所属成套资源:初升高暑假预科数学讲义课件
- 南京师大附中高一暑假数学作业 试卷 0 次下载
 - 高一升高二数学预科——直线与圆 课件 1 次下载
 - 2022新高一暑假数学讲义 试卷 0 次下载
 - 高一数学预科课件——含参绝对值的二次函数 试卷 0 次下载
 - 暑假新高一第一册预习培基同步讲义 其他 4 次下载
 
新高一暑假讲义21讲(编辑精美,暑假上课必备)
展开
这是一份新高一暑假讲义21讲(编辑精美,暑假上课必备),文件包含第18讲一元二次不等式及其应用解析版pdf、第15讲基本不等式的应用1解析版docx、第17讲二次函数与一元二次方程解析版docx、第14讲基本不等式解析版pdf、第13讲等式性质与不等式性质解析版docx、第21讲不等式恒成立问题与能成立问题解析版docx、第7讲集合的运算补集解析版docx、第8讲充分条件和必要条件解析版docx、第6讲集合的运算交集解析版docx、第5讲集合的运算并集解析版pdf、第10讲全称量词与存在量词解析版docx、第9讲充分必要条件解析版pdf、第12讲不等关系与不等式解析版docx、第19讲分式不等式解析版docx、第2讲集合的表示解析版docx、第11讲全称量词命题与存在量词命题的否定解析版docx、第16讲基本不等式的应用2解析版docx、第18讲一元二次不等式及其应用原卷版docx、第3讲集合之间的关系一解析版docx、第1讲集合的概念解析版docx、第14讲基本不等式原卷版docx、第8讲充分条件和必要条件原卷版docx、第4讲集合之间的关系二解析版docx、第17讲二次函数与一元二次方程原卷版docx、第7讲集合的运算补集原卷版docx、第6讲集合的运算交集原卷版docx、第20讲绝对值不等式解析版docx、第15讲基本不等式的应用1原卷版docx、第19讲分式不等式原卷版docx、第11讲全称量词命题与存在量词命题的否定原卷版docx、第10讲全称量词与存在量词原卷版docx、第2讲集合的表示原卷版docx、第5讲集合的运算并集原卷版docx、第21讲不等式恒成立问题与能成立问题原卷版docx、第13讲等式性质与不等式性质原卷版docx、第3讲集合之间的关系一原卷版docx、第16讲基本不等式的应用2原卷版docx、第9讲充分必要条件原卷版docx、第12讲不等关系与不等式原卷版docx、第1讲集合的概念原卷版docx、第4讲集合之间的关系二原卷版docx、第20讲绝对值不等式原卷版docx等42份课件配套教学资源,其中PPT共85页, 欢迎下载使用。
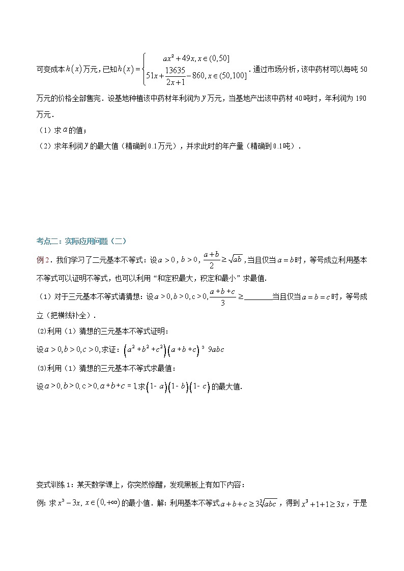
第16讲:基本不等式的应用2【学习目标】1.掌握对应的基本不等式求解最值;2.通过分析实际问题,建立函数方程,通过基本不等式求解最优解. 【基础知识】基本不等式:利用基本不等式求最值时,要注意其必须满足的三个条件:(1)“一正二定三相等”“一正”就是各项必须为正数;(2)“二定”就是要求和的最小值,必须把构成和的二项之积转化成定值;要求积的最大值,则必须把构成积的因式的和转化成定值;(3)“三相等”是利用基本不等式求最值时,必须验证等号成立的条件,若不能取等号则这个定值就不是所求的最值,这也是最容易发生错误的地方.  【考点剖析】考点一:实际应用问题(一)例1.习总书记指出:“绿水青山就是金山银山”.某市一乡镇响应号召,因地制宜地将该镇打造成“生态水果特色小镇”.调研过程中发现:某珍稀水果树的单株产量(单位:)与肥料费用(单位:元)满足如下关系:,其他成本投入(如培育管理等人工费)为(单位:元).已知这种水果的市场售价大约为10元,且供不应求.记该单株水果树获得的利润为(单位:元).(1)求的函数关系式;(2)当投入的肥料费用为多少元时,该单株水果树获得的利润最大?最大利润是多少元?【答案】(1);(2)当投入的肥料费用为元时,单株水果树获得的利润最大为元.【详解】(1)由题意可得,即,所以函数的函数关系式为.(2)当时,为开口向上的抛物线,对称轴为,所以当时,当时,,当且仅当即时等号成立,此时,综上所述:当投入的肥料费用为元时,单株水果树获得的利润最大为元. 变式训练1:今年,我国某一企业为了进一步增加市场竞争力,计划在2021年利用新技术生产某款新手机.