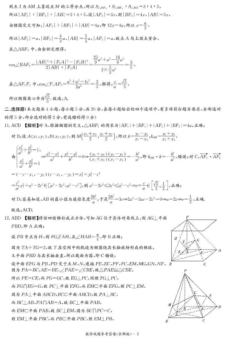
长郡中学2022-2023学年高二上学期第一次月考数学试题及参考答案
展开长郡中学2022-2023学年高二上学期第一次月考数学试题及参考答案: 这是一份长郡中学2022-2023学年高二上学期第一次月考数学试题及参考答案,文件包含长郡中学2022-2023学年高二上学期第一次月考数学试题pdf、长郡中学2022-2023学年高二上学期第一次月考数学试题答案pdf等2份试卷配套教学资源,其中试卷共13页, 欢迎下载使用。
长郡中学2022-2023学年高二上学期第一次月考数学试题及参考答案: 这是一份长郡中学2022-2023学年高二上学期第一次月考数学试题及参考答案,文件包含长郡中学2022-2023学年高二上学期第一次月考数学试题pdf、长郡中学2022-2023学年高二上学期第一次月考数学试题答案pdf等2份试卷配套教学资源,其中试卷共13页, 欢迎下载使用。
长郡中学2022-2023学年高二上学期第一次月考数学试题及参考答案: 这是一份长郡中学2022-2023学年高二上学期第一次月考数学试题及参考答案

