第三章:妙用竞赛方法优化高考题通法
展开
第三章:妙用竞赛方法优化高考题解法
高考数学试题的命题遵循考试大纲和教学大纲,体现“基础知识全面考,主干内容重点考,热点知识反复考,冷门知识有时考”的命题原则,从解答策略上来说,高考一般淡化解题中的特殊技巧,比较注重在解题的通性通法上精心设计.但是认真分析近几年的高考试题,尤其是压轴题,我们不难发现,有很多问题又很难用“通性通法”顺利解决。因此,在平时学习中,对于学有余力的同学来说,有必要适当掌握一些“竞赛”的方法或技巧,只有这样,才能真正在高考中真正做到处变不惊,游刃有余。
高中数学竞赛中涉及的内容很多、很广,下面仅举几例:
1.运用多元均值不等式巧解高考题
多元均值不等式:设,则
【例1】(2001年高考全国卷Ⅰ 试题)已知是正整数,且。
求证:。
讲解=·
2.运用柯西(Cauchy)不等式巧解高考题
柯西不等式:设,则,当且仅当时取等号,其中是不全为零的实数。
【例2】点在直径为2的球面上,过点作两两垂直的三条弦,若其中一条弦长是另一条弦长的2倍,则这3条弦长之和的最大值是_________
讲解 以这三条弦为相邻边可构成一个长方体,设其三边长为,
则,即,由柯西不等式,
得,整理,得
【例3】(2009年高考安徽卷)给定两个长度为1的平面向量和,它们的夹角为,点在以为圆心的圆弧上移动,若,其中,则的最大值为___________
讲解 依题意,两边平方得,再配方得
构造柯西不等式
,得
当且仅当,即时,等号成立。
3.运用琴生不等式巧解高考题
琴生不等式:设在区间Ⅰ上是下凸函数,则对任意Ⅰ 及(···,),有,其中等号当且仅当时成立,若在区间Ⅰ上是上凸函数,则不等号反向。
【例4】(2005年高考全国卷Ⅰ试题)
(1)设函数,求的最小值;
(2)设正数满足,证明:
讲解 (1)构造函数,
由琴生不等式得得
即,帮当时,取得最小值;
(2)直接利用琴生不等式可得,又;
所以;
即;
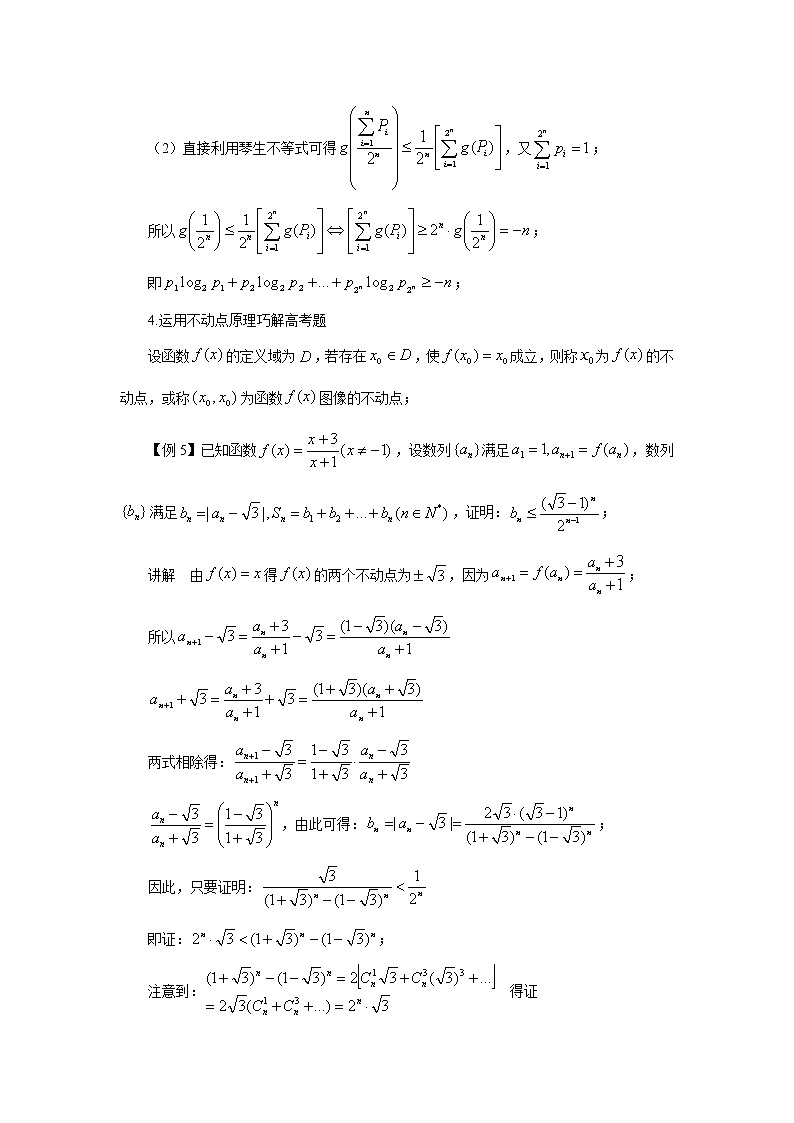
4.运用不动点原理巧解高考题
设函数的定义域为,若存在,使成立,则称为的不动点,或称为函数图像的不动点;
【例5】已知函数,设数列满足,数列满足,证明:;
讲解 由得的两个不动点为,因为;
所以
两式相除得:
,由此可得:;
因此,只要证明:
即证:;
注意到: 得证
1. 运用排序原理巧解高考题
排序原理:设有两个有序组;
则(反序和)(乱序和)(顺序和),即反序和乱序和顺序和,其中是自然数1,2,3,...,的任一排列,当且仅当或时等号成立;
【例6】有五位同学每人拿一只桶同时到一只公用的水龙头去灌水,灌水所需的时间分别为4,5,6,7,8分钟,若只能逐个地灌水,未轮到的同学需等待,灌完的同学立即离开,只要我们适当地安排这五位同学的灌水顺序,就能使每个花费的时间(包括等待时间)的总和尽可能小,但至少需要 ( )
A. 58分钟 B. 80分钟 C. 81分钟 D. 93分钟
讲解:根据排序原理,可知至少需要分钟
6.运用错位排列公式巧解高考题
错位排列公式:设是自然数的一个排列,如果满足,这样的排列叫做自然数的一个错位排列,将错位排列的个数记作,则;
【例7】将数字1,2,3,4填入标号为1,2,3,4的四个方格里,每格填入1个数字,则每个方格的标号与所填空数字均不相同的填法共有多少种:
讲解 本题即当时的错位排列情形,因此,由上述公式可得,共9种;
7.运用平面几何知识巧解高考题
对于大部分同学来说,平面几何在初中就曾接触过,但平面几何的很多有趣、重要的性质则需要在竞赛培训中才能学到;如“三角形顶点到垂心的距离等于外心到该顶点所对边距离的两倍”等;
【例8】(2005年高考全国卷2)非等边的外接圆的圆为,两条边上的高的交点为,,则实数
讲解 如图3-1所示,设为线段的中点,则由平面几何的知识“三角形顶点到垂心的距离等于外心到该顶点所对边距离的两倍”,得,所以
8.依靠拉格郎日中值定理巧解高考题
拉格朗日中值定理:设在上连续,在上可导,则存在使得;
【例9】(2006年高考陕西试卷)已知函数,且存在,使;
(1)证明: 是上的单调增函数;
(2)设,其中
证明:;
(3)证明:;
讲解 (1),所以是上的单调增函数;
(2) 由,得,又是增函数,所以;
即;又;;
综上:有;
用数学归纳法证明如下:
(1)当时,成立;
(2)假设当时,有成立,
当时,由是单调增函数,有;
因此,有;
综上,成立;
(3)由及拉格朗日中值定理,知存在一点,使得,注意到,又在上的最大值为,因此,,即;
9. 借助极坐标巧解高考题
【例10】(2007年高考重庆卷试题)如图3-2所示,中心在原点的椭圆的右焦点为,右准线的方程为:
(1) 求椭圆的方程
(2) 在椭圆上任意三个不同点使.
证明:为定值,并求此定值
讲解 (1)略
(2)由(1)知椭圆的方程为,得,
则椭圆的极坐标方程为:
同样,记椭圆的右顶点为,并设,则,,
,,
对于一个学有余力的同学来说,适当参加一些竞赛学习,掌握一些竞赛知识对高考肯定是大有裨益的,古人云“会当凌绝顶,一览众山小”。
当然,数学竞赛涉及的内容很广,从高考来看,也未必有必要全面深入,我们可以走捷径,抓大放小,何谓“大”,笔者觉得递推方法与放缩技巧在高考压轴题中频频亮相,因此,本章以此为突破,抛砖引玉。
3.1熟悉递推方法
通项是数列的“核心元素”,对于很多数列问题只要知道了通项公式,一切问题将迎刃而解。因此,我们要掌握一些递推方法求数列的通项公式。
3.1.1 累加累乘法
累加恒等式:
累乘恒等式:
累加累乘法能够解决以下类型一与类型二所给的递推数列通项问题。
类型一:已知,求
分析 累加法:
类型二:已知,求
分析 累乘法:
【例1】在数列中,,,求通项公式
讲解 原递等式可化为:,
则,,
,,,
逐项相加得:。故
【例2】设数列是首项为1的正项数列,且,求数列的通项公式。
讲解 原递推式可化为:
∵,
则,,,,。逐项相乘得:,即
3.1.2 待定系数法
运用待定系数法可解决以下类型三所给的递推数列问题。
类型三:已知,求通项。
分析 令,再解出,从而构造出等比数列,由等比数列通项公式求得。
类型四:已知,(为非零常数),求通项。
分析 1 原递推式可化为 的形式,利用待定系数法求得系数 。
分析 2 原递推式可化为 的形式,令,从而有,转化为类型一的形式。
分析 3 原递推式可化为,令,转化为类型三。
类型五:已知 ,(p、q为非零常数),求通项 。
分析 1 原递推式可化为 的形式,利用待定系数法求得系数 。
分析 2 运用特征根法。考虑特征方程 ,设该方程的两个实根为 ,,则
(1) 当 时,可设 ;
(2) 当 时,可设 ,其中是由初始值 确定的常数。
如果特征根 为共轭复数, ,,则通项可设为 。
类型六:已知 ,(A、B、C为非零常数),求通项 。
分析 由已知递推式,可得 ,两式相减,
得 。令 ,
得,从而转化为类型五。
类型七:已知 ,(A、B、C为非零常数),求通项 。
分析 原递推式可化为 的形式,利用待定系数法求得系数。
【例3】设数列 的首项 。
(1)求的通项公式;(2)设 ,证明: ,其中n为正整数。
讲解 (1)由类型三,可知原递推公式可化为 。又 ,所以 是首项为,公比为的等比数列,得 。
(2)解法一 由(1)可知 ,故 。那么,
。
又由(1)知,且,故,因此,n为正整数。
解法二 由(1)可知 ,,因为,所以。
由可得 ,即,两边开平方得。即,n为正整数。
【例4】在数列中, ,求通项公式。
讲解 由原递推公式可设 。比较系数得 ,所以 。则数列是一个等比数列,其首项是,公比是2。所以,
即。
评注 本题也可以通过如下变形再运用累加法求得 ,令 ,则 , ,以下略。
【例5】在数列中, ,求通项公式。
讲解 可化为,比较系数得 或,不妨取,则。则是一个等比数列,首项为,公比为3 。所以,所以。
【例6】在数列中, ,求通项公式。
讲解 可化为,比较系数得 ,,所以。因此是一个等比数列,首项,公比为。所以,即。
故。
【例7】已知 ,求通项公式。
讲解 由原递推式可得,两式相减得
,令,则,所以,对都有,所以
令
将①带入后与②比较,由待定系数法可得
又由③得 ,由等比数列得
,
由上两式解得
。
3.1.3 不动点法
不动点的定义:函数 的定义域为 ,若存在 ,使成立,则称为的不动点;或称 为图像的不动点,“不动点”是荷兰数学家布劳威尔(Brouwer)首先提出的,它是现代数学一个有趣的概念,现代数学中不少分支都从不同的角度研究与它相关的问题。“不动点”在高中教材中虽未曾出现,但近几年高考中,以“不动点”为背景的试题频频出现,值得大家重视。利用不动点原理主要可解决以下两种类型的高考数列问题:
同类型三: 已知 ,求通项
分析 由求出不动点,在递推关系式两边同时减去,构造出等比数列,根据等比数列通项公式求出通项。
类型八:已知a,b,c,d都为常数,求通项 。
分析 设 ,满足递推关系,且初始值。
(1)若f有两相异不动点p,q,则,其中,即是以k为公比的等比数列,从而有,由此解得。
(2)若f只有唯一不动点p,则,其中,即是以k为公差的等差数列,从而有,由此解得。
类型九:已知,求通项 。
分析 该数列的递归函数为 ,
(1)若f有两相异不动点p,q,即,所以
所以
,
同理,两式相除得,令,则,所以,由此解得。
(2)若f有两相同的不动点p,易得,由,令,化简可得,所以是以 为公比的等比数列,因此,,即,即。
【例8】已知数列 满足 。
(1)求的通项公式;(2)证明:。
讲解 (1)递推数列对应的特征函数为 ,由得不动点为-1,因此,,即是以为首项,2为公比的等比数列。所以,即。
(3) 由,
得。另一方面,
所以
,
综上可得。
【例9】在数列中 , 。求通项。
讲解 先求出函数 的两个不动点1与-2,代入,其中,得
所以,由此解得。
【例10】已知 ,求通项。
讲解 所给数列的递归函数为 ,解方程得f的两个不动点为 ,由
,两式相除,得,令,则,解得。所以。
3.1.4 阶差法
当递推公式中既有 又有时,往往可用阶差法,其运用的公式为:
【例11】已知数列的各项均为正数,且前n项和满足,且成等比数列,求数列的通项公式。
讲解 对任意有, ①
当时,,解得;
当时,有, ②
由①-②整理得。
各项均为正数,。
当时,,此时,成立。
当时,,此时,不成立,故舍去,所以,。
评注 求得后,可设,将其代入得到。
