


2020福建省永春华侨中学高一下学期第二次寒假月考数学试题含答案
展开
这是一份2020福建省永春华侨中学高一下学期第二次寒假月考数学试题含答案,共13页。试卷主要包含了选择题(总分60分,每题5分),填空题(总分20分,每题5分),解答题等内容,欢迎下载使用。
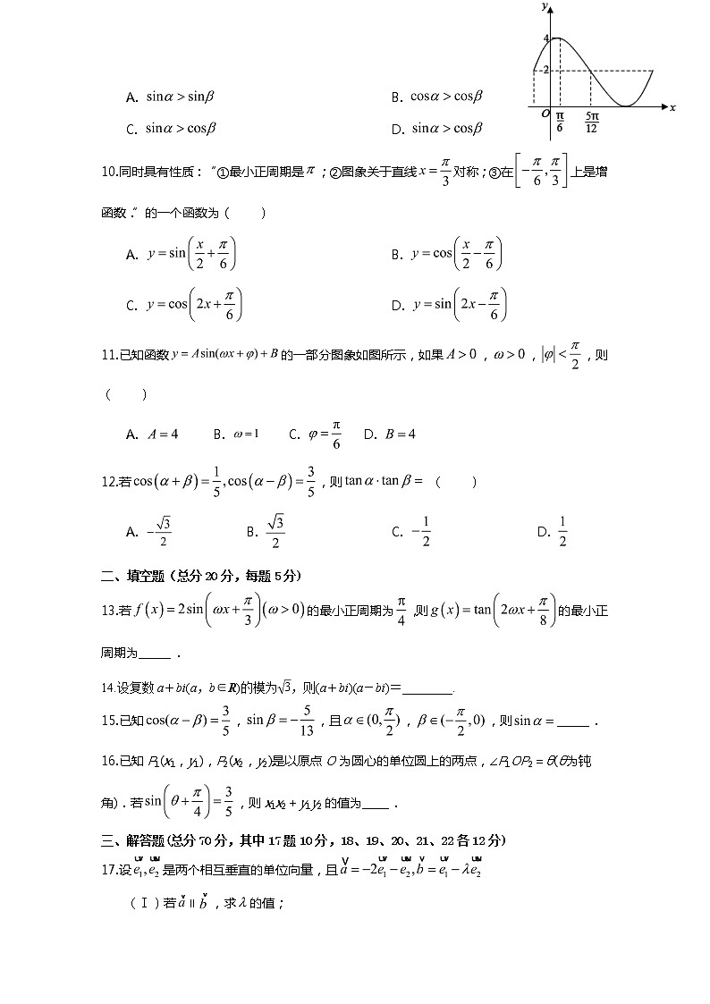
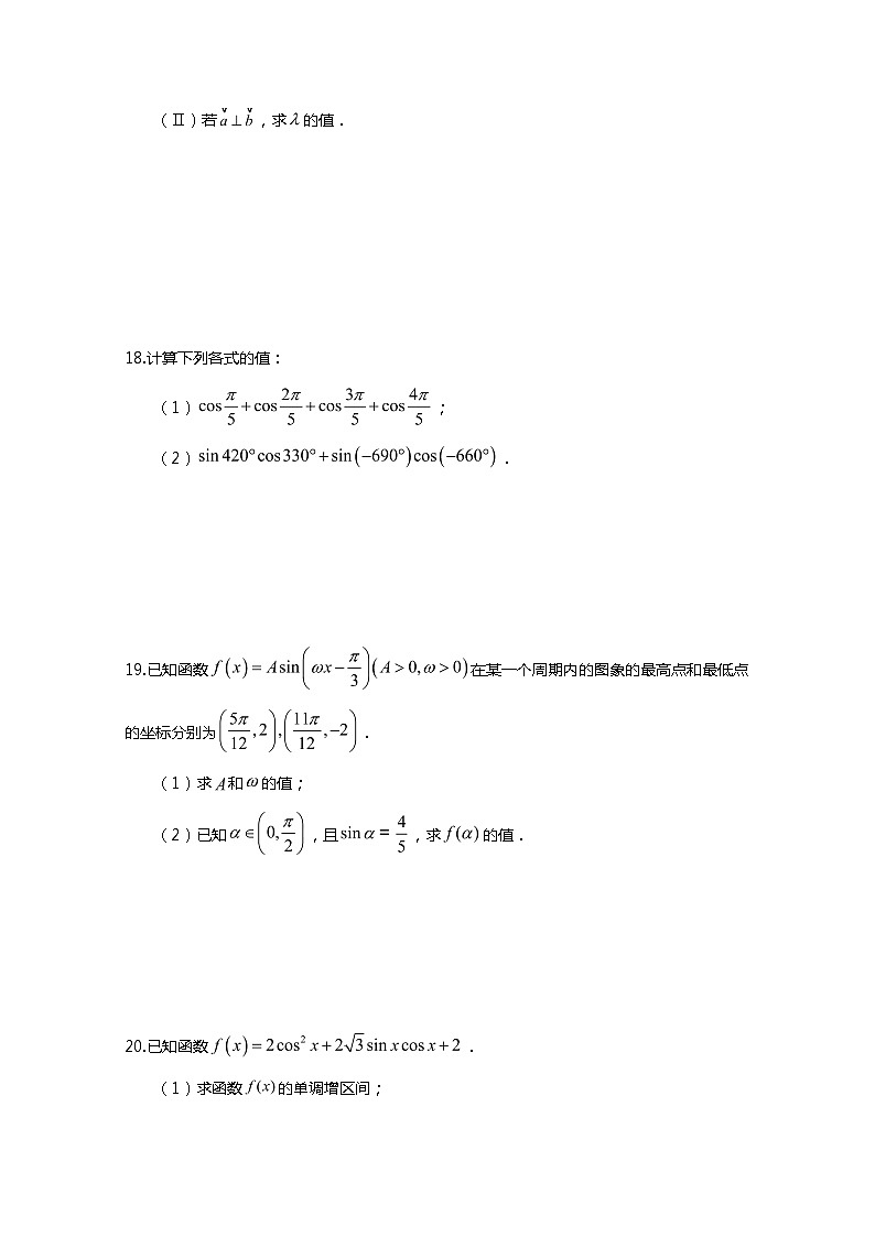
www.ks5u.com永春华侨中学高一数学下学期第二次月考试卷 完卷时间:120分钟 满分:150分一、选择题(总分60分,每题5分)1.的值是( )A. B. C. D. 2.若,则( )A. B. C. D. 3. 若复数z满足(z-3)(2-i)=5(i为虚数单位),则z的共轭复数为( )A.2+i B.2-i C.5+i D.5-i4.已知向量,若∥,则锐角为( )A. B. C. D. 5.已知,则( )A. B. C. D. 6.对于非零向量,下列命题正确的是( )A. 若,则 B. 若,则C. 若,则 D. 若,则的夹角为锐角7.若为三角形的一个内角,且,则这个三角形是( )A. 钝角三角形 B. 直角三角形 C. 锐角三角形 D. 正三角形8.已知向量,,且,,,则一定共线的三点是( )A. A,B,D B. A,B,C C. B,C,D D. A,C,D9.若、是锐角ΔABC的两个内角,则有( )A. B. C. D. 10.同时具有性质:“①最小正周期是;②图象关于直线对称;③在上是增函数.”的一个函数为( )A. B. C. D. 11.已知函数的一部分图象如图所示,如果,,,则( )A. B. C. D. 12.若,则 ( )A. B. C. D. 二、填空题(总分20分,每题5分)13.若的最小正周期为,则的最小正周期为______.14.设复数a+bi(a,b∈R)的模为,则(a+bi)(a-bi)=________.15.已知,,且,,则______.16.已知P1(x1,y1),P2(x2,y2)是以原点O为圆心的单位圆上的两点,∠P1OP2=θ(θ为钝角).若,则x1x2+y1y2的值为_____.