







还剩52页未读,
继续阅读
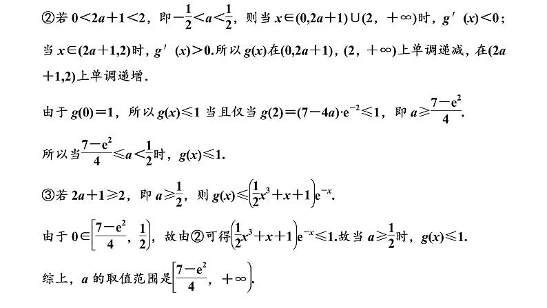
(新高考)高考数学一轮考点复习3.2.2《函数与导数”大题常考的4类题型》课件 (含解析)
展开
这是一份(新高考)高考数学一轮考点复习3.2.2《函数与导数”大题常考的4类题型》课件 (含解析)
相关课件
“函数与导数”大题的常考题型探究课件PPT:
这是一份“函数与导数”大题的常考题型探究课件PPT,共60页。PPT课件主要包含了提分秘籍,◎模拟训练等内容,欢迎下载使用。
新高考数学一轮复习讲练课件8.8 第3课时 全析高考常考的6大题型(含解析):
这是一份新高考数学一轮复习讲练课件8.8 第3课时 全析高考常考的6大题型(含解析),共55页。
新高考数学一轮复习讲练课件3.2 第2课时 函数与导数”大题常考的4类题型(含解析):
这是一份新高考数学一轮复习讲练课件3.2 第2课时 函数与导数”大题常考的4类题型(含解析),共60页。