【例12】设数列的前n项为,已知,
(1)证明:当时,是等比数列;
(2)求的通项公式。
讲解 由题意,在中,令,得,。由,得,两式相减得,
即 ①
(1)当 时,由①知,,于是
又,所以是首项为1,公比为2的等比数列。
(2)当 时,由(1)知,,即。
当时,由①知,,两边同时除以得,
可设, ②
展开②得,与比较,得,
。,
是等比数列,公比为,首项为。
,,
。
3.1.5 直接代换法
代换的主要目的是简化计算,巧妙代换可以使解题思路变得更顺畅。
【例13】已知数列,其中,当时,,
求通项公式。
讲解 由得。
令,则上式为,因此是一个等差数列,,公差为1。故。
由于。
又,所以,即
【例14】数列满足求的通项公式。
讲解 设,则,将代入原式,得, 。 ,
,由待定系数法解得,
。
【例15】设正数列满足且,求的通项公式。
讲解 将递推式两边同除以,整理得:,设,则,以下可用待定系数法解得,也可运用以下方法求得:
, ①
, ②
, ③
由得,即,逐项相乘得:,考虑到,故
【例16】已知数列中,,求的通项公式。
讲解 令,则,注意到,因此,有。
3.1.6 变形转换法
所谓变形转换法,就是通过对递推关系式取倒数、取对数、平方或开平方等变形技巧将原问题转化为等差或等比数列,从而求得通项的方法。
【例17】若数列中,,是数列的前 项和,且,求数列的通项公式。
讲解 递推式可变形为 ①
设①式可化为 ②
比较①式与②式的系数可得 ,则有。故数列是以为首项,3为公比的等比数列。。所以。
当时,。
数列的通项公式是
【例18】已知,求。
讲解 ,两边平方整理,得
,用 替换得,即, 是方程的两根。由韦达定理,可得,以下用特征方程求得通项,略。
【例19】数列满足,且。记,求数列的通项公式。
解法一(数学归纳法)
,故;,故;,故;,故。
,,
,故猜想是首项为,公比的等比数列。因为(否则将代入递推公式会导致矛盾),故。因为,
,,故是公比的等比数列。因为,故,
即。
解法二 由得,代入递推关系式
,整理得,即,由,有,由,,有,所以是以首项为,公比的等比数列。故,即。
【例20】已知数列满足条件,且,设,求数列的通项公式。
讲解 将代入,
得,
,令,
则,。
。
评注 本题也可根据递推式求出,由解得,利用不完全归纳法,猜测,再用数学归纳法证明。
【例21】若数列中,且(n是正整数),求它的通项公式。
讲解 由题意知,将两边取对数得,即,所以,数列是以为首项,公比为2的等比数列,,即。
【例22】已知函数,在数列中,,,求数列的通项公式。
讲解 ,从而有,由此及知,数列是首项为,公比为4的等比数列,故有
。
3.1.7 数学归纳法
数学归纳法是一种证明与自然数n有关的数学命题的重要方法,其证明步骤为:设 表示一个与自然数n有关的命题,
(1)证明成立;
(2)假设成立,可推出成立,
则对一切自然数时都成立。
在解决数列综合性问题中,有时运用归纳、猜想与证明将非常有效。其一般步骤是:首先利用所给的递推式求出数列的前几项然后猜想出满足递推式的一个通项公式,最后用数学归纳法证明猜想是正确的。
【例23】已知数列各项都是正数,且满足,
(1)证明: ;
(2)求的通项公式。
(1)证法一 先求通项,由于,因此,令,
则,又,所以,即。由此易得。
证法二 用数学归纳法证明如下:
(i)当时,,因此,命题正确。
(ii)假设当时,有成立。
则时,
而,所以。
又,则时,命题正确。
由(i)(ii)知,对一切,有。
证法三 用数学归纳法另证如下:
(i)当时,,因此;
(ii)假设当时,有成立,令,
在上单调递增,所以由假设有:,即
也即时, 成立,所以对一切,有。
(2)见(1)证法一。
评注 证法一先求出通项,再有通项直接得到第一小题的结论,两题并作一题做,妙!
【例24】设为常数,且。
(1)证明:对于任意 ,;
(2)假设对于任意 ,都有,求的取值范围。
(1)证法一(数学归纳法)
(i),即, 当时,等式成立。
(ii)假设时,等式成立,即
,那么
也就是说,当时,等式也成立。
根据(i)(ii)可知,等式对于任意成立。
证法二
,所以是公比为,首项为的等比数列,所以,即。
(2),所以
①
(i)当n为奇数时,①式为,所以,所以
(ii)当n为偶数时,①式为,所以,所以
。综上所述,①式对任意成立,有,故的取值范围是。
3.1.8 裂项分解法
在自主招生和各类竞赛中常会看到“”的非线性递推数列,裂项分解法是解决该类问题比较有效的方法。
1.当(为大于0的常数)时。
2.(常数为正整数,)
对于,一般先利用数列的单调性进行放缩,即,再裂项分解,即。
【例25】(2012年中国西部数学奥林匹克)设数列。求整数,使得。
讲解 由题意得知
由
由得
综上可得,=2012.
【例26】设数列满足,。证明:
讲解 由
由
。
【例27】(2011年全国高中数学联赛湖北赛区预赛)已知数列满足证明:对于一切,有
(1)(2)
证明 (1)显然,
对于一切,。
因此,当时,
又故对于一切,有。因此,对于一切,有
(2)显然,由,知
因此,当时,
则
【例28】(2013年清华大学等学校联合自主招生考试)已知数列各项均为正数,且对任意的满足。
证明:(1)对于任意的正数,存在,当
(2)若是数列的前项和,则对任意的存在,当有 ①
证明 (1)对任意的,由知,
且。
则
对于任意正数,存在(表示不超过实数的最大整数),当
(2)由,知
由(1)知要使只要即
故对任意的存在,当有式①成立。
3.2 了解放缩技巧
适当放缩是解决不等式问题的重点也是难点所在,中学教材中关于不等式放缩的要求并不高,但高考中经常将其作为压轴题的命题热点,2007年高考浙江卷倒数第二题,2008年高考浙江卷倒数第一题都涉及放缩技巧(关于这两题的详细分析请看本书第一章),而且,不难发现,这些题都渗透着竞赛的味道,因此,对于学有余力的学生而言,适当学习一些了略高于教材的放缩技巧大有裨益。
3.2.1 直接放缩
为了证明不等式可找一个(或多个)中间量作比较,即若能断定同时成立,那么显然正确,所谓“放”即把放大到,再把放到大,反之,由缩小经过而变到,则称为“缩”,统称为放缩法。放缩是一种技巧性较强的不等式变形,必须时刻注意放缩的跨度,放不能过头,缩不能不及。
【例1】 已知数列
讲解 根据递推关系式,运用迭代法求出通项,由通向放缩证得。
由原式得运用迭代法,有
【例2】数列满足是的前项的和,
(1)求;
(2)证明:
讲解 (1)时,由两式相减得
故
(2)
=
因此,
另一方面,易证
则。
因此有
【例3】数列满足其中,其中
(1)求证:
(2)求数列的通项公式;
(3)求证
讲解
(1)由
(2)由
两式相减,得
(3)证法一
方法二
3.2.2 裂项放缩
常用的裂项公式有:
(1)
(2);
(3);
(4);
(5);
(6)
(7)
【例4】已知数列满足
求证:
讲解
又
。
化简得
又。综上所述
【例5】数列为等差数列,为正整数,其前项和,数列为等比数列,且数列是公比为64的等比数列,且
(1)求,;
(2)求证
讲解 (1)设数列的公差为,的公比为,则为正整数,
依据题意有①由可知为正有理数,故为6的因子1,2,3,6之一,解①得=2,=8,故。
(2)
=
。
【例6】在数列,中,,且成等差数列,成等比数列()。
(1)求,由此猜测,的通项公式,并证明你的结论;
(2)证明:
讲解 (1)由条件得
由此可得
猜得用数学归纳法证明:
①当时,由上可得结论成立。
②假设当时,结论成立,即
所以,当时,结论也成立。
由①②可知对一切正整数都成立。
(2)
故
综上,原不等式成立。
【例7】对任意正整数,设是方程的实数根,求证:
(1)
(2)
讲解 由
(1)又所以
因为,故,
(2)因为
从而,
故
评注 这是浙江大学李胜宏教授给第三届中国东南数学竞赛提供的试题,题目叙述简洁,构思巧妙,解答不需要特殊技巧。既是一道很好的竞赛题,也可略做改动作为高考压轴题,如,2016年浙江省宁波市高三期末联考压轴题就是一道很好的改编题:
对任意正整数,设是方程的正根。
(1)求证:
(2)求证:
讲解 根据题意有对此式进行适当变形来获得解题的突破口。
(1)显然有
从而有
因为,从而有。
(2)用数列的界放缩,由于于是
因此,累加得原不等式成立。
【例8】设函数
(1)当时,求的展开式中二项式系数最大的项;
(2)对任意的实数,证明(是的导函数);
(3)是否存在,使得恒成立?若存在,试证明你的结论并给出的值;若不存在,请说明理由。
讲解 (1)展开式中二项式系数最大的项是第4项,这项是
(2)证法一 因
证法二
而,故只需对和进行比较。
有
因为当时,,单调递减;
当时,,单调递增。所以处有极小值1.
故当时,从而有,亦即
故有恒成立。所以,原不等式成立。
(3)对
有
又因
即存在使得
恒成立。
3.2.3 并向放缩
有些不等式问题,直接放缩可能很难达到目标,而对原式进行适当重组,并项处理则可使原问题柳暗花明。
【例9】求证:。
讲解 先将原数列各项分别“组合”,得
左边=
【例10】已知数列的通项公式为求证
讲解 本题若直接对通项进行放缩则很难达到目标,如果采取“合二为一”的技巧,再进行放缩则能出奇制胜。用分析法易证明,当为正奇数时,有
(1)当为偶数时,有
(2)当为奇数时,有
【例11】已知数列的前项和满足
(1)写出数列的前三项
(2)求出数列的通项公式;
(3)证明:对任意的整数
讲解 (1)为了计算前三项的值,只要在递推式对取特殊值,就可以消除解题目标与题设条件之间的差异。
由得;
由得
由,得。
(2)解法一 为了求出通项公式,应先消除条件式中的。
事实上,当时,有
即有 从而
,
接下来,逐步迭代就有
经验证也满足上式,故
解法二 将关系式两边同时除以,得
令,就有于是这说明数列是等比数列,公比从而,得
故有
(3)由通项公式得
当且为奇数时,
当
为偶数,可以转化为上面的情景:
故对任意的整数
3.2.4 加强放缩
有些数列不等式问题直接证明原问题比证明其某个加强命题更困难,这时,我们不妨“欲擒故纵”,先通过证明原问题的某个“更强的命题”,从而“顺手牵羊”地解决原问题。这种方法我们称之为加强命题法,它是证明数列不等式问题的一种有效方法。
【例12】求证:对一切都有
讲解 不等式左边是数列的前项和,右边是一常数。因此,直接用数学归纳法是不可行的。
注意到,而,故可先用放缩法证明以下加强不等式:
由
得.
