




所属成套资源:【重点题型汇总】2022-2023学年人七年数学上册重要考点精讲精练(教师版+原卷版)
- 第3章 一元一次方程 单元检测-【重点题型汇总】2022-2023学年七年级数学上册重要考点精讲精练(人教版) 试卷 0 次下载
- 七年级上期中测试卷(A)-【重点题型汇总】2022-2023学年七年级数学上册重要考点精讲精练(人教版) 试卷 0 次下载
- 七年级上期中测试卷(B)-【重点题型汇总】2022-2023学年七年级数学上册重要考点精讲精练(人教版) 试卷 0 次下载
- 期中期末考前基础练练练-有理数(40题)-【重点题型汇总】2022-2023学年七年级数学上册重要考点精讲精练(人教版) 试卷 0 次下载
- 期中期末考前基础练练练-整式的加减(40题)-【重点题型汇总】2022-2023学年七年级数学上册重要考点精讲精练(人教版) 试卷 0 次下载
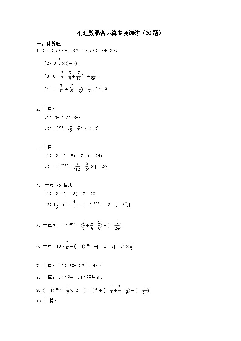
有理数混合运算专项训练(30题)-【重点题型汇总】2022-2023学年七年级数学上学期重要考点精讲精练(人教版)
展开
这是一份有理数混合运算专项训练(30题)-【重点题型汇总】2022-2023学年七年级数学上学期重要考点精讲精练(人教版),文件包含有理数混合运算专项训练30题-重点题型汇总2022-2023学年七年级数学上学期重要考点精讲精练人教版解析版docx、有理数混合运算专项训练30题-重点题型汇总2022-2023学年七年级数学上学期重要考点精讲精练人教版原卷版docx等2份试卷配套教学资源,其中试卷共16页, 欢迎下载使用。
1.(1)(﹣5.3)+(﹣3.2)﹣(﹣5.3)﹣(+4.8).
(2)91718×(-9).
(3)(-34-59+712)÷136.
(4)|-79|÷(23-15)-13×(﹣4)2.
【答案】(1)解:(﹣5.3)+(﹣3.2)﹣(﹣5.3)﹣(+4.8)
=(﹣5.3)+(﹣3.2)+5.3+(﹣4.8)
=(﹣5.3+5.3)+(﹣3.2﹣4.8)
=0+(﹣8)
=﹣8;
(2)解:91718×(-9)
=(10﹣118)×(﹣9)
=﹣10×9+118×9
=﹣90+0.5
=﹣89.5
(3)解:(-34-59+712)÷136
=(-34-59+712)×36
=﹣34×36﹣59×36+712×36
=﹣27﹣20+21
=﹣26;
(4)解:|-79|÷(23-15)-13×(﹣4)2
=79÷715﹣13×16
=79×157﹣13×16
=53-163
=﹣113.
【解析】【分析】(1)先根据减去一个数等于加上这个数的相反数,将减法转变加法,然后利用加法的交换律和结合律将相加等于整数的加数结合在一起,最后再根据有理数的加减法法则进行计算;
(2)由于第一个因数接近整数10,故原式可变形为(10-118)×(-9),然后利用乘法分配律进行计算;
(3)首先根据除以一个数等于乘以这个数的倒数,将除法化为乘法,再利用乘法分配律进行计算;
(4)首先计算绝对值、括号中式子的结果及乘方,再根据除以一个数等于乘以这个数的倒数将除法转变为乘法,接着计算乘法,最后计算减法即可.
2.计算:
(1)-2+(-7)-3+8
(2)-12021+(12-13)×|-6|÷22
【答案】(1)原式=-2-7-3+8=-4;
(2)原式=-1+ 16×6÷4=-1+ 14=- 34.
【解析】【分析】(1)根据有理数加减混合运算法则进行计算即可;
(2)先计算绝对值和乘方以及括号里面的减法,再计算乘除法,最后计算加减法,即可得出答案.
3.计算
(1)12+(-5)-7-(-24)
(2)-12020-(712-56)×|-24|
【答案】(1)解:12+(-5)-7-(-24)
解:原式 =12-5-7+24
=12+24-5-7
=36-12
=24
(2)解:-12020-( 712 - 56 )× |-24|
解:原式=-1-( 712 - 56 )×24
=-1-14+20
=20-15
=5
【解析】【分析】(1)利用有理数的加减混合运算计算即可;
(2)先计算乘方与绝对值,再利用乘法分配律进行计算,最后计算加减即可.
