还剩8页未读,
继续阅读
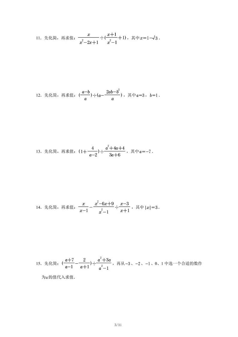
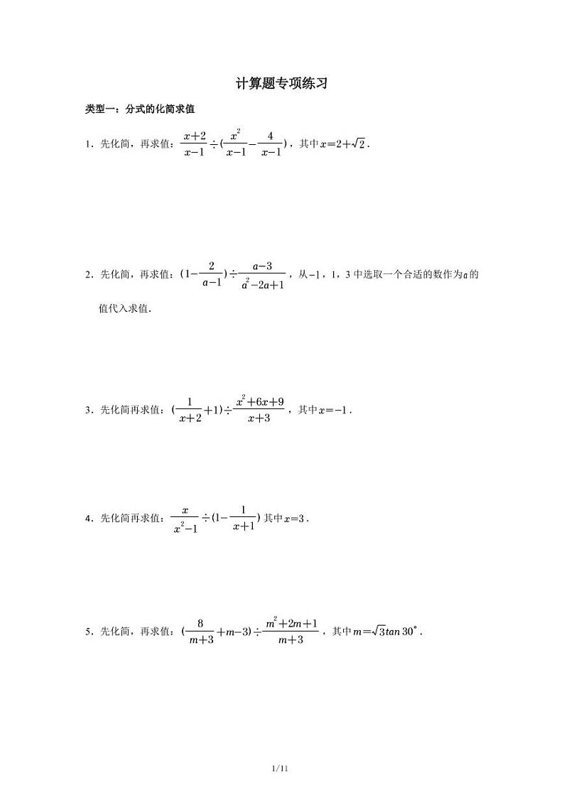
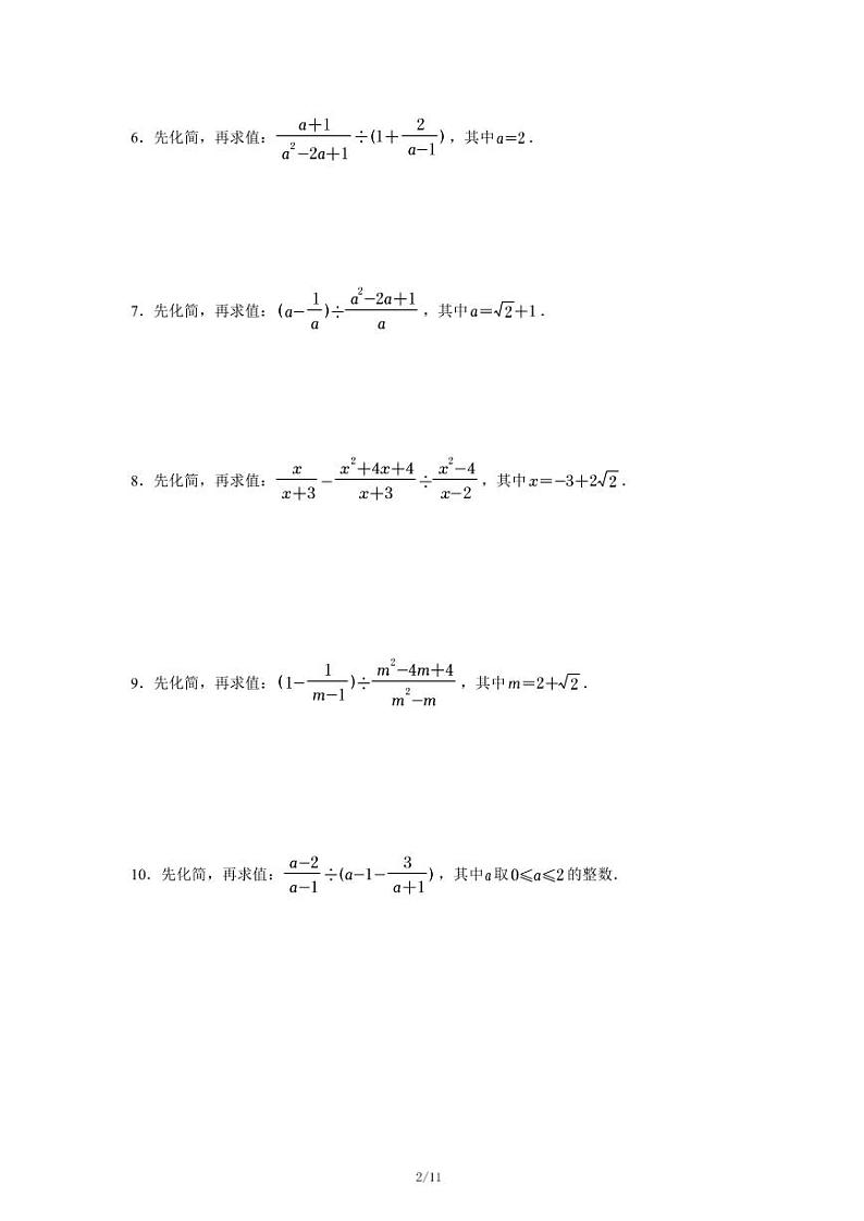
中考计算题专项练习
展开
这是一份中考计算题专项练习,共11页。
相关试卷
中考数学三轮冲刺《计算题专项》冲刺练习15(含答案):
这是一份中考数学三轮冲刺《计算题专项》冲刺练习15(含答案),共7页。试卷主要包含了25×3-[4÷)2-99]等内容,欢迎下载使用。
中考数学三轮冲刺《计算题专项》冲刺练习14(含答案):
这是一份中考数学三轮冲刺《计算题专项》冲刺练习14(含答案),共7页。
中考数学三轮冲刺《计算题专项》冲刺练习13(含答案):
这是一份中考数学三轮冲刺《计算题专项》冲刺练习13(含答案),共7页。试卷主要包含了75)×2027等内容,欢迎下载使用。

