


所属成套资源:2023届高考数学一轮复习一线名师精选卷(按考点)(55份)
- 高考第19讲正态分布强化专练 试卷 1 次下载
- 高考第一轮复习第20讲 三角变换及综合应用 试卷 试卷 3 次下载
- 高考第22讲 三角函数高考选择填空压轴题专练 试卷 3 次下载
- 高考第一轮复习第23讲 平面向量综合问题 试卷 1 次下载
- 高考第24讲以三角函数与解三角形为背景的取值范围问题专题练习 试卷 2 次下载
高考第一轮复习第21讲 三角函数的图象及性质
展开
这是一份高考第一轮复习第21讲 三角函数的图象及性质,共16页。试卷主要包含了选择题,填空题,解答题等内容,欢迎下载使用。
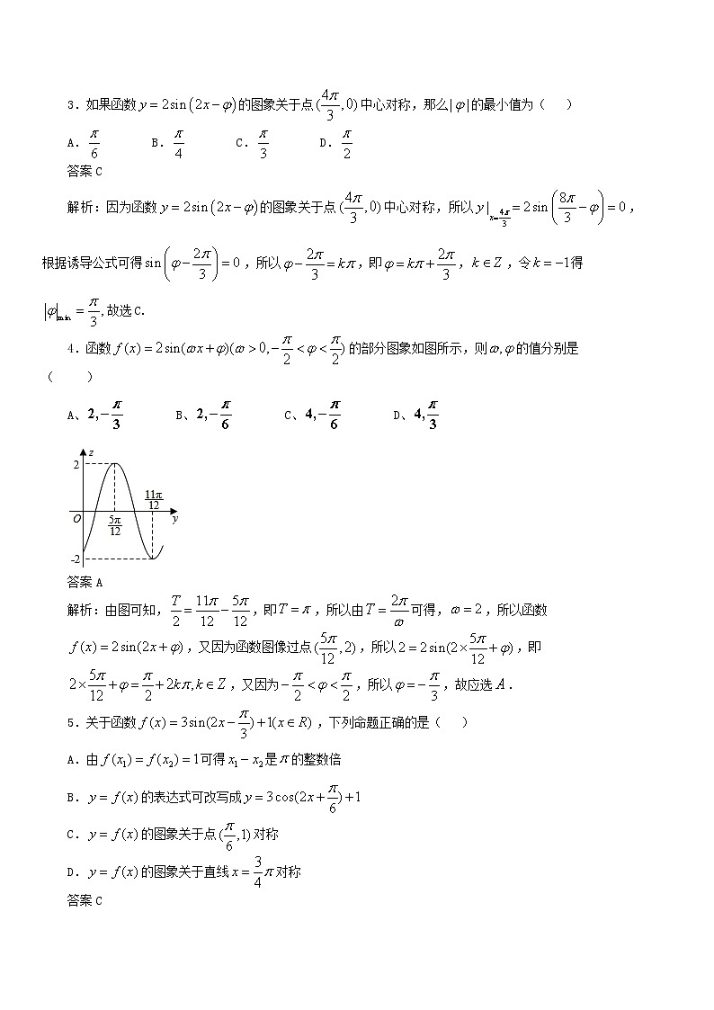
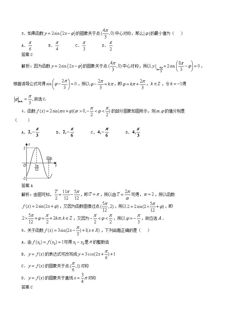
第二十一讲 三角函数的图象及性质A组一、选择题1.(2017年高考全国1卷理)已知曲线C1:y=cos x,C2:y=sin (2x+),则下面结论正确的是A. 把C1上各点的横坐标伸长到原来的2倍,纵坐标不变,再把得到的曲线向右平移个单位长度,得到曲线C2B. 把C1上各点的横坐标伸长到原来的2倍,纵坐标不变,再把得到的曲线向左平移个单位长度,得到曲线C2C. 把C1上各点的横坐标缩短到原来的倍,纵坐标不变,再把得到的曲线向右平移个单位长度,得到曲线C2D. 把C1上各点的横坐标缩短到原来的倍,纵坐标不变,再把得到的曲线向左平移个单位长度,得到曲线C2【答案】D【解析】因为函数名不同,所以先将利用诱导公式转化成与相同的函数名,则,则由上各点的横坐标缩短到原来的倍变为,再将曲线向左平移个单位长度得到,故选D.2.函数的部分图象如图所示,的值为( )A.0 B. C. D.答案A解析:由图知,,所以,所以.由正弦函数的对称性知,所以=,故选A.3.如果函数的图象关于点中心对称,那么的最小值为( )A. B. C. D.答案C解析:因为函数的图象关于点中心对称,所以,根据诱导公式可得,所以,即,,令得故选C.4.函数的部分图象如图所示,则的值分别是( )A、 B、 C、 D、答案A解析:由图可知,,即,所以由可得,,所以函数,又因为函数图像过点,所以,即,又因为,所以,故应选.5.关于函数,下列命题正确的是( )A.由可得是的整数倍B.的表达式可改写成C.的图象关于点对称D.的图象关于直线对称答案C解析:A中,令,则,即,所以若有是的整数倍,故A不正确;B中,==,故B不正确;C中,令,得(),所以函数的图象的对称点为,故C正确;D中令=()可得,所以函数图象的对称轴为直线,故D不正确,故选C.二、填空题6.如图,已知分别是函数在轴右侧图象上的第一个最高点和第一个最低点,且则该函数的周期是 .答案解析:由题意可设,又所以7.函数的部分图象如图所示,则函数解析式 .答案解析:由图可知,所以,所以.把代入,得,结合,得,所以.三、解答题8.设函数.(1)若,求的单调递增区间;(2)在锐角中,角的对边分别为,若,求面积的最大值.解析:(1)由题意可知,,由,所以的单调递增区间是和.(2)由,可得,由题意知为锐角,所以,由余弦定理,可得:,即,且当时等号成立,因此,所以面积的最大值为.9.设函数,其中,,若且图像的两条对称轴间的最近距离是.(1)求函数的解析式;(2)若是△的三个内角,且,求的取值范围..