4. 计算下列各式
(1)12-(-18)+7-20
(2)115×(1-49)÷(-1)2021-[2-(-32)]
【答案】(1)解:原式=12+18+7-20=17
(2)解:原式=65×59÷(-1)-(2+9)=-23-11=-353
【解析】【分析】(1)根据有理数加减混合运算顺序和运算法则进行计算即可;
(2)根据有理数混合运算顺序,先计算括号里面的和乘方,再计算乘除法,最后计算加减法即可.
5.计算题:-12021-(23+14-56)÷(-124).
【答案】解:-12021-(23+14-56)÷(-124)
=-1-(23+14-56)×(-24)
=-1-(-16-6+20)
=-1+2
=1.
【解析】【分析】先计算乘方、除法,再计算加减即可.
6.计算:10×25+(-1)2021+|-1-2|-32×13.
【答案】解:解:原式=4+(-1)+3-9×13=4-1+3-3=3;
【解析】【分析】先计算乘方,再计算乘法,最后计算加法即可。
7.计算:(﹣1)11﹣8÷(﹣2)+4×|﹣5|.
【答案】解:(-1)11-8÷(-2)+4×|-5|
=-1+8×12+4×5
=-1+4+20
=23.
【解析】【分析】先算乘方、绝对值,再计算乘除,最后计算加减即可.
8.计算:(﹣2)3÷4﹣(﹣1)2021+|﹣6|.
【答案】解:原式=(-8)÷4-(-1)+6,
=-2+1+6,
=5.
【解析】【分析】先计算乘方,再计算除法,最后计算加减法即可。
9.(-1)2022-17×|2-(-3)2|+(-13+34-16)÷(-124)
【答案】解:原式 =1-17×|2-9|+(-13+34-16)×(-24)
= 1-17×|-7|+(-13)×(-24)+34×(-24)+(-16)×(-24)
=1-1+8-18+4
=-6
【解析】【分析】首先计算乘方,然后将除法化为乘法,再根据乘法分配律去掉括号,接下来计算乘法,再计算加减法即可.
10.计算:
(1)-12-2+(-3)× |-4| ;
(2)12×(112-16-14) .
【答案】(1)解:-12-2+(-3)× |-4|
=-1-2+(-3)×4
=-1-2+(-12)
=-15;
(2)解: 12×(112-16-14)
= 12×112-12×16-12×14
=1-2-3
=-4.
【解析】【分析】(1)根据有理数的乘方、绝对值的性质可得原式=-1-2+(-3)×4,然后计算乘法,再计算加减法;
(2)根据乘法分配律可得原式=12×112-12×16-12×14,然后计算乘法,再计算减法即可.
11.计算: (-1)2021-18÷(-3)2×|-3-1|
【答案】解:原式 =-1-18÷9×4
=-1-8
=-9 .
【解析】【分析】根据有理数的乘方、绝对值的性质先分别计算,然后计算乘除法,最后计算减法即可.
12.计算:(-2)3÷4+6×|13-1|-12×14.
【答案】解:原式=-8÷4+6×23-7=-2+4-7=-5.
【解析】【分析】先算乘方运算,同时进行绝对值里的运算,再算乘除法运算,然后利用有理数的加减法法则进行计算.
13.计算:
(1)18+(-38)-(-12)+(-34) ;
(2)(-3)×(-4)+16÷(-2)3×(-1)2022-|-5| .
【答案】(1)解: 18+(-38)-(-12)+(-34)
=18-38+12-34
=-14+12-34
=14-34
=-12 ;
(2)解: (-3)×(-4)+16÷(-2)3×(-1)2022-|-5|
=12+16÷(-8)×1-5
=12-2-5
=5 .
【解析】【分析】(1)首先去括号,然后结合分式的加减法法则进行计算;
(2)首先计算乘方,再计算乘除法,最后计算减法即可.
14.计算:
(1)计算: (-12+23-14)×|-24|
(2)-32+3×(-1)2016-(38+16-34)×(-2)2
【答案】(1)解: (-12+23-14)×|-24|
=(-12+23-14)×24
=-12×24+23×24-14×24
=-12+16-6
=-2
(2)解: -32+3×(-1)2016-(38+16-34)×(-2)2
=-9+3×1-(38+16-34)×4
=-9+3×1-(38×4+16×4-34×4)
=-9+3-(32+23-3)
=-9+3-32+3-23
=-316
【解析】【分析】(1)直接根据有理数的乘法分配律进行计算;
(2)首先计算乘方,然后结合有理数的乘法分配律进行计算.
