


还剩105页未读,
继续阅读
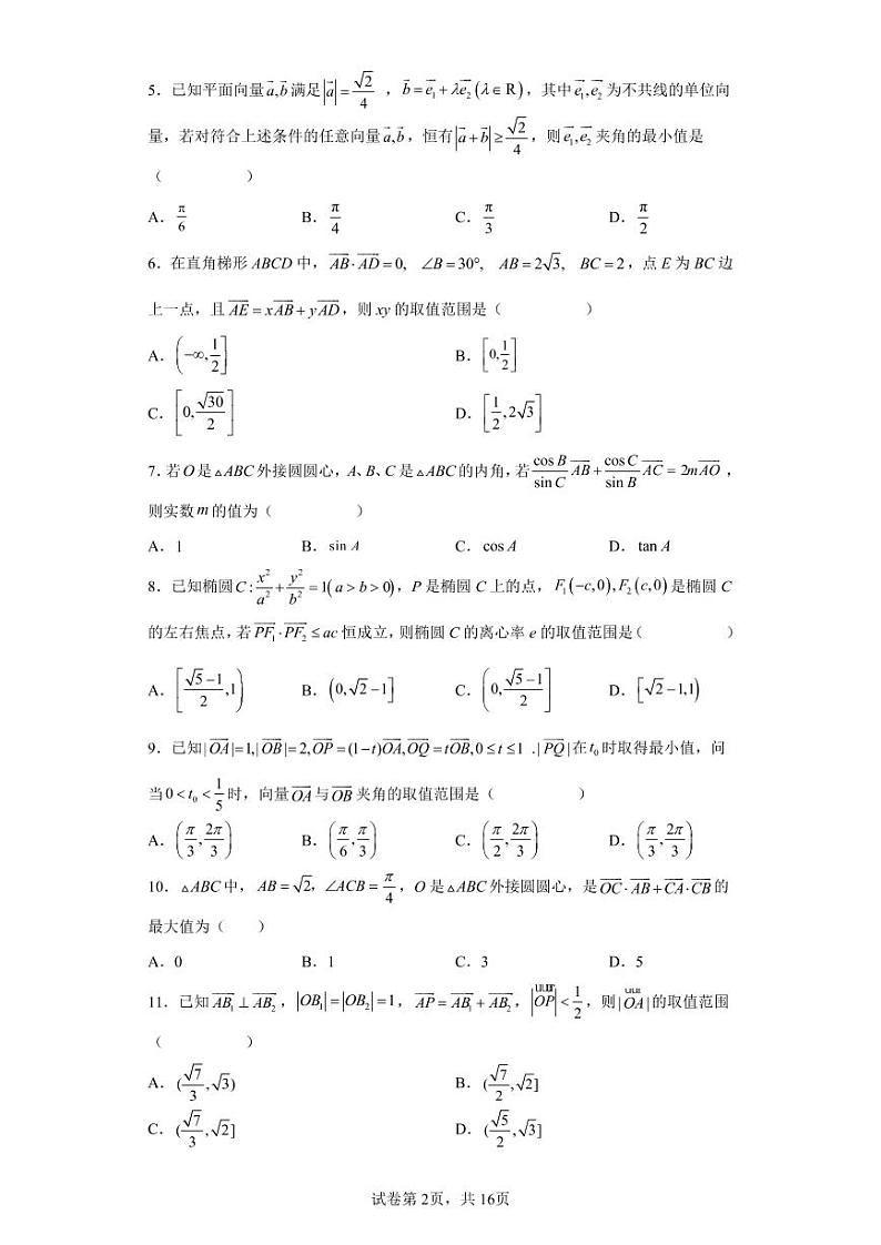
高三数学总复习——向量压轴题
展开
这是一份高三数学总复习——向量压轴题,共108页。
相关试卷
专题20 立体几何与空间向量(解答题压轴题) 高考数学压轴题(新高考版):
这是一份专题20 立体几何与空间向量(解答题压轴题) 高考数学压轴题(新高考版),文件包含专题20立体几何与空间向量解答题压轴题教师版docx、专题20立体几何与空间向量解答题压轴题学生版docx等2份试卷配套教学资源,其中试卷共83页, 欢迎下载使用。
专题19 立体几何与空间向量(选填压轴题) 高考数学压轴题(新高考版):
这是一份专题19 立体几何与空间向量(选填压轴题) 高考数学压轴题(新高考版),文件包含专题19立体几何与空间向量选填压轴题教师版docx、专题19立体几何与空间向量选填压轴题学生版docx等2份试卷配套教学资源,其中试卷共45页, 欢迎下载使用。
专题20 立体几何与空间向量(解答题压轴题)(学生+教师版)--310高考数学压轴题(新高考版):
这是一份专题20 立体几何与空间向量(解答题压轴题)(学生+教师版)--310高考数学压轴题(新高考版),文件包含专题20立体几何与空间向量解答题压轴题教师版docx、专题20立体几何与空间向量解答题压轴题学生版docx等2份试卷配套教学资源,其中试卷共85页, 欢迎下载使用。