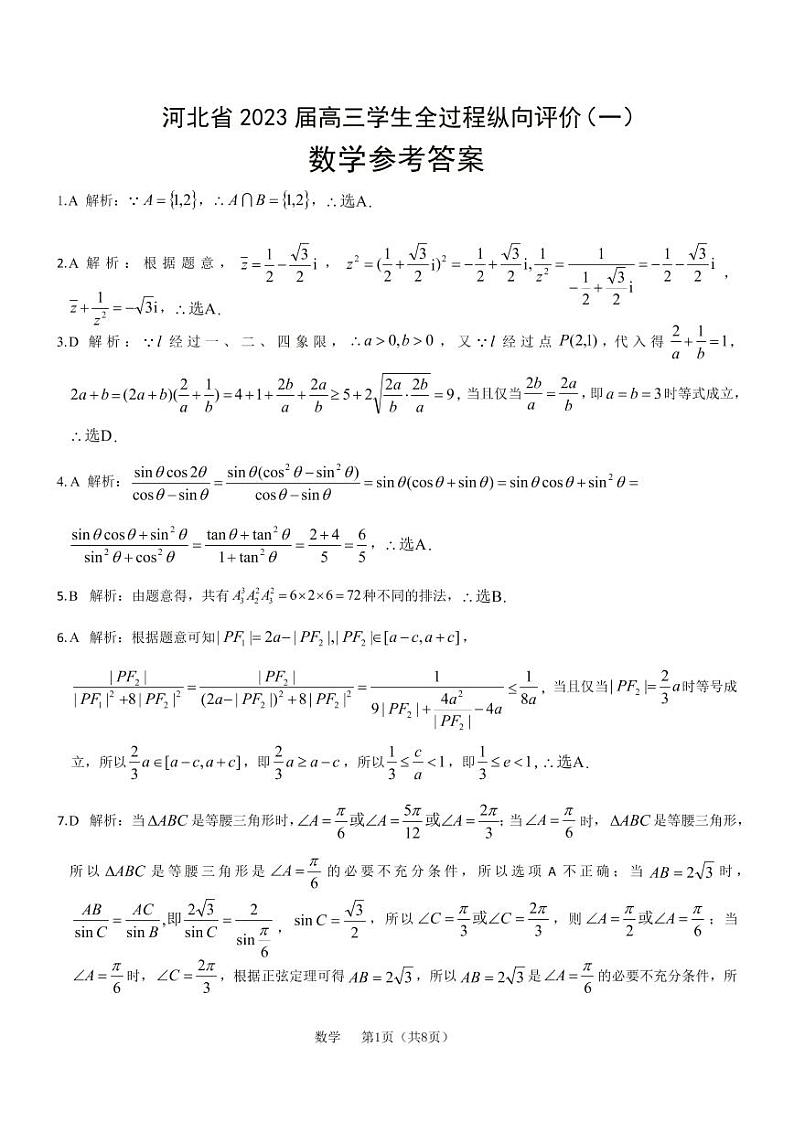
河北省2023届高三学生全过程纵向评价(一)数学试题及参考答案
展开
这是一份河北省2023届高三学生全过程纵向评价(一)数学试题及参考答案
相关试卷
2024届高三第二次学业质量评价(T8联考)数学试题及参考答案:
这是一份2024届高三第二次学业质量评价(T8联考)数学试题及参考答案,文件包含T8原卷PDF原版-2024届高三第二次学业质量评价T8联考数学试题pdf、T8答案PDF原版-2024届高三第二次学业质量评价T8联考数学答案pdf等2份试卷配套教学资源,其中试卷共10页, 欢迎下载使用。
2024届高三第二次学业质量评价(T8联考)数学试题及参考答案:
这是一份2024届高三第二次学业质量评价(T8联考)数学试题及参考答案,文件包含T8原卷PDF原版-2024届高三第二次学业质量评价T8联考数学试题pdf、T8答案PDF原版-2024届高三第二次学业质量评价T8联考数学答案pdf等2份试卷配套教学资源,其中试卷共10页, 欢迎下载使用。
河北省衡水市冀州中学2024届高三第一次调研数学试题(学生版):
这是一份河北省衡水市冀州中学2024届高三第一次调研数学试题(学生版),共5页。试卷主要包含了单项选择题,多项选择题,填空题,解答题等内容,欢迎下载使用。