三、解答题(总分70分,其中17题10分,18、19、20、21、22各12分)17.设是两个相互垂直的单位向量,且(Ⅰ)若∥,求的值;(Ⅱ)若,求的值. 18.计算下列各式的值:(1);(2). 19.已知函数在某一个周期内的图象的最高点和最低点的坐标分别为.(1)求和的值;(2)已知,且,求的值. 20.已知函数.(1)求函数的单调增区间;(2)先将函数的图象上的点纵坐标不变,横坐标缩小到原来的,再将所得的图象向右平移个单位的图象,求方程在区间上所有根之和. 21.如图,在平行四边形中,,,,与的夹角为.(1)若,求、的值;(2)求.的值;(3)求与的夹角的余弦值. 22.如图,某污水处理厂要在一个矩形污水处理池的池底水平铺设污水净化管道(,是直角顶点)来处理污水,管道越长,污水净化效果越好.设计要求管道的接口是的中点,分别落在线段上.已知米,米,记.(1)试将污水净化管道的长度表示为的函数,并写出定义域;(2)若,求此时管道长度;(3)当取何值时,污水净化效果最好?并求出此时管道的长度. 永春华侨中学高一数学下学期第二次月考答题卡 班级 姓名 号数 总分 一、选择题 1-5 6-10 11-12 二、填空题13 14 15 16 三、解答题17、 18、 19、 20、 21、 22、
永春华侨中学高一数学下学期第二次月考试题参考答案 1.【答案】C解:,2.【答案】C若,则 ,,3. 答案 D解析 因为(z-3)(2-i)=5,所以z-3===2+i,所以z=5+i,所以=5-i.4.【答案】C【解析】∵,∥,∴,又为锐角,∴..5.【答案】D【解析】根据同角三角函数关系式,代入式子中化简可得[来分子分母同时除以,得因为,代入可求得6.【答案】C解:A:若,则 ,故A错误;B:若,则,故B错误;C:非零向量,,故C正确;D:若,则的夹角为锐角或0,故D错误.7.【答案】A解:两边平方可得:,化为,,.为钝角.这个三角形是钝角三角形.故选A.8.【答案】A解:因为,且,有公共点B,所以A,B,D三点共线.9.【答案】C解:、是锐角的两个内角, ,,,10.【答案】D11.【答案】C解:如图根据函数的最大值和最小值得求得函数的周期为,即当时取最大值,即12.