还剩47页未读,
继续阅读
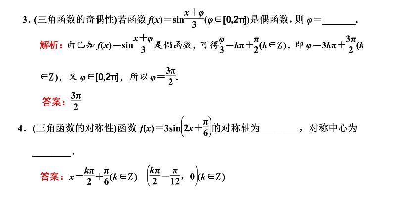
(新高考)高考数学一轮考点复习4.3《三角函数的图象与性质》课件 (含解析)
展开
这是一份(新高考)高考数学一轮考点复习4.3《三角函数的图象与性质》课件 (含解析)
相关课件
新高考数学一轮复习讲练课件4.3 三角函数的图象与性质(含解析):
这是一份新高考数学一轮复习讲练课件4.3 三角函数的图象与性质(含解析),共55页。
(新高考)高考数学一轮考点复习9.1《统计》课件 (含解析):
这是一份(新高考)高考数学一轮考点复习9.1《统计》课件 (含解析)
(新高考)高考数学一轮考点复习8.4《椭圆》课件 (含解析):
这是一份(新高考)高考数学一轮考点复习8.4《椭圆》课件 (含解析)

