还剩18页未读,
继续阅读
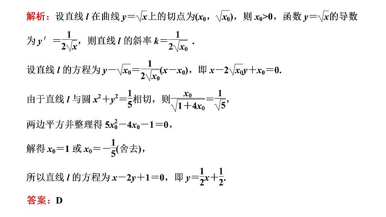
(新高考)高考数学一轮考点复习8.3.2《圆的方程、直线与圆的位置关系》课件 (含解析)
展开
这是一份(新高考)高考数学一轮考点复习8.3.2《圆的方程、直线与圆的位置关系》课件 (含解析)
相关课件
新高考数学一轮复习讲练课件8.3 第2课时 圆的方程、直线与圆的位置关系(含解析):
这是一份新高考数学一轮复习讲练课件8.3 第2课时 圆的方程、直线与圆的位置关系(含解析),共26页。
新高考数学一轮复习讲练课件8.3 第1课时 圆的方程、直线与圆的位置关系、圆与圆的位置关系(含解析):
这是一份新高考数学一轮复习讲练课件8.3 第1课时 圆的方程、直线与圆的位置关系、圆与圆的位置关系(含解析),共24页。
(新高考)高考数学一轮考点复习8.3.1《圆的方程、直线与圆的位置关系、圆与圆的位置关系》课件 (含解析):
这是一份(新高考)高考数学一轮考点复习8.3.1《圆的方程、直线与圆的位置关系、圆与圆的位置关系》课件 (含解析)

