


2020静宁县一中高一下学期期中考试(第二次月考)数学(理)试题含答案
展开
这是一份2020静宁县一中高一下学期期中考试(第二次月考)数学(理)试题含答案,共8页。试卷主要包含了单选题,填空题,解答题等内容,欢迎下载使用。
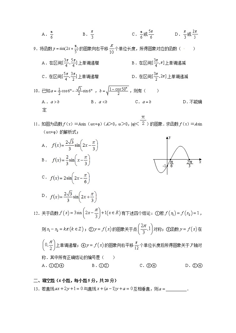
www.ks5u.com静宁一中2019—2020学年度第二学期高一级第二次试题(卷)数 学(理科、弘毅班)第I卷(选择题)一、单选题(12小题,每小题5分,共60分)1.已知为第三象限角,则下列判断正确的是( )A. B. C. D.2.M(3,0)是圆x2+y2-8x-2y+10=0内一点,过M点最长的弦所在的直线方程是( )A.x+y-3=0 B.x-y-3=0C.2x-y-6=0 D.2x+y-6=03.已知扇形的周长是,扇形面积为,扇形的圆心角的弧度数是( )A.2 B.1 C. D.34.以A(1,3)和B(-5,1)为端点的线段AB的垂直平分线的方程是( )A. B. C. D.5.已知,且求的值( )A. B. C. D. 6.若角的终边过点,则( )A. B. C. D.7.下列函数中,在区间上为增函数且以为周期的函数是( )A. B. C. D. 8.直线被圆截得的弦长为,则直线的倾斜角为( )A. B. C.或 D.或9.将函数的图象向右平移个单位长度,所得图象对应的函数( )A.在区间上单调递增 B.在区间上单调递减C.在区间上单调递增 D.在区间上单调递减10.已知 ,,则有( )A. B. C. D.不能确定11.如图为函数f(x)=Asin(ωx+φ)(A>0,ω>0,|φ|<)的图象.求函数f(x)=Asin(ωx+φ)的解析式;A. [来源:学科网ZXXK]B. C. D.12.关于函数有下述四个结论:①若,则;②的图象关于点对称;③函数在上单调递增;④的图象向右平移个单位长度后所得图象关于轴对称.其中所有正确结论的编号是( )A.①②④ B.①② C.③④ D.②④ 二、填空题(4小题,每小题5分,共20分)13.若直线与直线互相垂直,则__________.14.已知均为锐角,且,,则 .15.函数的图像向左平移单位后为奇函数,则的最小正值为___ ___.16.设圆的圆心为,点在圆上,则的中点的轨迹方程是 .三、解答题(6小题,共70分)17.(满分10分)已知,求下列各式的值:(1);(2).[来源:Zxxk.Com] [来源:Z,xx,k.Com] 18.(满分12分)已知圆以原点为圆心,且与圆外切,(1)求圆的方程; (2)求直线与圆相交所截得的弦长. [来源:Zxxk.Com] 19.(12分)已知,,,,求的值. 20.(满分12分)已知. (1)求的值 (2)求的值. 21.(满分12分)已知函数.(I)求的最小正周期;(II)求单调递增区间;(III)求在上的最值及对应的值. 22.(满分12分)在平面直角坐标系中,已知圆的方程为: ,直线的 方程为.(1)求证:直线恒过定点;(2)当直线被圆截得的弦长最短时,求直线的方程;(3)在(2)的前提下,若为直线上的动点,且圆上存在两个不同的点到点的距离,求点的横坐标的取值范围.
2019-2020学年度高一级第二学期第二次(理科、弘毅班)数学试卷参考答案一、 选择题1-5 DBABB 6-10 DCCAB 11-12 AD二、 填空题13. 14. 15. 16. 三、解答题17.【答案】(1)原式.(2)原式.18.解:(1)设圆方程为.圆, ,所以圆方程为.(2)点到直线的距离为,故弦长.19、 ∵ , ∴, ∵ , ∴ [来源:学科网] 20 . (1)∵.∴,即, (2)由(1)知<0,又 ∴∴21.(I)T=π(II)(III)22. (1)直线的方程可化为,由,得,所以直线恒过定点.(2)由题意可知,圆心,设直线恒过的定点为,则,又∵当所截弦长最短时,,∴,∴直线方程为.(3)设,当以为圆心,为半径画圆,当圆与圆刚好相外切时,,解得或,由题意,圆与圆有两个交点时符合题意,∴点横坐标的取值范围为.
相关试卷
这是一份甘肃省静宁县第一中学2020-2021学年高一上学期第二次月考数学(理)试题 Word版含答案,共9页。试卷主要包含了选择题,填空题,解答题等内容,欢迎下载使用。
这是一份2020静宁县一中高一下学期第一次月考数学试题含答案,共7页。试卷主要包含了选择题,填空题,解答题等内容,欢迎下载使用。
这是一份2021静宁县一中高一上学期第二次月考数学(理)试题含答案,共9页。试卷主要包含了选择题,填空题,解答题等内容,欢迎下载使用。