通过市场分析,生产此款手机全年需投入固定成本250万元,每生产x(千部)手机,需另投入成本万元,且由市场调研知,海部手机售价0.7万元,且全年内生产的手机当年能全部销售完.(1)求出2021年的利润(万元)关于年产量x(千部)的函数关系式(利润销售额成本);(2)2021年产量为多少(千部)时,企业所获利润最大?最大利润是多少?【答案】(1);(2)2021年产量为100(千部)时,企业所获利润最大,最大利润是9000万元.【详解】(1)当时,,当时,,∴(2)若,,当时,万元,若,,当且仅当时,即时,万元,∴2021年产量为100(千部)时,企业所获利润最大,最大利润是9000万元. 变式训练2:在一块占地面积为1800平方米的矩形土地中间建三个矩形温室大棚,如图所示,三个大棚占地面积为s平方米,其中,大棚之间及四周路宽均为1米(图中白色部分为大棚,阴影部分为路).(1)试用x和y表示s:(2)若要使s的值最大,则x和y的值分别为多少?【答案】(1);
(2)时,取得最大值.【详解】(1)依题意可得,,则,所以(2)由(1)知所以,当,时,取得最大值. 变式训练3:在对口扶贫工作中,生态基地种植某中药材的年固定成本为250万元,每产出吨需另外投入可变成本万元,已知.通过市场分析,该中药材可以每吨50万元的价格全部售完.设基地种植该中药材年利润为万元,当基地产出该中药材40吨时,年利润为190万元.(1)求的值;(2)求年利润的最大值(精确到万元),并求此时的年产量(精确到吨).【答案】(1);(2)当年产量约为吨时,年利润最大约为万元.【详解】(1)由题意,当基地产出该中药材40吨时,年成本为万元,利润为,解得.(2)当时,利润为,因为对称轴,在上为增函数,所以当时,万元;当时,,当且仅当,即时取等号;所以当年产量约为吨时,年利润最 考点二:实际应用问题(二)例2.我们学习了二元基本不等式:设,,,当且仅当时,等号成立利用基本不等式可以证明不等式,也可以利用“和定积最大,积定和最小”求最值.(1)对于三元基本不等式请猜想:设________当且仅当时,等号成立(把横线补全).(2)利用(1)猜想的三元基本不等式证明:设求证:(3)利用(1)猜想的三元基本不等式求最值:设求的最大值. 【答案】(1)(2)证明见解析(3)【详解】(1)通过类比,可以得到当,,时,当且仅当时,等号成立;(2)证明:,,,由(1)可得,(3)解:由(1)可得,,即,由题,已知,,,,,,,当且仅当,即时取等,即的最大值为 变式训练1:某天数学课上,你突然惊醒,发现黑板上有如下内容:例:求的最小值.解:利用基本不等式,得到,于是,当且仅当时,取到最小值(1)老师请你模仿例题,研究上的最小值;(提示:)(2)研究上的最小值;(3)求出当时,的最小值.【答案】(1)(2)(3)【详解】(1)当且仅当时,取到最小值(2)当且仅当时,取到最小值(3)当且仅当时,取到最小值.   考点三:基本不等式求参例3.若正数、满足,若不等式的恒成立,则的最大值等于(    ) A. B. C. D.【答案】A【详解】已知正数、满足,可得,所以,,当且仅当时,等号成立,所以,的最小值为,.因此,实数的最大值为.故选:A. 变式训练1:已知两个正实数满足,并且恒成立,则实数m的取值范围(    ) A.  B. C. D.【答案】B【详解】因为恒成立,则,,当且仅当即时等号成立,所以的最小值为8,所以,即,解得:.故选:B 变式训练2:已知,若关于的不等式在上恒成立,则的最小值为(    ) A.1 B.2 C.4 D.8【答案】C【详解】由题得,所以,因为,(当且仅当时,等号成立)所以.所以的最小值为4.故选:C. 变式训练3:若关于x的不等式对于一切恒成立,则实数a的取值范围是(    ) A. B. C. D.【答案】C【详解】不等式对于一切恒成立,因为即不等式对于一切恒成立所以,当且仅当,即时取等号;所以关于x的不等式对于一切恒成立,等价于所以,则实数a的取值范围是.故选:C 【过关检测】1、已知,,若不等式恒成立,则实数的最大值为(     ) A.10 B.9 C.8 D.7【答案】C【详解】因为,,则,所以,当且仅当即等号成立,要使不等式恒成立,所以所以实数的最大值为8.