故
【例13】已知数列满足且,求证:
讲解 由于不等式右边为常数,因此,直接运用数学归纳法很难现从k到k+1的过渡,为此,可先证明证明不等式的加强不等式
用数学归纳法证明原不等式的加强命题
(1)当n=1时,命题成立;
(2)假设n=k时命题成立,即,则当n=k+1时,一方面有,另一方面,有
因此,当n=k+1时命题也成立。
有(1)(2)可知对于一切都成立。
所以得证。
评注 本题也可利用不动点求出数列的通项,再运用放缩法证得,求出函数的两个不动点,可得
所以,,
所以,
【例14】设 ,定义 证明:对,都有
讲解 用数学归纳法证明以下加强命题:.
(1)当n=1时,,由显然成立,当n=1时命题成立。
(2)假设n=k时命题成立,即当n=k+1时,
一方面,,
另一方面,
因此当n=k+1时,有.
有(1)(2)可知,不等式对都成立,当然也有成立
评注 从表面看,加强命题似乎使原问题变复杂了,而实际上,通过加强命题可以换来一个较强的归纳假设,从而为归纳过渡的顺利完成奠定坚实的基础,反而有利于原问题的有效解决,
【例15】已知数列满足:,求证:
讲解 用归放缩法证明以下加强命题:
当时,即,
所以,化简得
同理,由可证得右边
令n=100,得,而
所以.
【例16】数列满足:求证:
讲解数列的递归函数为由求得其不动点为,为此,可求出通项公式再进行放缩证明,当然,也可不求通项公式,先证明其加强命题而得证
用数学归纳法证明加强命题:对一切正整数n,有
(1)当n=1时,显然成立成立。
(2)假设n=k时,有,那么
当n=k+1时,一方面由均值不等式,有,等号当且仅当时取得,因此,
另一方面,.
当n=k+1时,也成立。
因此,
【例17】已知函数的图像过点(3,1),且方程f(x)=x有两个相等的实数根。
(1)求实数a,b的值:
(2)若正项数列满足:,求通项;
(3)对满足(2)上的数列,若数列,为数列的前n项和,证明:
讲解 (1)由函数的函数图像过点(3,1),得
又方程f(x)=x有两个相等的实数根,得
有两个相等的实数根,故方程有等跟x=0.即将a=3代入得b=2,故
(2)由,得,即,
因此,n,则.
(3),所以
证法一 由
故
证法二
所以
证法三
证法四 当n>5时,,
则
证法五 当 时,
证法六 当 时,
同时,
所以,
评注 数学思维开拓性指的是对一个问题能从多方面考虑;对一个对象能从多种角度观察;对一个题目能想出多种不同的解法。即一题多解,一题多解的训练中,我们要密切注意每种解法的特点,善于发现解题规律,从中发现最有意义的简捷解法,本题第3小题的六种不同解法主要区别在于放缩的角度与技巧不同,有些技巧十分巧妙,不是一朝一夕能够掌握的,它需要不断积累,细心品味,逐步提高。
3.2.5借助导数放缩
【例18】已知,求证:
讲解 一般项为的连续形式为,有导数
故考虑如下放缩:
因为
所以即
所以
【例19】对于,设,求证
讲解 一般项的连续形式为,有导数
故考虑如下放缩:
因为
所以,即
所以
.
【例20】求证:当n为正整数时,
讲解 一般项的连续形式为,有导数
故考虑如下放缩:.
因为,
所以.
所以
评注(*)处放缩用到了常见不等式
3.3 掌握重要不等式
在数学研究中,有许多形式优美而且具有重要应用价值的不等式,一般称其为重要不等式(高中教材中称其为经典不等式).本节中将着重探讨均值不等式、柯西不等式.
3.3.1 均值不等式
均值不等式:
设,,…,为n个非负实数,它们的算输平均值记为,几何平均值记为,调和平均值记为,平方平均值记为,则有如下关系:.
高中教材中主要研究以下均值不等式:
设,,…,为n个非负实数,则.
特别地,有,而且仅当时,等号成立,此不等式也称为“基本不等式”,在高考中运用十分广泛,尤其是求最值问题.
【例1】若x,y是正数,求的最小值.
讲解 利用基本不等式,则有
,
当且仅当时取等号.
【例2】设x,y为正数,且,求的最小值.
讲解 利用基本不等式,得,
所以
,
当且仅当时取等号.
【例3】已知,,,,求的最小值.
讲解 设,,,
则,,,
所以,当且仅当时取等号.
【例4】证明:对于任意正整数n,有.
讲解 原不等式等价于,故可设法使其左边转化为n个数的几何平均,而右边为其算术平均.
.
评注 要将n个变量的积的形式变为个的形式的基本思路是在n个变量的积的基础上再乘1,变成项,拼凑成均值不等式的形式,同理,要将n个变量的积的形式变为个的形式的基本思路是在n个变量的积的基础上再乘m个,变成项,拼凑成均值不等式的形式.类似地可证.
【例5】 若a,b,c是不全相等的正数,求证:,
讲解 利用对数运算变形,将原不等式转化为,再用均值不等式证明.
证法一:要证成立,
即证成立,只需证成立.
,,.
成立.
又,b,c是不全相等的正数,式等号不成立.
所以原不等式成立.
证法二:,,,.
又,b,c是不全相等的正数,,
,即.
评注 本题用了分析法与综合法的两种形式表达证明过程,其本质是一样的,其实,在不等式的证明过程中,是分析与综合交替使用的过程.
【例6】若,求证:.
讲解 从本题的结构特征分析,其形式是三项的和不小于三项的和,基本思路是利用三个均值不等式相加而成.
,只需证成立,
即证.
,,,
,.
又,
,,
.
评注 本题的难点是要多次应用均值不等式.
【例7】设,,…,,,求证:.
讲解 根据均值不等式,得
因为,
.
所以.
【例8】(2008年南京大学自主招生考试试题)若正数a,b,c满足,求证:.
证法一 (运用均值不等式)
注意到时,不等式的等号成立,将原不等式变形为
,
经观察要使不等式的等号成立,只需,解得.于是运用均值不等式得
,
所以.
证法二 (仍用均值不等式)
注意到时,不等式的等号成立(若从出发,不等式不能取等号,故不能运用二元均值不等式),应将平均分成m份,使得不等式取等号时,有,此时必须有,解得,于是利用均值不等式得
,
同理,
,,
于是,
而正数a,b,c满足,可得,于是,所以,
.
证法三
,
令,考虑的单调性.
注意到,所以,,
所以,得证.
证法四 (用函数的凹凸性)
设,则.
设.
,,
令,,则,
结合二次函数图像可知,故,所以在上为凸函数,根据琴生不等式有:
,
则,
(时取等号),
所以,即,不等式得证.
评注 本题结论可作如下推广:已知则
.证明方法同以上证法四.
3.3.2柯西不等式
柯西不等式
设,等号当且仅当时成立。
推论1:
推论2::
在高考题中,一般仅需掌握二维,三维的柯西不等式
【例1】若正数x,y满足x+3y=5xy,则3x+4y的最小值是( )
A. B. C.5 D6.
讲解 若设3x+4y=t,可用判别式法求解,减少未知数,可构造均值不等式或导数法求解;条件x+3y=5xy可变为,构造柯西不等式,
当且仅当x=2y,即3x+4y的最小值5.
【例2】设,求的最大值。
讲解
因为 所以,即
。故
评注 本题解法很多,其中利用柯西不等式求解如同神来之笔,值得细细品味和充分借鉴.
【例3】(2009年高考全国卷I第6题)已知向量a,b,c是单位向量,且满足a.b=0,求(a-c).(b-c)的最大值和最小值。
讲解 设c=(x,y),a=(1,0) ,b=(1,0)则
令
由可喜不等式得
所以,即
当即不等式右边取等号;
当时,不等式左边取等号,所以
当时,.
【例4】 如图3-3-1所示,椭圆中心在坐标原点,是它的两个顶点,
直线与相交于点,与椭圆相交于两点,求四边形面积的最大值。
讲解 由题意可知,椭圆的方程为
如图所示,由椭圆的对称性易知四边形的面积等于四边形的面积的两倍
设点,所以四边形的面积
因为
所以,
当且仅当上式取等号。
故四边形面积的最大值为。
【例5】已知直线与双曲线相切求
切线方程和切点坐标。
讲解 由柯西不等式,得
当且仅当,即时,.此时,由,得.
所以切线方程为或,切点坐标为
【例6】设,求的最小值。
讲解 原式
所以的最小值为9.
评注 利用重要不等式的结构拼凑成取到最值是解决最值问题的基本思路,本题除柯西不等式外,也可通过均值不等式解决。
【例7】已知,且,则的最小值是 。
讲解 由
,当且仅当,时等号成立.
【例8】求函数的最大值。
讲解
当且仅当,即时取等号,所以的最大值为。
【例9】设是正数,且则等于( )
讲解 由,及柯西不等式取等条件得
.令,则. 解得
又由等比性质,有. 故选C
【例10】(2017年高考浙江卷第15题)已知向量,满足则的最小值 ,最大值是 。
讲解
,根据柯西不等式,得
化简,得
故原题两空分别填写
【例11】设为自然数,求证:
讲解 由柯西不等式,得
所以
所以
【例12】若不小于2的正整数,求证:
讲解:
所以只要证明;
由柯西不等式,有
所以
又由柯西不等式得
评注 此不等式左式的证明可由
证得。
【例13】已知数列的首项
⑴求的通项公式;
⑵证明:对任意的
⑶证明:。
讲解 ⑴
又,是以为首项,为公比的等比数列。
,
⑵解法一 由⑴知
原不等式成立.
解法二 设
则
,当时,;当时,;
当时,取得最大值。原不等式成立.
⑶解法一 由⑵知,对任意的,有
取
则原不等式成立.
解法二 由柯西不等式,得
而
所以
评注 本题(3)的解法是高考命题者提供的,解法二是笔者给出的.对比两种解法我们可以领略到柯西不等式在解题中的魅力.
3.4引入参数或参数方程
3.4.1引参换元
参数法是指在解题过程中,通过适当引入一些与题目研究的数学对象发生联系的新变量(参数),以此作为媒介,再进行分析和综合,从而解决问题。参数法解题的关键是恰到好处地引进参数,沟通已知和未知之间的内存联系,利用参数提供的信息,顺利地解答问题,换元法是引入参数的典型例子。本节我们主要讨论通过换元法引入参数。
换元法又称辅助元素法、变量代换法。常见形式是把某个式子看成一个整体,用一个变量去代替它,从而使问题得到化简。通过引进新的变量,可以把分散的条件联系起来、隐含的条件显露出来、把条件与结论联系起来;或者可以变为熟悉的形式,把复杂的计算和推证简化。换元的实质是转化,关键是构造元和设元,理论依据是选题代换,目的是变换研究对象,将问题移至新对象的知识背景中去研究,从而使非标准型问题标准化、复杂问题简单化,变得容易处理,它可以化高次为低次、化分式为整式、化无理式为有理式、化超越式为代数式,在研究方程、不等式、函数、数列、三角等问题中有广泛的应用。
使用换元法时,要遵循有利于运算、有利于标准化的原则,换元后要注意新变量范围的选取,一定要使新变量范围对应于原变量的取值范围,不能缩小也不能扩大。
【例1】 实数满足,设,求的值。
解法一 设代入条件得,解得;
解法二 由,设,
则,代入已知式得,移项平方整理得
,解得.
解法三 设,代入条件整理得,则,所.
评注 解法一由联想到,可进行“三角换元”. 的最大值和最小值还可由的有界性求得,即不等式:.解法二“均值换元”,将问题转化为二次函数(方程、不等式)问题.解法三为“和差换元”,换元后有可能简化代数式
【例2】的三个内角满足:,,求
的值.
解法一 由,得设代入已知等式得
解得,即
解法二 由,得,.所以,
设,,所以,,
两式分别相加、相减得
,
,,
代入
整理得,解出,所以.
评注 两解法均为“均值换元”,主要目的就是减少变量.
【例3】实数满足,求的最小值.
讲解 由,想到“均值换元法”,引入新的参数,即设
,,代入可求.
,即的最小值为.
评注 由“均值换元法”引入了三个参数,将代数式进行了有效的简化.