解析:(1)由条件,.∵,∴,∴,∴.又图象的两条对称轴间的最近距离是,所以周期为,∴,∴.(2)由,知,∵是的内角,∴,∴,∴,∴,从而.由,∵,∴,∴,即.10.已知函数.(Ⅰ)当时,求函数取得最大值和最小值时的值;(Ⅱ)设锐角的内角的对应边分别是,且,若向量与向量平行,求的值.解析:(Ⅰ),∵,∴,∴当时,即,得,取得最大值;当时,即,得,取得最小值;(Ⅱ)向量与向量平行,所以,根据正弦定理的推论,得,,由余弦定理经检验符合三角形要求,的值为.11.已知向量,,设函数.(Ⅰ)求函数取得最大值时取值的集合;(Ⅱ)设,,为锐角三角形的三个内角.若,,求 的值。解析:(Ⅰ) 要使取得最大值,须满足取得最小值. 当取得最大值时,取值的集合为(Ⅱ)由题意,得.,B组一、选择题1.将函数的图象沿轴向左平移个单位后,得到一个偶函数的图象,则的最小值为( )A. B. C. D.答案C解析:将函数的图象沿轴向左平移个单位后,得到一个偶函数的图象,可得,求得的最小值为,故选:B.2.如图是函数图像的一部分,对不同的,若,有,则( )A.在上是减函数 B.在上是减函数 C.在上是增函数 D.在上是增函数答案C解析:由图可知,又由,知函数的图象关于直线对称,所以.由五点法作图,得,,所以,则=,即,所以,所以,在上,,所以在上是增函数,故选C.3.在中,,若函数在上为单调递减函数,则下列命题正确的是( )A. B. C. D.答案D解析:由题在中,由,可得 从而可得,即,根据题意函数在上为单调递减函数,故,选D4.为了得到函数的图象,可以将函数的图象( )A.向右平移个单位长度 B.向右平移个单位长度 C.向左平移个单位长度 D.向左平移个单位长度答案B解析:,将函数的图象向右平移个单位长度.故选B.二、填空题5.设函数,的值域是,则实数的取值范围是 .答案解析:因为,所以,而函数的值域为,所以,所以,即实数的取值范围是.6.已知函数,将图象向右平移个单位长度得到函数的图象,若对任意,都有成立,则的值为 .答案2解析:(其中,).将图象向右平移个单位长度得,所以,,解得.三、解答题7.已知函数.(Ⅰ)求函数的单调递减区间;(Ⅱ)设时,函数的最小值是,求的最大值.解析:(Ⅰ)令,得,的单调递减区间 (Ⅱ) ,令 得,所以8.已知函数.(1)求函数的最小正周期和单调递增区间;(2)当时,若恒成立,求的取值范围.解析:(1) 函数最小正周期是, 解得,函数单调递增区间为(2),∴的最小值,由恒成立,得恒成立.所以的取值范围为9.已知函数,的部分图象如图所示. (1)求函数的解析式;(2)求函数的单调递增区间.解析:(1)由题设图象知,周期因为点在函数图象上,所以 即又从而,即. 又点在函数图象上,所以 故函数的解析式为.(2) ,由得 的单调递增区间是 10.已知函数(1)求的最小正周期和最大值;(2)讨论在上的单调性.解析:(1),因此的最小正周期为,最大值为.(2)当时,,从而当,即时,单调递增,当,即时,单调递减.综上可知,在上单调递增,在上单调递减.C组一、 选择题1.如图所示的是函数和函数的部分图象,则函数的解析式是( )A. B.C. D.答案C.解析:由题意得,,故排除B,D;又∵,故排除A,故选C.2.将函数的图象沿轴向右平移个单位后,得到一个偶函数的图象,则的取值不可能是( )A. B. C. D.