15.计算题:
(1)│-56÷28│+(-2)×5;
(2)( 13 - 45 + 1730 )×(-30)-12020
【答案】(1)解:|﹣56÷28|+(﹣2)×5
= |-2|+(-10)
=2+(﹣10)
=﹣8
(2)解:( 13 - 45 + 1730 )×(-30)-12020
= 13 ×(﹣30)﹣ 45 ×(﹣30)+ 1730 ×(﹣30)﹣1
=﹣10+24+(﹣17)-1
=14+(﹣17)﹣1
=﹣4
【解析】【分析】(1)首先计算乘除法运算,然后根据绝对值的性质化简,最后根据有理数的加法法则进行计算;
(2)根据有理数的乘法分配律去括号,同时根据乘方法则计算乘方,然后计算乘法,再计算加减法即可.
16.计算:
(1)﹣12﹣(﹣5)+(﹣11)﹣18;
(2)(﹣22)+(﹣2﹣2)+|﹣3|×(﹣1)2022.
【答案】(1)解:-12-(-5)+(-11)-18,
=-12+5-11-18,
=-36;
(2)解:(-22)+(-2-2)+|-3|×(-1)2022,
=-4+(-4)+3×1,
=-8+3,
=-5.
【解析】【分析】(1)利用有理数的加减法则计算求解即可;
(2)利用有理数的乘方,加减乘除法则计算求解即可。
17.计算:-24+(-4)×[(-1)2021+(-32)2]
【答案】解:-24+(-4)×[(-1)2021+(-32)2]
=-16+(-4)×(-1+94)
=-16+(-4)×54
=-16+(-5)=-21
【解析】【分析】先计算乘方,再计算乘除,最后计算加减即可。
18.计算下列各式
(1)12-(-18)+7-20
(2)115×(1-49)÷(-1)2021-[2-(-32)]
【答案】(1)解:原式=12+18+7-20=17
(2)解:原式=65×59÷(-1)-(2+9)=-23-11=-353
【解析】【分析】(1)利用有理数的加减法则计算求解即可;
(2)利用有理数的乘方,加减乘除法则计算求解即可。
19.计算
(1)(﹣49)﹣(+91)﹣(﹣5)+(﹣9);
(2)(﹣4)÷(-43)×3+(﹣1)2022.
【答案】(1)解:(﹣49)﹣(+91)﹣(﹣5)+(﹣9)
=-49-91+5-9
=-144
(2)解:(﹣4)÷(-43)×3+(﹣1)2022
=(﹣4)÷(-43)×3+1
=4×34×3+1
=9+1
=10
【解析】【分析】(1)利用有理数的加减法则计算求解即可;
(2)利用有理数的乘方,加减乘除法则计算求解即可。
20.计算:-12020+(π+2021)0-|32-11|+(-2)3
【答案】解:-12020+(π+2021)0-|32-11|+(-2)3,
=-1+1-2-8 ,
=-10 .
【解析】【分析】先计算乘方,再计算绝对值,然后计算加减即可。
21.计算:
(1)-22×14-(-12)×42 ;
(2)3×(-2)-|-8|÷(-1)+(-1)2020.
【答案】(1)解:-22×14-(-12)×42
=-4×14-(-12)×16
=-1+8
=7;
(2)解:3×(-2)-|-8|÷(-1)+(-1)2020
=-6-8÷(-1)+1
=-6+8+1
=3.
【解析】【分析】(1)先计算乘方,再计算乘法,最后计算减法即可;
(2)先计算乘方,再计算乘除,最后计算加减法即可。
22.计算:﹣22+(﹣4)÷2×12-|﹣3|.
【答案】解:原式=-4-2×12-3
=-4-1-3
=-8
【解析】【分析】利用有理数的乘方,加减乘除法则计算求解即可。
23.计算: (-1)2022×3-23+(-14)2+|-125| .
【答案】解: (-1)2022×3-23+(-14)2+|-125|
= 1×3-8+116+132
= -5+116+132
= -16032+232+132
= -15732 .
【解析】【分析】根据有理数的乘方、绝对值的性质可得原式=1×3-8+116+132,据此计算.