【例4】椭圆上有两点,为原点,连接,,
(1) 求证:为一定值;
(2) 求线段中点轨迹方程.
讲解 由“换元法”引入新的参数,即设参数对应两点,先计算
得出一个结论,再计算,并运用“参数法”求中点的坐标,消参而得.
(1) 由,设
,整理得: ,
即
即等于定值20.
(2) 由中点坐标公式得到线段的中点的坐标为
所以,即所求线段中点轨迹方程
评注 由椭圆方程,联想到,于是可进行“三角换元”(得到的即是椭圆的参数方程),通过换元引入新的参数,转化成为三角问题进行研究.本题还要求能够训练使用三角公式和“平方法”,在由中点坐标求出点坐标后,将所得方程组稍作变形,再平方相加, 这就是求点轨迹“消参法”的关键一步.一般地,求动点的轨迹方程运用
“参数法”时,我们可以将点的坐标分别表示成为一个或几个参数的函数,再运用“消去法”消去所含的参数,即得到了所求的轨迹方程.
【例5】实数满足,若恒成立,求的取值范围.
讲解 由,设则
代入不等式得,
即,所以.
评注 本题进行三角换元,将代数问题(或者是解析几何问题)转化为含参三角不等式恒成立的问题,再运用“分离参数法”转化为三角函数的值域问题,从而求出参数范围.一般地,在遇到与圆、椭圆、双曲线的方程相似的代数式时,或者在解决圆、椭圆、双曲线等有关问题时,经常使用“三角换元”.
【例6】设,求的最大值和最小值.
讲解 设,则,得
,所以,,
当时,取最小值;
当时,,取最大值;
当时,,取最大值.
的最小值,最大值为
评注 此题属于局部换元法,设后,抓住与的内在联系,将三角函数的值域问题转化为二次函数在区间上的值域问题.换元过程中一定要注意参数的范围
()与对应,否则将会出错.一般地,在遇到题目已知和未知中含有
与的和、差、积等而求三角式的最大值和最小值的题型时,即函数为,经常用到这样设元的换元法,转化为在闭区间上的二次函数或一次函数的研究.
【例7】已知,,求的值.
讲解 设,则且,则由条件,得
,即,
设,则解得或所以或.
评注 将进行等量代换,减少了变量的个数,在解决高次方程时,常使用换元法使方程次数降低.
【例8】如图3-4-1所示,在扇形中,,为弧上的一个动点,若,则的取值范围是 .
讲解 如图3-4-1所示建立直角坐标系,不妨设扇形半径为1,则,.
设,则.
由得
则,易知,故
在上单调递增,故.
评注 此题还可以将问题转化为“已知,,
,求的取值范围”.可由柯西不等式、均值不等式、判别式法等多种解法求得.
3.4.2 分离参数
分离参数,就是将所求变量和其他变量分离开来,通过研究其他变量构成的解析式的性质来确定所求变量的范围。该法常用于函数中求参数范围的问题,是高考压轴题经常使用的方法,和分类讨论比较起来,该法具有思路清晰,有章可循,易操作等特点。
例9、 已知函数,若对任意两个不等的正实数,都有恒成立,求的取值范围。
讲解:不妨设,则由得;
即,则在上为增函数,
则在上恒成立,
故.由,得.
评注:通过构造函数将问题转化为单调性问题,通过导数转化为不等式问题,在通过参变分离将问题转化为函数值域问题,此题在得到在上恒成立后也可以利用二次函数的图像分类来解决。
例10、 若函数对于总有成立,求的值
讲解:若,则不论取何值,都成立.
当,即时,可化为,.
设,则
所以在区间上单调递增,在区间上单调递减,
因此,从而
当,即时,可化为,,
在区间上单调递增,因此,从而
综上:
评注:此题所求变量较容易分离,关键要注分离过程中的分类讨论。
例11、 若定义正在的函数满足且时不等式成立,若不等式对于任意恒成立,求的取值范围。
讲解:设,,有.
则
即,函数在为减函数.
因此,而(当且仅当x=y时取等号),又,所以的取值范围
评注:当不等式两边为同一函数在相同区间内的两个函数值时,可以巧妙利用此函数的单调性,把函数值大小关系化归为自变量的大小关系,则问题可以迎刃而解,此题的参数直接分离。
例12已知函数
(1) 求函数的单调区间;
(2) 若不等式对任意都成立(其中e是自然对数的底数),求的最大值。
分析:对于(2)不等式中只有指数含有,故可以将函数进行分离考虑。
讲解:(1)函数的单调增区间为,的单调减区间为.
不等式等价于不等式,
由于,知
设,
.
由(1)知
于是,,即 在区间,上为减函数,故 在区间的最小值为
评注:不等式恒成立问题中,常常先将所求参数从不等式中分离出来,使参数和主元分别位于不等式的左右两边,然后再巧妙构造函数最后化归为最值法求解。
例13已知函数(其中)在区间上不单调,求的取值范围。
讲解:,因在区间上不单调,所以
在区间上有实数解且无重根
由得,当时有
,
令,有
记,则在区间上单调递减,在区间上单调递增
所以
于是,得
而当时有在(0,3)上有两个相等的实根,故舍去,
所以.
评注 此题实际上是将方程根的问题转化为函数值域的问题,是较为常见的参变量分离的问题。
[例14]已知函数.若过点可作曲线的切线有三条,求实数m的取值范围.
讲解 设过P点的切线切曲线于点,则切线的斜率,所以切线方程为,
故,要使过点P可作曲线的切线有三条,则方程有三解,
即方程有三解,即直线y=m与曲线有三个不同的交点,则,易知为g(x)的极大值点和极小值点,又,故满足条件的m的取值范围是.
评注 此题是通过参数分离将根的个数问题转化为两个图像的交点个数问题.
[例15]已知函数.其中.若g(x)在其定义域内为增函数,求正实数的取值范围。
讲解 g(x)的定义域为(0,+oo), ,
因为g(x)在其定义城内为增函数,所以
而,当且仅当x=1时取等号,所以.
[例16]已知函数.
(1)若y=f(x)在上为单调函数,求m的取值范围;
(2)设,若在[1,e]上至少存在一个,使得成立,求m的取值范围。解法一 (1) ,由于y=f(x)在上为单调函数,则或在上恒成立,即或在上恒成立,故或,综上,m的取值范围是.
(2)构造函数,,
当时,由得,所以在[1,e]上不存在这样的,使得;
当时, ,由,,
则在上恒成立,故F(x)在上单调递增,
,由题意,只要,解得,故m的
取值范围是.
解法二 (2)由可得,令,,则当时, ,则在上单调递减,故,所以.
评注 参变量分离可以避免较复杂的分类讨论,对观察和分析问题的能力要求略低,但
得到的函数有可能较为复杂,需要较强的计算能力.
[例17] (2011年高考浙江卷)设函数.
(1)若为的极值点,求实数;
(2)求实数的取值范围,使得对任意的,恒有成立.
注: 为自然对数的底数。
讲解 同4.2.3节例11.
[例181设函数.
(1)若,求f()的单调区间;
(2)若当时, ,求的取值范围.
解法一 (1) 时,,.
当时, ;当时,.故在上单调递减,在上单调递增,
(2) ,由(1)知,当且仅当时等号成立。
故,从而当,即时,,
而,于是当时,.由可得.
从而当时,,
故当时,,而,于是当时, .
综合得的取值范围为。
解法二 (1)略
(2)当时,,即(),
当时, ()式显然成立,即;当时,,
令,则,
令,则,,则在上单调递增,由,得.则在上单调递增,由,
则,即,则在上单调递增.
由洛必达法,,则.
综上, 。
评注 本题讲解二中参变分离后得到的函数较为复杂,值域(最值)不是很容易求出,需要连续求导和使用洛必达法则才能解决问题。“分离参数、连续求导、洛必达法则”是运用分离参数法解题的完整策略。
3.4,3 参数方程
[例19] 求直线(为参数)和直线的交点P的坐标,及点P与的距离。
讲解 将代人得,
得,而,得.
评注 化直线的参数方程为一般方程是求解此类问题的基础.本问题也可应用直线参数方程中的几何意义求解,
【例20】求以椭圆内一点为中点的弦所在的直线的方程.
讲解 设以点为中点的弦所在的直线的参数方程为 (为参数),并将这一方程代人椭圆方程得: ,化简得
.
由于点为弦的中点,则交点的两参数的和为0,据韦达定理有,即,故所求直线的方程为,即.
[例21] 已知直线过点P(2,0),斜率为,直线和抛物线相交于A、B两点,设线段AB的中点为M,求:
(1)P、M两点间的距离|PM|;
(2)M点的坐标;
(3)线段AB的长|AB|.
讲解 (1):直线过点P(2,0),斜率为,设直线的倾斜角为,,,所以,直线的标准参数方程为 (t为参数)().
(1)因为直线和抛物线相交,将直线的参数方程代人抛物线方程中,
整理得,设这个二次方程的两个根为,由韦达定理得,,由M为线段AB的中点,根据的几何意义,得。
(2)因为中点M所对应的参数为,将此值代入直线的标准参数方程(),M点的坐标为,即.
(3).
评注 本题是向量与解析几何的综合题,有关直线与圆锥曲线关系的存在性问题,往往
需要相应一元二次方程的判别式来判断.
[例221设椭圆的中心是坐标原点,长轴在x轴上,离心率,点到椭圆上的点的最远距离是,求椭圆的方程并求椭圆上到点P距离等于的点的坐标.
讲解 设椭圆的方程为,由,得.设椭圆上点到P的距离为d,则
若,即时,,不符.
若,即时, ,此时若,有最大值,
故有,解得.即椭國方程为
由,知所求点的坐标为.
评注 本题主要是应用椭圆的参数方程,将最值问题转化为二次函数在给定区间 上的最值求解.
[例23]椭圆上有两点P、Q,O为原点,连结OP、OQ,若。
(1)求证:为定值;
(2)求线段PQ中点M的轨迹方程.
分析 引入参数,设 (为参数),参数对应P、Q两点,先计算得出一个结论,再计算,并运用“参数法”求中点M的坐标,消参而得.
讲解 (1)设,
则整理得
,即.
即等于定值20.
(2)由中点坐标公式得到线段PQ的中点M的坐标为
所以有,
即所求线段PQ的中点M的轨迹方程为.
评注 一般地,求动点的轨迹方程运用“参数法”时,我们可以将点的坐标分别表示成为一个或几个参数的函数,再运用“消去法”消去所含的参数,即得到所求的轨述方程.
[例24] 如图3-4-3所示,过抛物线的顶点作两条互相垂直的弦OA,OB.
(1)设OA的斜率为k,试用k表示点A、B坐标;
(2)求弦AB中点M的轨迹方程.
讲解 (1)设OA的方程为y=kx.联立方程
解得,以替代上式中的k,
解方程组解得.
得,.
(2)设AB中点为,则由中点坐标公式,得
消去参数k,得,即为M点轨迹的普通方程.
评注 应用参数方程求曲线的轨迹或轨迹方程重要的是消参,消参之后应注意参数及其表达式的取值范围。
[例25](2016年全国高考I卷理科第20题)已知椭圆的焦点在x轴上,A是E的左顶点,斜率为k(k>0)的直线交E于A,M两点,点N在E上,.
(1)当t=4,时,求△AMN的面积;
(2)当时,求k的取值范围.
讲解 易知,设直线AM的倾斜角为,则由可知,直线AN的倾斜角为.
设直线AM的参数方程为(为参数),代人椭圆方程,整理得
由的几何意义知
同理,由可知,对于直线AN,将换为,
即得到。
(1)当时, ,
整理得,得,即,
此时
故.
(2)当|时,
所以,即,解得.
评注 利用直线的参数方程,本题的两问均能轻松获解.一般涉及直线过定点的旋转问题,可以考虑用直线的参数方程轻松获解.
推广 已知椭圆的焦点在x轴上,A是E的左顶点,斜率为k (k>0)的直线交E于A,M两点,点N在E上,,
(1)当时,
(2)当(其中)时, .
讲解 易知且m>n.设直线AM的傾斜角为,则由可知,直线AN的倾斜角为。
设过点的直线AM的参数方程为(t为参数),代入椭圆方程,整理得
由t的几何意义知
同理,由可知,对于直线AN,将换为,
即得到
(1)当时,,整理得
得,即,此时
(2)当时,
解得
即,解得。
[例26] 如图3-4-4所示,过点A(-2,m)作直线交椭圆于B,C。点Q在弦BC.上,且满足,求动点Q的轨迹方程.