答案C解析:,沿轴向右平移个单位后得到为偶函数,因此,从而选C.3.为了得到函数的图象,只需把函数图象上的所有点( )A.横坐标缩短到原来的倍,纵坐标不变B.横坐标伸长到原来的倍,纵坐标不变C.纵坐标缩短到原来的倍,横坐标不变D.纵坐标缩短到原来的倍,横坐标不变答案A解析:这是一个三角函数的图象变换问题,一般的为了得到函数的图象,只需把函数的图象上所有点的横坐标伸长()或缩短()到原来的倍(纵坐标不变)即可,因此为了得到函数的图象,只需把函数图象上的所有点横坐标缩短到原来的倍,纵坐标不变,故选A.4.函数的图像与函数的图像( )A.有相同的对称轴但无相同的对称中心B.有相同的对称中心但无相同的对称轴C.既有相同的对称轴也有相同的对称中心D.既无相同的对称中心也无相同的对称轴答案A解析:函数的对称轴为函数的对称轴为;当时,二者有相同的对称轴;同理,由三角函数的性质可得函数的对称中心为,函数的对称中心为,二者没有相同的对称中心二、 填空题5.函数的最小正周期是___________.答案解析:因为函数,所以最小正周期是,故答案为.6.已知函数的图象关于直线对称,则的值为_______答案解析:方法一:可以利用辅角公式变形为的形式,但是由于系数含参,所以辅角只能用一个抽象的代替:因为关于直线对称, 方法二:本题还可以利用特殊值法求出的值,再进行验证即可:因为关于直线对称,所以代入一组特殊值:,再代入验证,其一条对称轴为,符合题意三、 解答题7.设函数,其中. (I)若是函数的一条对称轴,求函数周期; (II)若函数在区间上为增函数,求的最大值.解析:由题意得,.(I)因为是函数的一条对称轴,所以,即. 又,所以.所以函数,周期, (II)函数的单调递增区间为,整理得.依题意函数在区间上为增函数,故取,则有即,所以, 又,所以的最大值为.8.已知函数经过点,且在区间上为单调函数.(Ⅰ)求的值;(Ⅱ)设,求数列的前项和.解析:(Ⅰ)由题可得,解得,,,.(Ⅱ)∵,数列的周期为.前三项依次为,∴,∴. 9.设函数. (1)写出的最大值,最小值,最小正周期;(2)试求正整数的最小值,使得当自变量在任意两相邻整数间(包括整数本身)变化时,函数至少有一个值是,一个值是. 解析:(1) (2)由题意知在相邻两整数之间(包括整数本身)至少有一个和一个,最小正周期,则,,又为正整数,正整数的最小值为.10.已知函数 (其中),对任意实数,在区间上要使函数值出现的次数不少于次且不多于次,求值.解析:由,得.∵函数在每个周期内出现函数值为的有两次,而区间长度为,为了使长度为的区间内出现函数值不少于次且不多于次,必须使不小于个周期长度且不大于个周期长度,即,且..又,故
相关试卷
这是一份(课标全国版)高考数学第一轮复习讲练测 第17讲 三角函数的图象与性质(讲+练)原卷版+解析,文件包含课标全国版高考数学第一轮复习讲练测第17讲三角函数的图象与性质讲原卷版+解析docx、课标全国版高考数学第一轮复习讲练测第17讲三角函数的图象与性质练原卷版+解析docx等2份试卷配套教学资源,其中试卷共26页, 欢迎下载使用。
这是一份2024高考数学第一轮复习:4.3 三角函数的图象与性质(解析版),共24页。试卷主要包含了辅助角公式,二倍角的正弦、余弦、正切公式等内容,欢迎下载使用。
这是一份高中数学人教A版 (2019)必修 第一册5.4 三角函数的图象与性质测试题,共3页。