24.计算:
(1)﹣10﹣|﹣8|÷(﹣2)×(﹣12);
(2)(﹣34+16﹣38)×12+(﹣1)2021.
【答案】(1)解:-10-|-8|÷(-2)×(-12),
=-10-8÷(-2)×(-12),
=-10-(-4)×(-12),
=-10-2,
=-12
(2)解:(-34+16-38)×12+(-1)2021,
=-34×12+16×12-38×12-1,
=-9+2-92-1,
=-252
【解析】【分析】(1)利用有理数的加减乘除法则计算求解即可;
(2)利用有理数的乘方,乘法运算律计算求解即可。
25.计算:
(1)25×34-(-25)×12+25×(-14);
(2)(-1)2017-(1-12)÷3×[2-(-3)2].
【答案】(1)解:原式=25×34+25×12-25×14
=25×(34+12-14)
=25×1
=25
(2)解:原式=-1-12×13×(2-9)
=-1-12×13×(-7)
=-1+76
=16
【解析】【分析】利用有理数的乘方,加减乘除法则计算求解即可。
26.计算:-42×[(-1)2018+34+(-12)3]﹣4.
【答案】解:原式=﹣16×(1+ 34-18)-4,
=﹣16×138-4,
=﹣30.
【解析】【分析】先算乘方运算,再算括号里的加减法运算,然后算乘法运算,最后利用有理数的减法法则进行计算,可求出结果.
27.计算:
(1)-12021-(-2)3-|2-(-3)2| ;
(2)26-(79-1112+16)×36
【答案】(1)解:原式=-1-(-8)-|2-9|
=-1+8-|-7|
=7-7
=0;
(2)解:原式=26-(79×36-1112×36+16×36)
=26-(28-33+6)
=26-1
=25.
【解析】【分析】(1)先算乘方,再去绝对值,最后计算加减;
(2)利用乘法分配律先计算乘法,再计算加减即可.
28.计算:
(1)(-12)-5+(-14)-(-39)
(2)-12022×(-7)+|4-9|-27÷(-3)2
【答案】(1)解: (-12)-5+(-14)-(-39)
=-12-5-14+39
=8;
(2)解: -12022×(-7)+|4-9|-27÷(-3)2
= -1×(-7)+5-27÷9
=7+5-3
=9.
【解析】【分析】(1)利用有理数的加减混合运算的计算法则求解即可;
(2)先计算有理数的乘方,再计算乘除,最后计算加减即可。
29.计算:-12×(-9)+16÷(-2)3-|-4×5|
【答案】解:-12×(-9)+16÷(-2)3-|-4×5|
=108+16÷(-8)-20
=108-2-20
=86.
【解析】【分析】先计算有理数的乘方和绝对值,再计算乘除,最后计算加减即可。
30.计算: -12021+|2-(-3)2|+32÷(-12) .
【答案】解:原式 =-1+7+(-3)=6-3=3 .
【解析】【分析】利用有理数的乘方,加减乘除法则计算求解即可。
相关试卷
这是一份第1章 有理数 单元检测-【重点题型汇总】2022-2023学年七年级数学上学期重要考点精讲精练(人教版),文件包含第1章有理数单元检测-重点题型汇总2022-2023学年七年级数学上学期重要考点精讲精练人教版解析版docx、第1章有理数单元检测-重点题型汇总2022-2023学年七年级数学上学期重要考点精讲精练人教版原卷版docx等2份试卷配套教学资源,其中试卷共11页, 欢迎下载使用。
这是一份2.3 整式的加减及化简求值专项训练(30题)-【重点题型汇总】2022-2023学年七年级数学上册重要考点精讲精练(人教版),文件包含23整式的加减及化简求值专项训练30题-重点题型汇总2022-2023学年七年级数学上册重要考点精讲精练人教版解析版docx、23整式的加减及化简求值专项训练30题-重点题型汇总2022-2023学年七年级数学上册重要考点精讲精练人教版原卷版docx等2份试卷配套教学资源,其中试卷共21页, 欢迎下载使用。
这是一份1.5有理数的乘方(讲+练)-【重点题型汇总】2022-2023学年七年级数学上册重要考点精讲精练(人教版),文件包含15有理数的乘方讲+练-重点题型汇总2022-2023学年七年级数学上册重要考点精讲精练人教版解析版docx、15有理数的乘方讲+练-重点题型汇总2022-2023学年七年级数学上册重要考点精讲精练人教版原卷版docx等2份试卷配套教学资源,其中试卷共24页, 欢迎下载使用。