讲解 设直线的参数方程为 (为参数).
代人椭國方程,并整理,得
设,则由,
整理,得
① 代入②得,则
得点Q的轨迹的参数方程为 (为参数)
消去,得
(1)当m=0时,所求轨迹是 (过左焦点)被椭圆截下的弦;
(2)当m变动时,点Q的轨迹恒过定点.
评注 (1)已知椭圆的左准线的方程为,左焦点的坐标为F(-1,0),直线是过点A(-2,m)作椭圆的两条切线,切点连成的方程,不论点A在左准线上的什么位置,过A所作椭圆的切点弦总经过左焦点F,反过来,若过椭圆的左焦点F作动弦MN,过MN的端点M,N作椭圆的切线,两切线的交点一定在左准线上。
(2)过A作椭圆的任意一条割线,交椭圆于B、C,交上述切点连线于Q,则有性质。
[例27] (2011年“华约”自主招生试题)双曲线,是左、右焦点,P是右支上一点.且.
(1)求离心率e;
(2)若A为双曲线左顶点,Q为右支上任一点,是否存在常数使恒成立?
讲解 (1)如图3-4-5所示,在△中,由余弦定理,得
(2)由(1),双曲线方程为。若轴,此时为等腰直角三角形, .
下证.设
,
所以存在常数,使恒成立.
评注 (2)上设,采用的是双曲线方程的参数形式,有利于借助三角公式化简.
[例28] 若抛物线的准线与对称轴的交点为点A,过点A作抛物线的一条割线交抛物线于B,C两点,过焦点F作与割线的倾斜角互补的直线交抛物线于M,N两点,则.
讲解 如图3-4-6所示,易知设割线AC的倾斜角为,则直线AC的参数方程为 (t为参数).
将其代入中,化简得
由参数t的几何意义可知
又直线MN的倾斜角与直线AC的倾斜角互补,所以MN的倾斜角为,则直线MN的参数方程为 (t为参数),即
将其代入中,化简得.由参数t的几何意义可知
由①②得.
又抛物线的离心率e=1,故.
评注 本题结论可推广为:
若圆锥曲线的一条准线与对称轴的交点为点A,过点A作圆锥曲线的一条割线交曲线于B,C两点,过相应焦点F作与割线的倾斜角互补的直线交圆锥曲线于M,N两点,则.其中e为圆锥曲线的离心率。
[例29](2016年高考四川卷理科第20题)已知椭圆的两个焦点与短轴的一个端点是直角三角形的三个顶点,直线与椭圆E有且只有一个公共点T.
(1)求椭圆E的方程及点T的坐标,
(2)设O是坐标原点,直线平行于OT,与椭圆E交于不同的两点A,B,且与直线交于点P.证明:存在常数,使得,并求的值.
讲解 (1)椭圆E的方程为,T(2,1),过程略.
(2)设,由题意设的参数方程为 (t为参数).
代人椭圆E的方程,整理得.
又直线与椭圆E交于两点A,B,这个方程必有两个实根,
所以,故
同理,设的参数方程为 (t为参数).
代人椭圆E的方程,整理得
又直线与椭圆E有且只有一个点T,这个方程必有两个相等实根,
所以,故
故,而
故
所以,
好题新题精选(二)
1.已知直线经过点P(1,1),倾斜角.
(1)写出直线的参数方程;
(2)设与圆相交于A.B两点,求点P到A,B两点的距离之积。
2.点P在椭圆上,求点P到直线3x-4y=24的最大距离和最小距离。
3.过椭圆的一个焦点F(-1,0)作一直线交椭圆于P,Q两点
(1)求的最大值与最小值;
(2)求△POQ面积的最大值(O为椭圆中心).
4.已知抛物线,弦OQ,OR互相垂直(O为原点),以OQ,OR为邻边作矩形ORMQ,求M点的轨迹方程.
5.已知椭圆,直线.P是上的点,射线OP交椭圆于点R,又点Q在OP上且满足,当点P在上移动时,求点Q的轨迹方程,并说明轨迹是什么曲线.
6.设椭圆中心为原点O,一个焦点为F(0,1),长轴和短轴的长度之比为t.
(1)求椭圆的方程;
(2)设经过原点且斜率为t的直线与椭圆在y轴右边部分的交点为Q,点P在该直线上,且,当t变化时,求点P的轨迹方程,并说明轨迹是什么图形。
7.如图所示.AB为过抛物线的焦点且垂直于对称轴的弦,点M分线段AB为1:3,,过M点的弦PQ使△AMP和△BMQ面积相等,求直线AB和PQ的夹角大小和弦PQ的长度.
8.过椭圆的左顶点A作直线与橢圆交于Q点,与y轴交于R点,又过椭圆中心作OP//AQ且与椭圆交于P点.
求证:
好题新题精选(二)解答
1.(1)直线的参数方程为,即
(2)把直线代入,
得,,则点P到A,B两点的距离之积为2.
2.设,则,即,当
时,;当时,.
3.(1)设过点的直线为,代入椭圆方程,整理得,,由韦达定理知,,当时,; 当时,.
(2) ,设的坐标分别为则
,
当
4.设动点,抛物线,因为,所以即,设的中点为,则由中点坐标公式得
,
即,故动点的轨迹方程为.
5.由题设知点不在原点,设的坐标分别为其中不同时为零,设与轴正方向的夹角为
由上式及题设,得
①
②
③
④
由点在直线上,点椭圆上,得方程组
讲①②③④代入⑤⑥,整理得点的轨迹方程为(其中不同时为零).所以点的轨迹是以为中心,长、短半轴分别为和且长轴与轴平行的椭圆、去掉坐标原点.
6.(1)设所求椭圆方程为,由题意得解得所以椭圆方程为.
(2)设点,解方程组得
由,其中,消去,得点轨迹方程为,其轨迹为抛物线在直线右侧的部分和抛物线在直线左侧的部分.
7.由,故方程为,点,直线的参数方程为
,代入
将②代入③,解得
8.设方程为,倾斜角为,为,分别代入椭圆方程有,
则
又,则,所以
3.5借助平面几何知识秒解解析几何题
解析几何是用代数方法来研究曲线间关系的,因此,解解析几何问题的主要方法是坐标法:建立适当的坐标系,设点的坐标,设曲线方程,列出相应的关系式,解方程或方程组,找问题的联系点与转化点,从而实现问题的解答.但这样做往往计算量较大.事实上,解析几何可视为平面几何的数量化,因此,对于有些解析几何问题可充分利用平面几何的有关知识加以巧妙解决.
3.5.1利用三角形性质
三角形中可以利用的性质主要有:
1.三角形两边之和大于第三边,两边之差小于第三边
2.直角三角形斜边长大于直角边长;
三角形的中位线性质;
4.直角三角形的射影定理
【例1】如图3-5-1所示,设分别是椭圆的左右焦点,若在直线上存在点使线段的中垂线过点,则此椭圆的离心率的取值范围为 .
讲解
评注 若直接计算会异常烦琐,运用“直角三
角形斜边长大于直角边长”则可轻松解决,此类
题的核心在于将图中直线构成的封闭图形剥离
出来,再运用平面几何知识处理,最后代入圆锥
曲线的数值中计算,从而轻松解决原题.
【例2】如图3-5-2所示,已知是双曲线
的左、右焦点,点P在
双曲线上且不与顶点重合,过作的角
平分线的垂线,垂足为,若,则双曲线的
离心率为 .
讲解 如图3-5-2所示,延长交于点,易知,
评注 本题运用了相似三角形知识,解题过程巧妙而精美.
【例3】设椭圆上一点到左准线的距离为10, 是该椭圆的左焦点,若点M满足,则= .
讲解如图3-5-3所示,设为椭圆的右焦点,连接.
因为,所以是线段的中点,
从而为的中位线,则.
又因点P到椭圆左准线的距离为10,椭圆离心率
,所以,则,
故.
评注 本解法巧妙地利用了三角形中位线的性质,揭示了题目的本质.
【例4】如图3-5-4所示,椭圆C:的顶点
为,焦点为,
,
(1)求椭圆C的方程
(2)设是过原点的直线, 是与垂直相交于点、
与椭圆相交于两点的直线,,是否存在
上述直线 使成立?若存在,求直线 的
方程. 若不存在,请说明理由.
讲解 (1)由知, ①
由知, ②
又, ③
由①②③解得,故椭圆C的方程为
(2)解法一 设,假设使成立的直线 存在,当 不垂
直于轴时,设 的方程为,
由 与垂直相交于点且得,即,
,,
即
将代入椭圆方程,得,
由求根公式可得, ④
, ⑤
,
将④,⑤代入上式并化简得. ⑥
讲代入⑥并化简得,矛盾.即此时直线 不存在.
当垂直于轴时,满足的直线的方程为或,
当时,的坐标分别为
当时,同理可得,矛盾,即此时直线也不存在.
综上可知,使成立的直线不存在.
解法二 ,可知
在中,,由直角三角形中射影定理的逆定理,可知是直角三角形,于是由,得,因此,
又直线,,则是单位圆的切线,其方程为.
由得,
由韦达定理.
所以.
由此,得,这与矛盾.
所以,所求的直线不存在.
评注 解法一是常规解法,解法二根据,借助平面几何的知识“直角三角形射影定理的逆定理”得出,从而,简化了计算,使原问题得以巧妙解答.
【例5】是通过圆锥曲线的一个焦点的一条弦, 在焦点相应准线上的
射影分别为,设的中点分别为,则直线与的交点一定在准线上.
讲解 如图3-5-5所示,设的延长线分别与的延长线交于圆锥曲线的离心率为,
则,即. ①
又由,得. ②
由①②得,即是的中点.
而是的中点,故,即,
所以直线过的中点.
同理,直线过的中点.因此直线与的交点一定在准线上.
3.5.2 利用角平分线性质
【例6】已知为椭圆的两个焦点, 是椭圆上与不共线的任意一点,是的内心,延长交于点,求.
讲解 是的内心, 是的角平分线,
,,.
又为的角平分线,.
【例7】过圆锥由线的一个焦点的一直线(不与焦点所在的
对称轴重合)交于不同两点,这两点和上任一点C的连线
分别和的对应准线交于,则以为直径的圆
必过焦点.
讲解 如图3-5-6所示,连结,,并作
,为垂足,为延长
线上一点. ,
.又,故
由三角形外角平分线性质定理的逆定理,得平分.
同理,平分,且
因此即以为直径的圆过焦点.
3.5.3利用平行线段成比例的性质
【例8】如图3-5-7所示,已知直线经过椭圆的左顶点和上顶点,椭圆的右顶点为,为椭圆上位于轴上方的动点,直线、与直线分别交于两点.
(1)求椭圆的方程;
(2)求线段的长度的最小值;
(3)当线段的长度最小时,在椭圆上是否存
在点,使得的面积为?若存在,确定
点的个数;若不存在,说明理由.
解析 (1)(过程略)
(2)如图3-5-8所示,过点作垂直于轴,
,显然,则有
即.
所以.
又由即,得,
所以由基本不等式得,当且仅当时取等号,
即线段的长度的最小值为.
(3)由(2)可得,此时的方程为,所以,要使椭圆上存在点使得的面积等于,只需到直线的距离等于,所以在平行于且与距离等于的直线上,设直线,则由
,解得或经检验不符合,故只有两个.
评注 第(2)问巧妙运用平行线分线段成比例,找出线段与线段的相等关系,从而得到结论,大大减小了运算量,此解法体现的另一思路是圆锥曲线中与顶点相关的线段可以考虑将圆锥曲线的方程变形,然后用平方差公式得到相关比例,使解题的运算量大大减小
3.5.4利用圆的性质
平面几何中关于圆有很多有用的性质,如垂径定理、切割线定理等
【例9】设圆的弦的中点为,直线交轴于点,
求.
讲解 由已知得圆心,为弦AB的中点,.
又,可得直线的方程为,
直线交轴于点.
又圆与轴的交点为,,
由圆的相交弦定理得
【例10】已知椭圆的左右焦点分别为与,点在直线上,当取最大值时,求的值.
讲解 由平面几何知,要使最大,则过三点的圆必定和直线相切
于点,设直线交轴于点,则,即,
即. ①
又由圆幂定理,得 ②
而,从而有,代入①②得
【例11】已知斜率为1的直线与双曲线相交于两点,且的中点.
(1) 求的离心率;
(2) 设的右顶点为,右焦点为,,证明:过三点的圆与轴相切.
(1)解法一 由题设知,的方程为,代入的方程,并化简得
,设,
则.