【答案】D分析:由,得①由得②,由①②可求得,则,故本题的正确选项为D.13.【答案】14. 答案 3解析 ∵|a+bi|==,∴(a+bi)(a-bi)=a2+b2=3. 15.【答案】16.【答案】-解:根据题意知,又P1,P2在单位圆上,,即x1x2+y1y2=cosθ;∵①又sin2θ+cos2θ=1②且θ为钝角,联立①②求得cosθ=-.17. 解:(Ⅰ)若,则存在唯一的,使,[来源:学,科,网Z,X,X,K],当时,;(Ⅱ)若,则, [来源:Z&xx&k.Com]因为是两个相互垂直的单位向量,当时,.18. 解:(1)cos+cos+cos+cos=cos+cos+cos(π–)+cos(π–)=cos+cos–cos–cos=0;(2)原式=sin(360°+60°)cos(360°–30°)+sin(–2×360°+30°)•cos(–2×360°+60°)=sin60°cos30°+sin30°cos60°=×+×=1.19.解:(1)∵函数的图象的最高点的坐标为,,依题意,得的周期为(2)由(1)得∵,且,20.解:(1),由得,即函数的单调递增区间为,(2)将函数图象上的点纵坐标不变,横坐标缩小到原来的,得到,再将所得的图象向右平移个单位的图象即,由得,得,得或,得或,,时,或,即方程在区间上所有根之和为.21.解:(1)因为,所以即.(2)由向量运算法则知,,所以.(3) 因为与的夹角为,所以与的夹角为,又,所以..设与的夹角为,可得.所以与的夹角的余弦值为.22.解:,,.由于,,所以,所以.所以,.当时,,米.,设,则,所以.由于,所以.由于在上单调递减,所以当,即或时,L取得最大值米答:当或时,污水净化效果最好,此时管道的长度为米
相关试卷
这是一份2024长沙高一下学期入学暨寒假作业检测联考试题数学PDF版含解析,共10页。
这是一份2024省哈尔滨三中高一下学期寒假验收考试数学含解析,共14页。试卷主要包含了选择题,填空题,解答题等内容,欢迎下载使用。
这是一份2020长沙麓山国际学校高二寒假网上检测试卷(二)数学试题含答案,共14页。试卷主要包含了选择题,填空题,解答题等内容,欢迎下载使用。