- 5.5.1 第2课时 两角和与差的正弦、余弦、正切公式(课件)-2022-2023学年高一数学精品同步课堂(人教A版2019必修第一册) 课件 0 次下载
- 5.5.1 第3课时 二倍角的正弦、余弦、正切公式(课件)-2022-2023学年高一数学精品同步课堂(人教A版2019必修第一册) 课件 0 次下载
- 5.6 函数y=Asin(ωx+φ)(课件)-2022-2023学年高一数学精品同步课堂(人教A版2019必修第一册) 课件 0 次下载
- 5.7 三角函数的应用(课件)-2022-2023学年高一数学精品同步课堂(人教A版2019必修第一册) 课件 0 次下载
- 5.1.2 弧度制(分层练习)-2022-2023学年高一数学同步精品课堂(人教A版2019必修第一册) 试卷 1 次下载
高中数学人教A版 (2019)必修 第一册5.3 诱导公式优质ppt课件
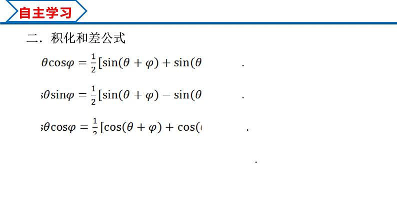
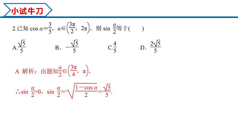
展开题型一 应用半角公式求值
跟踪训练1
题型二 三角函数化简与证明
跟踪训练2
题型三 辅助角公式的应用
跟踪训练3
人教A版 (2019)必修 第一册5.5 三角恒等变换图片ppt课件: 这是一份人教A版 (2019)必修 第一册5.5 三角恒等变换图片ppt课件,共22页。PPT课件主要包含了新知初探·课前预习,要点一半角公式❶,-2sin2α,cos2α-1,答案A,题型探究·课堂解透等内容,欢迎下载使用。
高中人教A版 (2019)5.5 三角恒等变换获奖ppt课件: 这是一份高中人教A版 (2019)5.5 三角恒等变换获奖ppt课件,共27页。PPT课件主要包含了答案√×√等内容,欢迎下载使用。
高中数学人教A版 (2019)必修 第一册5.5 三角恒等变换图文ppt课件: 这是一份高中数学人教A版 (2019)必修 第一册5.5 三角恒等变换图文ppt课件,共27页。PPT课件主要包含了答案√×√等内容,欢迎下载使用。