由为的中点知,故,即. ①
故,所以双曲线的离心率.
解法二 设,则,两式相减并整理得
,由此,得,所以解得.
(2)解法一 有①知,的方程为:,
,故不妨设,
,
又,故,解得或(舍去)
故,
连接,则由,知,从而,且轴,
因此,以为圆心,为半径的圆经过三点,且在点处与轴相切,所以过三点的圆与轴相切.
解法二 过三点的圆与轴相切,则应是切点,又是弦的中点,可猜想,此时,即,且,
事实上,当时,设,由得
所以,又,所以该圆以为直径,且与轴相切与点,
评注 本题(1)的解法二运用的是点差法.(2)则充分运用平面几何知识,作出“”的猜想,进而通过验算证明此猜想,使原问题得到简便解答.
【例12】如图3-5-9所示,已知,直线,
椭圆, 分别为椭圆的左、右焦点.
(1) 当直线过右焦点时,求直线的方程.
(2) 设直线与椭圆交于两点,
的重心分别为.若原点在以线段为直径的圆内,求
实数的取值范围.
讲解 (1)因为直线经过,
所以,得,
又因为,所以,故直线的方程为.
(2)解法一 ,由,消去得.
由,知,
且有
由于,故为的中点.
由,可知,
.
设是的中点,则. 由题意可知,
即,即,
而,
所以,即,又因为且,所以,
所以的取值范围是.
解法二 由为的重心,知三点共线,同理三点共线,由原点在以线段为直径的圆内,可知,即,
设,则,所以,
,得;由得,
将,代入,化简整理,可得,
因此,可得的取值范围是.
评注 本题是2010年浙江省高考试題,解法一是命题者提供的答素,条件中重心
的转化较繁琐,利用条件中“点在为直径的圆内”,写出“”不易想到,且运算量较大,解法二利用平面几何知识“直径所对圆周角为直角的推广,得到,使解答更自然简捷.
【例13】(2011年高考全国卷Ⅱ第21题)如图3-5-10所示,已知为坐标原点,为椭圆在轴正半轴上的焦点,过且斜率为的直线与交于两点,点满足
(1)证明:点在上;
(2)设点关于点的对称点为,证明:
四点在同一圆上.
讲解(1)略
(2)因为点关于点的对称点为,
所以三点共线,即点在直线上.
设,线段的中点.
由得,所以
,
所以,即.
设直线的参数方程为,
代入椭圆方程,得.
所以因此,,
由相交弦定理的逆定理可知,四点在同一圆上.
3.6 运用曲线系方程
方程或方程组的解法思想一般是:多元则消元,高次则降次。对此,学生都有足够的认识与体会,因为这是解方程或解方程组的基本出发点,或者可以说已形成了大家的一种思维模式,但对利用曲线系方程巧妙地解题往往被师生所忽视,从而导致部分试题在解题时出现繁杂的计算过程。阻碍结题顺利进行。甚至思维受阻,无功而返.试想,如果学生能熟练掌握曲线系方程,并在相关问题中加以运用,那么解题过程一定会更加流畅,解题效率也将会大大提高.下面从三个角度通过实例形式对曲线系的类型、性质、特征加以解读。
3.6.1一次曲线系方程
从图形角度来讲,一次曲线系方程所对应曲线是直线,不同类型的一次曲线系方程则对应满足不同的条件的直线系,下面进行分类解读.
类型一:过定点型直线系方程
①过定点的直线系方程:
②若直线:与直线相交于点,
过P的直线系方程:,其中为参数。
类型二:平行直线系方程
①与直线平行的直线系方程:
②与直线垂直的直线系方程:
类型三:与距离相关直线系方程
①与原点距离等于定值的直线系方程:
②在两坐标轴上的截距和为定值的直线系方程:
一次曲线系方程主要可用以解决直线过定点问题、过两直线交点同题以及一些与直线
相关的问题,下面以只然问题为例说明。
【例1】求经过两直线的交点,且平行于直线的直线方程。
解法一因为所求直线经过两直线的交点,所以可设为,因为,整理可得
,由于已知直线的斜率为-3,所以,,解得,将代入
化简得,此即为所求直线方程。
解法二因为所求直线与直线平行,故可设,
因为所求直线过两直线的交点,
解方程组2x-3y=1,3x+2y=2,得x=813,y=113,
把点(813,113)代入y+3x+λ=0,得λ=-2513,故所求直线方程为
解法三过两直线的交点的直线系方程可设为
λ12x-3y-1+λ23x+2y-2=0(λ1≠0),
即2+3λ2λ1x+-3+2λ2λ1y+-1-2λ2λ1=0,而与直线平行的直线系方程为,比较系数2+3λ2λ13=-3+2λ2λ11=-1-2λ2λ1λ,解出λ=-2513,
故所求直线方程为。
评注:本题难度不大,但它不仅能监测学生的基本运算能力,更能有效锻炼学生的发散思维能力。
【例2】(2008年高考江苏卷试题)在平面直角坐标系中,设△ABC的顶点分别为A(0,a)B(b,0)C(c,0),点P(0,p)在线段AO上(异于端点),设a,b,c,p均为非零实数,直线BP,CP分别交AC,AB与点E,F,一同学已正确算出OE的方程:
1b-1cx+1p-1ay=0,请你求OF的方程:x+1p-1ay=0.
讲解由截距式得直线AB:xb+ya=1,直线CP:xc+yp=1,因为F可以看作是直线CP与AB的交点,由一次曲线系方程可知,可设直线OF的方程为xb+ya-1+λxc+yp-1=0,因为直线OF过原点O(0,0),代入可得λ=-1,故直线OF的方程为
1c-1bx+1p-1ay=0.
评注 合理、恰当、准确地运用曲线系方程,往往可以使解题事半功倍,当然前提条件是必须熟悉各类曲线系.
【例3】进过点(3,2)的一条动直线分别交x轴,y轴于点M,N两点,设Q为MN的中点,连结OQ并延长到P,使|OP|=2|OQ|,求点P的轨迹方程.
讲解因为点(3,2)为两条直线x-3=0和y-2=0的交点,则过点(3,2)的直线系方程为x-3+λy-2=0(不包括直线y-2=0).于是得M3+2λ,0,N0,2+3λ,设点Q,P的坐标分别为(x0,y0)和(x,y),则x=2x0y=2y0,因为点Q为MN的中点,由中点公式得x=3+2λy=2+3λ,消去参数λ得点P的轨迹方程为y=2+6x-3,x≠3,即xy-2x-3y=0,x≠3。
评注过定点的直线不一定非要设成点斜式方程,也可以创造性地构造两条过定点的直线,然后再用直线系方程表示。
【例4】已知点H(0,-3),点P在x轴上,点Q在y轴正半轴上,点M在直线PQ上,
且满足HP·PQ=0,MP=-23MQ .
⑴当点P在x轴上移动时,求动点M的轨迹C的方程;
⑵求定点A(a,b)的直线与曲线C相交于两点S、R,求证:曲线C在S、R两点处的切线的交点B恒在一条直线上.
讲解⑴(过程略去)曲线C的方程为y=14x2(x≠0).
⑵设Sx1,14x12、Rx2,14x22(x1≠x2)则直线SR的方程为
y-x124=x224-x124x2-x1(x-x1),即4y=x1+x2x-x1x2.
因为点A在直线SR上,所以4b=x1+x2a-x1x2,①
对y=14x2求导,得y'=12x,所以曲线C上S、R处的切线方程为
y-x124=12x1x-x1,即4y=2x1x-x12。②
y-x224=12x2x-x2,即4y=2x2x-x22。③
联立方程②③解得x=x1+x22,y=x1x24,代入①得ax-2y-2b=0,
故交点B恒在一条直线ax-2y-2b=0上.
评注过点A有一直线系,即直线SR,过点S、R又有一直线系,即切线SB、RB,但切线SB、RB上没有定点,只与点S、R有关.因此,交点B的轨迹须由三个直线系方程共同确定.
【例5】在四边形ABCD中,对角线AC平分∠BAD,在CD上取一点E,BE与AC相交于F,延长DF交BC于G,求证:∠GAC=∠EAC。
讲解如图3-6-1所示,以A为原点,AC所在直线为x轴建立直角坐标系。
设Cm,0、Fn,0、Dx1,kx1.
因为AC平分∠BAD,故设B(x2,-kx2),所以CD的方程为
x-x10-kx1=y-kx1(m-x1),
即kx1x+m-x1y-kmx1=0;
BF的方程为x-x20+kx2=y+kx2(n-x2),
即kx2x+n-x2y-knx2=0;
过点E的直线系方程为
kx1x+m-x1y-kmx1+λ(kx2x+n-x2y-knx2)=0.
又点E(0,0),代入上述方程得λ=-mx1nx2,
整理直线AE方程得kx1x2n-mx+mnx1+x2-x1x2n+my=0.
同理可得,直线AG的方程为kx1x2n-mx+mnx1+x2-x1x2n+my=0.
显然,直线AE、AG的斜角互补,由图3-6-1可知,E在x轴上方,G在x轴下方,因此,
∠GAC=∠EAC得证。
【评注】解析法解决平面几何问题确实可以使试题的思维量大大下降,又因为直线系方程的巧妙运用,使得解析法证明过程中的计算量降到了最低。
【例6】(2003年高考天津卷试题)已知常数a>0,向量c=(0,a),i=(1,0),经过原点O以c-2λi为方向向量的直线与经过定点A(0,a),以i-2λc为方向向量的直线相较于点P,其中λ∈R。试问:是否存在两个定点E、F,使得|PE|+|PF|为定值,若存在,求出E、F的坐标;若不存在,说明理由。
讲解因为i=(1,0),c=(0,a),所以c+λi=λ,a,i-2λc=(1,-2λa),所以直线OP和AP的方程分别为λy=ax①和y-a=-2λax②
由②得y2-ay=-2λyax③,
将①带入③,消去λ得关于x、y的方程
2a2x2+(y-a2)2=a24,即x218+(y-a2)2a24=1.
因为(x、y)即为点P的坐标,显然,点P在以(0,,a2)为中心的椭圆或园上,下面分情况说明。
当00时,表示共焦点椭圆系;当-c20.
由Δ2=36+49+2λ>0,得λ>-9.
综上,λ的取值范围为(-1,0)∪(0,+∞)。
(2)由(1)知,lAB:y=x+1,lCD:y=3-x,所以经过A、B、C、D四点的曲线系方程为
x-y+1x+y-3+tx2-y22-λ=0,
即1+tx2-1+t2y2-2x+4y-3-tλ=0.
若A、B、C、D四点共圆,则有1+t=-1+t2≠0,即t=-43.
将t=-43代入①,得(x+3)2+(y-6)2=4x+9.
因为λ∈-1,0∪0,+∞,所以A、B、C、D均在以(-3,6)为圆心,2λ+9为半径的圆上。
评注 第(1)问是一个基本问题,第(2)问的关键是确定A、B、C、D四点即在曲线
x-y+1x+y-3=0上,也在双曲线x2-y22=λ上,从而可设出经过这四点的曲线系方程①,然后由方程①表示圆的条件求得参数t=-43,问题得到解决。
【例15】如图3-6-3所示,抛物线E:y2=2px(p>0)的焦点为F,△ABC的三边BC、CA、AB所在直线与抛物线E分别相切与点P、Q、R。证明:A、B、C、F四点共圆。
讲解 设Py122p,y1,Qy222p,y2,Ry322p,y3,
则lBC:y1y=py122p,y1,即px-y1y+y122=0.
同理,lCA:px-y2y+y222=0,lAB:px-y3y+y322=0.
于是,经过直线AB、AC交点A的直线系方程为px-y2y+y222+λpx-y3y+y322=0,
即p1+λx-y2+λy3y+y22+λy322=0. ①
因为FA是该直线系中的一条,将点F(p2,0)代入上式,得
p221+λ+y22+λy322=0,解得λ=-y22+p2y32+p2.
所以,kFA=p(1+λ)y2+λy3=p(1-y22+p2y32+p2)y2-y22+p2y32+p2=p(y2+y3)y2y3-p2.
同理,kFC=p(y1+y2)y1y2-p2.
所以,tan∠AFC=kFC-kFA1+kFA∙kFC=p(y1+y2)y1y2-p2-p(y2+y3)y2y3-p21+p(y1+y2)y1y2-p2∙p(y2+y3)y2y3-p2
=p[y1+y2y2y3-p2-(y2+y3)y1y2-p2]y1y2-p2y2y3-p2+p2(y1+y2)(y2+y3)=p(y3-y1)y3y1+p2.
