







还剩37页未读,
继续阅读
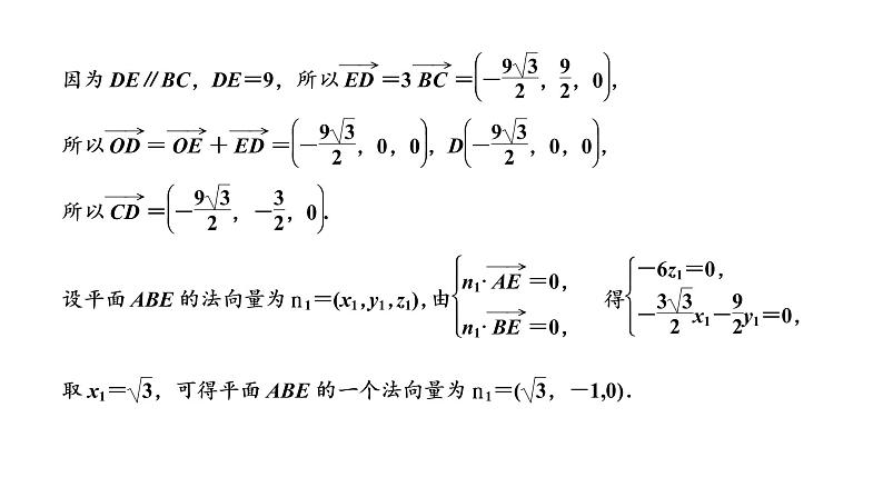
(新高考)高考数学一轮考点复习7.5.3《立体几何的综合性问题》课件 (含解析)
展开
这是一份(新高考)高考数学一轮考点复习7.5.3《立体几何的综合性问题》课件 (含解析)
相关课件
新高考数学一轮复习讲练课件7.5 第3课时 立体几何的综合性问题(含解析):
这是一份新高考数学一轮复习讲练课件7.5 第3课时 立体几何的综合性问题(含解析),共45页。
(新高考)高考数学一轮考点复习10.6《概率与统计的综合问题》课件 (含解析):
这是一份(新高考)高考数学一轮考点复习10.6《概率与统计的综合问题》课件 (含解析)
(新高考)高考数学一轮考点复习8.3.3《与圆有关的综合问题》课件 (含解析):
这是一份(新高考)高考数学一轮考点复习8.3.3《与圆有关的综合问题》课件 (含解析)