故选:C. 2、若,且恒成立,则实数的取值范围是(    ) A.  B. C. D.【答案】A【详解】不等式恒成立,即,,等号成立的条件是,即,与条件联立,解得 ,所以的最小值是8,即,解得:.故选:A3、某化工厂引进一条先进生产线生产某种化工产品,其生产的总成本万元与年产量吨之间的函数关系可以近似地表示为,已知此生产线的年产量最小为60吨,最大为110吨.(1)年产量为多少吨时,生产每吨产品的平均成本最低?并求最低平均成本;(2)若每吨产品的平均出厂价为24万元,且产品能全部售出,则年产量为多少吨时,可以获得最大利润?并求最大利润.【答案】(1)年产量为100吨时,平均成本最低为16万元;(2)年产量为110吨时,最大利润为860万元.【详解】(1),当且仅当时,即取“=”,符合题意;∴年产量为100吨时,平均成本最低为16万元.(2)又,∴当时,.答:年产量为110吨时,最大利润为860万元. 4、某果农种植一种水果,每年施肥和灌溉等需投入4万元.为了提高产量同时改善水果口味以赢得市场,计划在今年投入万元用于改良品种.根据其他果农种植经验发现,该水果年产量(万斤)与用于改良品种的资金投入(万元)之间的关系大致为:(,为常数),若不改良品种,年产量为1万斤.该水果最初售价为每斤4.75元,改良品种后,售价每斤提高元.假设产量和价格不受其他因素的影响.(1)设该果农种植该水果所获得的年利润为(万元),试求关于资金投入(万元)的函数关系式;(2)该果农一年内应当投入多少万元用于改良品种,才能使得年利润最大?最大利润为多少?【答案】(1);(2)一年内应投入5万元改良品种,能使年利润最大,最大利润为7万元.【详解】解:(1)根据已知可得当时,所以所以.改良品种投入x万元时,销售额为所以年利润(2)因为所以,所以当且仅当即时等号成立,所以一年内应投入5万元改良品种,能使年利润最大,最大利润为7万元 5、某地政府指导本地建扶贫车间、搭建就业平台,帮助贫困群众实现精准脱贫,实现困难群众就地就近就业.已知扶贫车间生产某种产品的年固定成本为8万元,每生产()万件,该产品需另投入流动成本万元.在年产量不足6万件时,;在年产量不小于6万件时,.每件产品的售价为6元.由于该扶货车间利用了扶贫政策及企业产业链优势,因此该种产品能在当年全部售完.(1)写出年利润(万元)关于年产量(万件)的函数解析式;(2)当年产量为多少时,该扶贫车间的年利润最大?并求出最大年利润.【答案】(1);(2)当年产量为9万件时,该扶贫车间的年利润最大,最大年利润为14万元.【详解】解:(1)每件产品的售价为6元,则万件产品的销售收入为万元.依题意得,当时,.当时,.所以.(2)当时,,故当时,取得最大值4.5万元.当时,,当且仅当,即时,取得最大值14万元.所以当年产量为9万件时,该扶贫车间的年利润最大,最大年利润为14万元. 6、在“基本不等式”应用探究课中,甲和乙探讨了下面两个问题:(1)已知正数、满足,求的最小值.甲给出的解法是:由,得,则,所以的最小值为而乙却说这是错的.请你指出其中的问题,并给出正确解法;(2)结合上述问题(1)的结构形式,试求函数的最小值.【答案】(1)答案见解析;(2)最小值为.【详解】(1)甲的解法错误,原因是:使用了两次基本不等式,两次基本不等式取等号的情况不能同时成立.正确解法:,当且仅当时等号成立.(2)令,,则,,即可将“求函数最小值”转化为“已知,求”,因为,当且仅当等号成立,所以当时,函数取最小值,最小值为.  
相关课件
这是一份2023版新高一暑假预科数学讲义解析版,共220页。
这是一份【暑假自学课】9.函数的值域-2023年新高一数学暑假精品课(人教版2019必修第一册)课件PPT,共22页。PPT课件主要包含了函数值域,值域range,有界性,具体二次函数值域,换元二次函数值域,二次函数值域,分式型,双勾函数等内容,欢迎下载使用。
这是一份【暑假自学课】8.函数的解析式-2023年新高一数学暑假精品课(人教版2019必修第一册)课件PPT,共22页。PPT课件主要包含了函数的解析式,待定系数法,P46,换元法,配凑法,抽象函数求解析式等内容,欢迎下载使用。