又tan∠ABC=kBC-kBC1+kBA∙kBC=py3-py11+py3∙py1=-p(y3-y1)y3y1+p2,
所以tan∠AFC=-tan∠ABC,则tan∠AFC+∠ABC=180°.
故A、B、C、F四点共圆。
评注 由于AF是经过直线AB、AC交点的直线系中的一条,所以将点F的坐标(p2,0)代入①便求得参数λ的值。
【例16】已知三角形三边所在直线方程分别为x-6=0、x+2y=0和x-2y+8=0.
求这个三角形的外接圆方程。
讲解 经过三角形三顶点的二次曲线系方程为
x-6x+2y+λ1x+2yx-2y+8+λ2x-6x-2y+8=0,整理得
1+λ1+λ2x2+2-2λ2xy-4λ1y2+8λ1+2λ2-6x+16λ1+2λ2-12y-48λ2=0.此方程表示圆的充要条件是1+λ1+λ2=-4λ1和2-2λ2=0同时成立,得λ1=-25且
λ2=1,代入原方程,得x2+y2-92x-4y-30=0,此即为所求的外接圆方程。
评注 若三条直线A1x+B1y+C1=0、A2x+B2y+C2=0和A3x+B3y+C3=0两两相较于相异三点,则经过这三个点的二次曲线方程为(A1x+B1y+C1)A2x+B2y+C2+λ1A2x+B2y+C2A3x+B3y+C3+λ2A3x+B3y+C3A1x+B1y+C1=0,第一个乘式上可以不设置参数。
3.6.3 一般型过交点(定点)曲线系方程
从上述分类可以发现,曲线系的类型确实较多,但在高中段较为常见或者说运用价值较高的曲线系,应该是过交点型的曲线系方程,因为它不仅可以统一形式,更重要的是可以使问题明朗、清晰,而且能让解题过程大大优化。
类型七:过交点型统一曲线系方程
若曲线C1:f1x,y=0与曲线C2:f2x,y=0有公共点Pi(i=1,2,…),则曲线系方程:
λ1f1x,y+λ2f2x,y=0表示过点Pi的曲线。
此类曲线系方程不仅包括了前面一次、二次过交点曲线系方程,更是把过交点曲线系方程推导到了一般形式,只要两曲线有交点,那么过交点的曲线就可以用上述方程表示。用此曲线系方程确实可以大大简化解题过程,下面同样用例题说明。
【例17】(2011年高考全国卷Ⅱ试题)已知O为坐标原点,F为椭圆C:x2+y22=1在y轴正半轴上的焦点,过F且斜率为-2的直线l与C交于A、B两点,点P满足
OA+OB+OP=0.
(1)证明:点P在C上;
(2)设点P关于点O的对此点为Q,证明:A、P、B、Q四点在同一圆上。
讲解(1)略.
(2)由(1)得因为P、O、Q三点共线,易求得直线PQ的方程为.又直线AB的方程为,即,故直线AB、PQ的的二次方程为由此可设过点A、P、B、Q的曲线系方程为
①
即,令得
把代入①式化简得.
因为,所以此方程表示一个圆,故A、P、B、Q四点在同一圆上.
评注 通过构造二次曲线系系方程,然后运用二次方程表示圆的充要条件求解与四点共圆相关问题,不仅程序化、算法化,更具有操作性强便于掌握的特点,用此方法解题的难点和关键是要理解过交点曲线系方程这一方法斯蕴含的数学思想
【例18】(蝴蝶定理)过圆AB弦的中点M,任意作两弦CD和EF,CF与ED交弦AB于P、Q.求证:PM=QM.
讲解 如图3-6-4所示,以M为原点,AB所在直线为x轴建立直角坐标系,设圆方程
设直线CD、EF的方程分别为将它们合并为于是过点C、D、E、F的曲线系方程为;令,得,即过点C、D、E,F的曲线系与AB交于点P、Q的横坐标是方程的两根,由韦达定理得,即M是PQ中点,故PM=QM。
评注 事实上,线段AB与圆相切或相离,或将圆改为椭圆、双曲线、抛物线以上结论仍然成立。
【例19】已知椭圆与双曲线
有四个交点,求证此四个交点共圆,并求出此圆的中心坐标。
讲解 设过和交点的曲线系方程为
(不包括),
即,
显然当,即时,曲线系方程表示一个过和交点的圆,
将代人曲线系化简得,
即椭圆与双曲线的四个交点共圆.不难看出,此圆的中心坐标为
评注 过曲线交点的曲线方程,一般都可以设成统一型曲线系方程,但是否一定要设成
带两个参数方程应该具体问题具体分析,或直接采用分类计论。
【例20】自点向椎圆引两条切线,切点为,又自点向此圆引两条切线,切点为.证明:、、、六点在一条二次曲线上
讲解 设椭圆方程为(a>0,b>0),,,则过切点的直线方程为,则过切点的直线方程为,所以经过、的二次曲线方程设为.
显然、的坐标满足此方程,而此方程又是二次方程,所以、、、六点在一条二次曲线上。
【例21】设0<a<b,过两定点和分别引直线l和m,使之与抛物线有四个不同交点,当这四个点共圆时,求直线l与m交点P的轨迹.
讲解 利用共交点曲线系方程求解,设l的方程为的方程为
,于是过与的四个交点的二次曲线系方程可设为
,即
它为圆的充要条件是1+λ=λk1k2-λk1+k2=0,即k2=-k1λ=-11+k2,
故交点P(x,y)的坐标为为即点P在线段的中垂线上,
故点P的轨迹是直线(除去和的交点).
评注 解本题的常规思路是:分别设过定点A、B的两条直线方程,用代入求出四个交点,由其中三点确定一个圆,代入第四点,化简整理,或求出过定点A、B两直线的交点,用相交弦定理求解,但也较烦琐.而以上解法非常简洁,关键是利用直线和抛物线合成了二次曲线系。
3.7 利用恒等式解向量题
向量问题是高考命题的热点,也是考生心目中的“难点”所在.综观历届高考向量题,虽然题目千变万化,既没有一招制胜的“妙招”,也没有放之四海而皆准的“通法”,但方法选择是否恰当关系很大,效果週异。
笔者在研究向量问题时发现,充分利用“恒等式”往往能给解向量问题带来惊喜.好些题目可以用恒等式“妙杀”
重要恒等式:
极化恒等式:
如图所示,在△ABC中,易推导得到以下恒等式:
(1)当M为BC中点时,有
(2)当M为为BC中点时,有
(3)当M为一般的等分点时,即时,有
【例1】(2012年高考安徽卷第14题)若平面向量满足的最小值是 。
讲解 运用极化恒等式,得
因此的最小值为
【例2】(2012年高考浙江卷第15题)在△ABC中,M是BC的中点,,
。
讲解
解法一 运用极化恒等式,得
故
解法二 建系法.设
则
解法三 解三角形法,在三角形内运用余弦定理,
得
相加,得
解法四 作为填空题也可以用特殊化的方法,假设△ABC是以AB=AC的等腰三角形.
AM=3,BC=10,
【例2】 在直角梯形ABCD中,AB∥CD,AD⊥AB,∠B=45°,AB=2CD=2,M为腰BC中点,则= ( )
A.1 B.2 C.3 D.4
讲解 如图3-7-2所示,运用极化恒等式,得
所以=2
【例4】(2013年高考浙江卷第7题)设△ABC,是是边AB上一定点,满足,且对于边AB上任一点P,恒有,则( )
A.∠ABC=90° B.∠BAC=90° C . AB=AC D . AC=BC
解法一 运用极化恒等式,设D为BC的中点,则由得
即,即,故设E为AB的中点,
则CE⊥AB,所以AC=BC.
解法二 设
则
由题意,当时,取最小值,即2
则
即,即,故选D.
解法三 如图3-7-3所示,以A为坐标原点,AB为x轴建立直角
坐标系,设B(4t,0),P(x,0),C(m,n),则(3t,0),
当时取最小值,故,,
故点C在AB的垂直平分线上,即AC=BC,故选D.
与此题相类似的有:(2013年浙江省数学竞赛)已知直线AB与抛物线交于A、
B两点,M为AB的中点,C为抛物线上一个动点,若满足则下列一定成立的是
,其中是抛物线过的的切线
讲解 运用极化恒等式
得
即即即
当是抛物线过的切线时,
【例5】如图3-7-4所示,在△ABC中,AB=3,AC=5,若O为
△ABC的外心,则·的值是 。
讲解 设D为BC的中点,连结OD,AD,则OD⊥BC,
于是·····
利用恒等式,有··
【例6】 给定两个长度为1的平面向量和,它们的夹角为120°.如图3-7-5所示,点C在以O为圆心的圆弧上变动,若
,其中,则x+y的最大值是 。
解法一 如图3-7-6所示,设OC与AB交于D点,
设,由已知,得,
即,
因为A,D,B共线,因此.
由知,当垂直时取取等号
解法二 设OC⋅OA=xOA⋅OA+yOB⋅OA.OC⋅OB=xOA⋅OB+yOB⋅OB
即cosα=x-12y.cos120°-α=-12x+y
∴
解法三 建立如图3-7-7所示的坐标系,则
由柯西不等式知
解法四 坐标系模型“移植”。如图3-7-8所示建立斜坐标系,则C(x,y)在以O为圆心的弧AB上变动,则问题变成求斜坐标系下的目标函数在y轴上的截距的最大值,从而易知直线与AB平行且与弧AB相切时最大,最大值为2。
【例7】(江淮名校2013届最后一卷第10题)如图3-7-9所示,A,B,C是圆O上的三点,线段CO的延长线与线段BA的延长线交于圆O外一点D,若,则m+n的取值范围是
A.(0,1)
解法一 可用恒等式,令由已知条件,
知
因为B,A,D三点共线,所以即
解法二 构图法.如图3-7-10所示,过点O作直线EF∥AB交圆于E,F,延长AO交圆于G点,则点C在弧GF(不含端点)上,由题意知:
当C在F点时,m+n=0;
当C在G点时,m+n=-1,因此,
【例8】O为△ABC所在平面内一点,且满足
则△AOC与△BOC的面积的比值为
A.2:1 B.3:1 C.4:1 D.5:1
解法一 构图法.如图3-7-11所示,构造等边△ADE,O为其重心,则取点B、C,使则有选A
解法二 由得,
故可按下列方法作出符合题意的一般图形,如图3-7-12所示,在AB上取点D,使则有再作的相相反向量.
,选A
【例9】如图3-7-13所所示,已知圆O的半径为2,A、B是圆上两点且∠AOB=是一条直径,点C在圆内且满足则的最小值为
A.-2 B.-1 C.-3 D.-4
解法一 极化恒等式.因为所以A,B,C三点共线.因为O为MN的中点,所以因为而的最小值显然是点O到直线AB的距离,即为1,所以的最小值为-3,即选C.
解法二 特值法.因,又因为A、B、C三点共线,显然当CM与AB垂直时,可以达到最小值1.而此时,所以的最小值为-3,即选C.
解法三 建系.因为点,所以所在直线线AB的方程为设M,N的坐标分别为且有设点C坐标为,则有因为而点C在直线AB上,所以当时,有最小值1,所以的最小值为一3,即选C.
【例10】在平行四边形ABCD中,AD=1,∠BAD=60°,E为CD的中点,若
=1,则AB的长为 .
讲解 如图3-7-14所示,作取EF的中点G,则
由命题知,
解得或AB=0(舍去),故AB的长为
【例11】(2014年湖北省八校联考题)已知AB是半圆O的直径,
AB=2,等边三角形OCD的顶点C、D在半圆弧AB上,且CD∥AB,
点P是半圆弧AB上的动点,则的取值范围是( )
讲解 如图3-7-15所示,取线段CD的中点M,连接PM.由极化恒等式,得,注意到AB是半圆O的直径,AB=2,△OCD是等边三角形,OC=OD=CD,所以所以
如图3-7-15所示,连接OM并延长交半圆弧AB于N,连接BM,易知,
.
点P是半圆弧AB上的动点,当点P运动到到N点时,线段PM的长度最小,其最小值等于线段MN的长度;当点P运动到到B点时,线段PM的长度最大,其最大值等于线段BM的长度,于是即所以即的取值范围是选A.
点评 本题难度较大,得分率偏低.若借用极化恒等式得出,便
找到了解题的突破口,其余问题也就迎刃而解了
好题新题精选(三)
1.在正三角形ABC中,D是BC上的点,AB=3,BD=1,求·.
