- 高考数学(理数)一轮复习讲与练8.3《直线、平面平行的判定及其性质》(3份打包,课件+教案+配套练习,含解析) 课件 0 次下载
- 高考数学(理数)一轮复习讲与练8.4《直线、平面垂直的判定与性质》(3份打包,课件+教案+配套练习,含解析) 课件 0 次下载
- 高考数学(理数)一轮复习讲与练8.6《立体几何中的向量方法》(3份打包,课件+教案+配套练习,含解析) 课件 0 次下载
- 高考数学(理数)一轮复习讲与练8.7《立体几何中的翻折、探究性、最值问题》(3份打包,课件+教案+配套练习,含解析) 课件 0 次下载
- 高考数学(理数)一轮复习讲与练9.2《两条直线的位置关系》(3份打包,课件+教案+配套练习,含解析) 课件 0 次下载
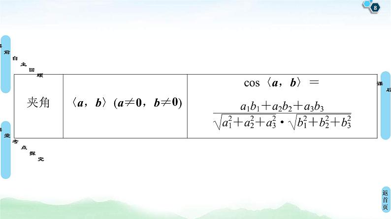
高考数学(理数)一轮复习讲与练8.5《空间向量的运算及应用》(3份打包,课件+教案+配套练习,含解析)
展开第八章 立体几何第五节 空间向量的运算及应用1234567891011121314151617181920212223242526272829303132333435363738394041424344454647484950515253545556575859点击右图进入…60Thank you for watching !61
高考数学(理数)一轮复习讲与练9.6《双曲线》(3份打包,课件+教案+配套练习,含解析): 这是一份高考数学(理数)一轮复习讲与练9.6《双曲线》(3份打包,课件+教案+配套练习,含解析)
高考数学(理数)一轮复习讲与练9.5《椭圆》(3份打包,课件+教案+配套练习,含解析): 这是一份高考数学(理数)一轮复习讲与练9.5《椭圆》(3份打包,课件+教案+配套练习,含解析)
高考数学(理数)一轮复习讲与练9.3《圆的方程》(3份打包,课件+教案+配套练习,含解析): 这是一份高考数学(理数)一轮复习讲与练9.3《圆的方程》(3份打包,课件+教案+配套练习,含解析)