2.在中,AB=2,AC=3,D是边BC的中点,求・
3. 如图所示,已知四边形ABCD,AC是BD的垂直
平分线,垂足为为直线BD外一点,设向量求·的值.
4.正方体的棱长为2,是它内切球的一条弦(把球面上任意2个点之间的线段称为球的弦),P为正方体表面上的动点,当弦最长时求·的最大值。
5.点P是棱长为1的正方体的底面面上一点,求·
的取值范围.
6.设正方形的边长为4,动点P在以AB为直径的圆弧APB上(如图所示),求·的取值范围。
7.若点O和点F分别为椭圆的中心和左焦点,点P为
椭圆上的任意一点,求・的最大值.
8,在中,点分别是线段的中点,点P在直线上,若△ABC的面积为2,求·+的最小值.
9.平行四边形中,若,且求·.
10.在中,··,求三角形面积的最大值。
11.在中,求·的最小值
12.如图所示,在平面直角坐标系中,圆分别
交x轴正半轴及y轴负半轴于M、N两点,点P为圆C上任意一点,求·的最大值
好题新题精选(三)解答
1. 2.
2. 分解法。
4,可用恒等式,设球心为O,半径为R,则-4,当PO为对角线长的一半时最大,答案为2.
5.可用恒等式,设AC中点为M,则·注意到
因此,答案为
6.取CD的中点E,连结PE,则=,注意到∈[2,2],则•的取值范固为.
7.设OF的中点为M,则由极化恒等式,有•=││2-││2=││2-,易知P点到M点的最大值为,即P点为椭圆右顶点时取得.因此,所求最大值为6.
8.如图所示,取BC中点D,则则・=││2-││2,所以
・+2=││2+│2.
由△ABC的面积为2得△ABC的高为,
又EF为△ABC的中位线,故△PBC的高为,从而PD≧,因此,,当且仅当PD⊥BC,BC=时等号成立。
9. (O为AC的中点),所以有
10.(O为AC的中点),因为,所以AO=4,显然当AO为BC边上的高时,三角形ABC的面积达到最大为12.
11.如图所示,取BC的中点D,由定理知,,而△ABC内接于圆O,其中∠BOC=,点A在劣弧上运动,所以当AD⊥BC时,AD有最小值,为,故的最小值为。
12.取MN的中点Q,由定理知,,而PQ≤
OQ+2=+2,所以的最大值为4+
3.8构造函数巧解题
构造函数的思想是数学中的一种重要的思想方法,它体现了数学的发现、类比、化归、猜想、实验和归纳法等思想,构造需要以足够的知识经验为基础,较强的观察能力、综合运用能力和创造能力为前提,根据题目的特征,对问题进行深入分析,找出“已知”与“所求(所证)”之间的联系纽带,学会另辟蹊径,使解题水到渠成.分析近些年的高考,发现构造函数的思想越来越重要,而且很多都用在压轴题(无论是主观题还是客观题)的解答上。
构造函数的主要步骤有
1.分析.分析已知条件,联想函数模型.
2.构造.构造辅助函数,转化问题本质
3.回归.解析所构函数,回归所求问题
【例1】(2017年高考浙江卷第22题)已知数列满足:证明:当时,
(1)
(2)
讲解 (1)构造函数
下面用反证法证明>0.假设存在使得
则,以此类推可得,
这与已知条件矛盾,∴>0.∴,即
此小题也可用数学归纳法证明
(2)由得
评注 本题为2017年浙江高考卷的最后一题,主要考查数列的概念、递推关系与单调性等基础知识,不等式及其应用,同时考察推理论证、分析问题和解决问题等能力,属于难题。构造函数的思想在本题中起到至关重要的作用,根据题知结构形式构造相应函数,利用函数的性质判断数列的单调性,进而达到破解求证的效果。
【例2】(2015年高考福建卷(理)第10题)若定义在R上的函数f(x)满足f(0)=-1,其导函数满足,则下列结论中一定错误的是( )
A
B
C
D
讲解
解法一 构造一般函数
有已知条件,可以构造函数,则,
故g(x)函数在R上单调递增,且,故,
所以,即,所以C一定错误,D无法判断。
构造函数h(x)=f(x)-x,则,故h(x)在R上单调递增,且,所以,则A,B无法确定真伪,故选C。
解法二 构造特殊函数
取满足题意的函数f(x)=2x-1,若取,则,排除A;
若取,则,排除D;
取满足题意的函数f(x)=10x-1,若取k=2,则,排除B;
故结论中一定错误的是C。
评注 此题为改卷选择题最后一题,且为选错题,与日常训练较多的追寻正确答案的思维逻辑相悖,有一定难度,破解之法在于根据题知线索,构造函数。构造特殊函数可排除三个正确选项,但不能说明选项C为何错误,而构造一般函数可说明选项C错误的原因,两则相辅相成。
【例3】(2017年全国高考新课标Ⅲ(理)第11题)已知函数有唯一零点,则a=_______
A
B
C
D
讲解 函数的零点满足。
设,则
当时,x=1,当x<1时,,函数g(x)单调递减;
当x>1时,,函数g(x)单调递增。
当x=1时,函数取得最小值g(1)=2。
设,当x=1时,函数取得最小值-1,
若-a>0时,函数h(x)与函数ag(x)有一个交点,即-a×2=-1,解得,故选C。
评注 函数零点的应用主要表现在利用零点求参数范围,若方程可解,通过解方程即可得出参数的范围,若方程不易解或不可解,则将问题转化为构造两个函数,利用两个函数的图像的关系求解,这样会使问题变得直观、简单,这也体现了数形结合思想的应用。
【例4】(2016年全国高考课标Ⅰ卷(理)第21题)已知函数有两个零点。
(1)求a的取值范围;
(2)设是f(x)的两个零点,证明。
讲解 (1)可用直接法求解,对参数a进行讨论,利用导数判断单调性,得出函数的值域,确定a的取值范围为,亦可用分离参数方法求解。详解略。
(2)解法一 整体构造。
因为,
所以,所以。
构造函数,
所以
当x≠1时,,
所以F(x)在上单调递增,在上单调递减,而F(1)=0。
所以当时,f(x)<g(x);当时,f(x)>g(x)。
设的两个零点为,则。
所以,则,得证。
解法二 局部构造
不妨设,由解法一知,,,又f(x)在
上单调递减,所以等价于,即.
由于,而,
所以
构造函数,则.
所以当x>1时,,而g(1)=0,故当x>1时,g(x)<0.
从而,故.
评注 本题为高考压轴题,考查知识全面,难度较高,特别是第二问的证明,此题可以通过构造函数解决,普遍的想法进行整体构造,利用倒数判断单调性,回归函数的值域求解,推荐的方法是先用分析法进行转换,再根据需要进行构造,以达到事半功倍.
【例5】已知函数,且恒成立,求a的取值范围。
讲解 解法一 含参直接构造。
构造函数
令
(1) 若在上单调递增,
∴在上单调递增,,从而,不符合题意.
(2) 若,当时,,∴在上单调递增,
从而,以下论证同(1),所以不符合题意.
(3)若在上恒成立,
∴在上递减,
从而
综上所述:a的取值范围是
解法二 巧妙两段构造
当x≥1时,恒成立等价于
不等式两端分别构造函数:
即h(x)在上是增函数.
当时,g(x)在上是增函数.
又∵h(1)=g(1)=0,∴要使恒成立,只需
易解得:
评注 此题的一题多解从不同的角度进行,思维量和计算量存在很大的差距,值得推荐的是解法二,从题目结构分析出破解要点,可以极大幅度地减小计算量。但无论是哪种方法,都用到了构造函数的方法,它是处理函数问题的重要方法,也是解决导数的重要途径。
【例6】(2015年高考广东卷试题)数列满足:
(1)求的值
(2)求数列的前n项和;
(3)令,数列的前n项和为.求证:
讲解 (1)n用2、3代入解方程可得
(2)当n=1时,;
当n≥2时,n用n-1代入后两式相减得:,
此时经检验知也满足,故
(3)由(1)(2)知,
当时,
当n=1时,,成立;
当时,
现只需证明:
构造函数,
在上单调递增,
在上恒成立,即,
令,则,
从而可得,
将以上n-1个式子同向相加即得
故
综上可知,
评注 此题(1)(2)问难度不大,但第(3)问难度较大,应首先求得,并由得到,
再用构造函数,结合不等式用放缩法证
3.9 最值函数的妙用
定义 记
定理一.
定理二
定理三
定理四 设f(x)在闭区间I上连续,则
这个式子的含义即在数轴上的点与b之间的距离的最大值的最小值是在当b落在区间中点时取得的,且此时这个最大值的最小值等于区间长度的一半.
特殊情况有,当b=0时,绝对值函数g(x)=|f(x)|在区间I上的最大值的最小值等于原函数y=f(x)在区间I上的最大值与最小值之差(全距差)的一半,即
【例1】(2006年浙江高考卷第12题)函数的最小值是_________.
讲解 直接运用定理一可以秒杀,由定理一,得
.
【例2】(2014年浙江高考卷第8题)设为平面向量,则
A
B
C
D
讲解 解法一 构造如图3-9-1,所示平行四边形,若向量的夹角为锐角,则构成锐角△OAB的三边,不存在绝对的大小关系;而此时构成钝角△OBC的三边,∠B为钝角,排除选项A、B、C,故选D。
解法二 直接运用定理一,得
【例3】已知过,若存在整数n,使,则与的关系为 ( )
A
B
C
D不能确定
讲解 由题意可知,,
.
运用定理一及均值不等式有
因此,选B.
【例4】(2016年12月浙江高考模拟卷第10题)已知f(x),g(x)都是偶函数,且在上单调递增,设函数,若,则有( )
A
B
C
D
讲解 解法一 由题意知F(x)=2min{f(x),g(1-x)},而f(x),g(x)都是偶函数,且在上单调递增,
所以
所以
解法二 特殊化法,取
则
评注 通过现象看出问题本质为两个函数的最小值,借助最值函数判断大小,方便快捷.
【例5】(2017年浙江高考卷第17题)已知,函数在区间上的最大值为5,则a的取值范围是___________.
讲解 , 令,则原题转化为求“函数,当最大值为5时,a的取值范围”.
解法一 有带绝对值的一次函数的性质,考虑两个端点的中点值可知,
当时,符合题意,
当时,若2a-4=5,
得与前提矛盾,所以.
解法二 考虑到最大值必在端点处取得,
即,所以,即.
解法三 直接分类讨论。
若,则,满足题意;
若,则,无解;
若,则,
故,.
综上所述,.
解法四 如果从不等式恒成立与取绝对值的角度,还可做如下思考:
不等式对恒成立,所以恒成立,
即对恒成立,所以.
【例6】求.
讲解 解法一 考虑分段的最值,
可得当x=4时取最大值2。
解法二,
可得最大值为2.
【例7】求
讲解 记,则,
当且仅当时取等号,
所以.
【例8】(2016年杭州市二模理科第14题)求。
讲解 记,
则
。
令t=x+2y,上式可视为关于t的二次函数,易求得最小值为,
所以,当时取得最小值。
【例9】(2015年高考浙江卷(理)第18题)设函数,记
M(a,b)为y=|f(x)|在[-1,1]上的最大值,已知,求证。
证法一 由 得对称轴为直线,
由,得,故f(x)在[-1,1]上单调,
。
证法二 记,运用定理四,
则。
因为,所以,所以对称轴在区间外[-1,1],故f(x)单调。
所以。
【例10】函数的定义域为[0,2],记|f(x)|的最大值是M,求M的最小值。
解法一 ,
所以。当且仅当b=-4,c=1时,取得等号。
解法二
,
所以。
解法三
所以。
解法四 与是“全等”函数,即图像可以通过平移得到。
因为|f(x)|的最大值是M,故,
在区间[-1,1]上的最大值为g(-1),最小值为g(0),
即,所以。
好题新题精选(四)
1.设x,y为实数,则
2.求
3.求
4.求
5.(2016年浙江高考样卷)设二次函数,记M(a,b,c)为|f(x)|在[0,1]上的最大值,则的最大值是_____________.
6.
7.求证:.
8.(2016年4月浙江学考第18题)已知,对任意,存在,使得成立,求m的取值范围.
好题新题精选(四)解答
1.
2.4
3.记
则
当时取等号
4.解法一 令
解法二
5.
6.设,则,
即有有
于是可得,且当时,,
因此,
7.证法一 记,
则,所以
证法二 ,所以
证法三 运用定理四,
所以
8.有题意知
解法一 记,则
所以,所以,所以
解法二
因为,所以单调递增,
故,
所以,所以

