

2021山西省平遥二中高一上学期12月周测数学试题(七)含答案
展开
这是一份2021山西省平遥二中高一上学期12月周测数学试题(七)含答案,共5页。试卷主要包含了函数的定义域为,函数的零点所在区间为,下列式子中成立的是,02=62-0等内容,欢迎下载使用。
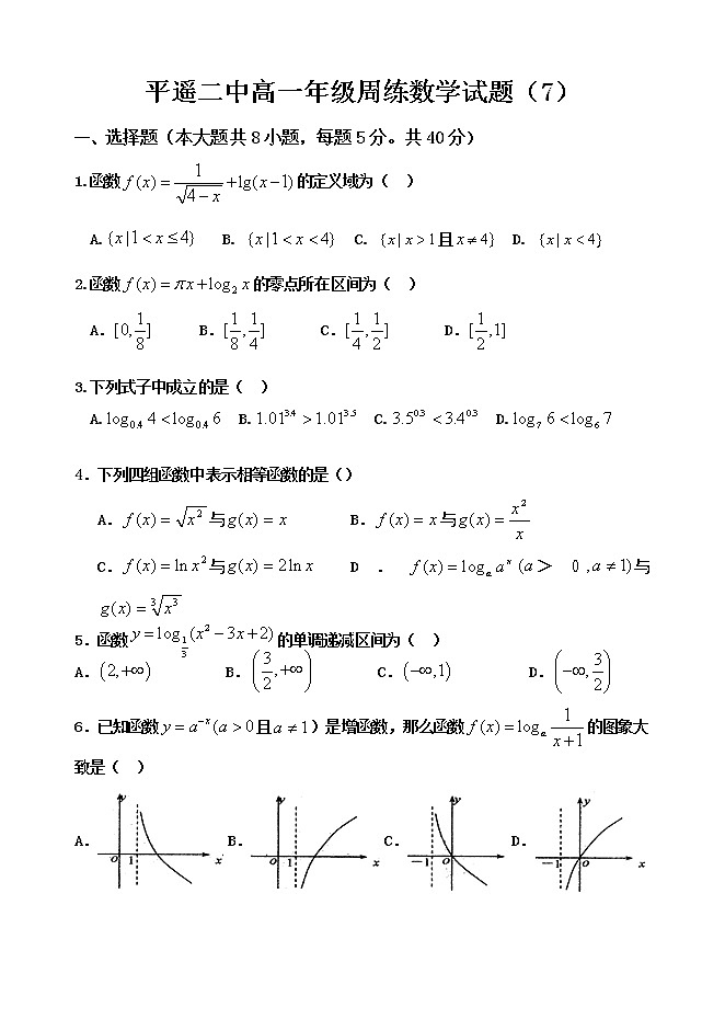
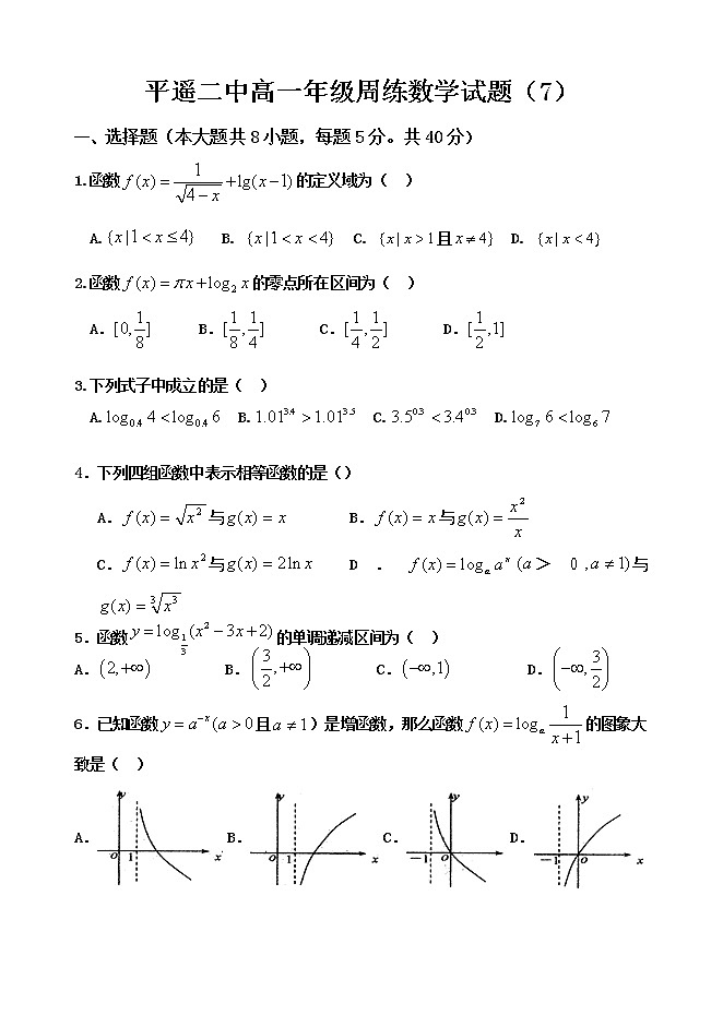
平遥二中高一年级周练数学试题(7)一、选择题(本大题共8小题,每题5分。共40分)1.函数的定义域为( ) A. B. C. 且 D. 2.函数的零点所在区间为( )A. B. C. D. 3.下列式子中成立的是( ) A. B. C. D. 4.下列四组函数中表示相等函数的是()A.与 B.与C.与 D.>与5.函数的单调递减区间为( )A. B. C. D.6.已知函数且)是增函数,那么函数的图象大致是( )A. B. C. D.7.已知函数,则( )A. B. C. D.58.奇函数在区间上单调递减,且,则不等式的解集是( )A. B.C. D. 二、填空题(本大题共4小题,每题5分,共20分)9.函数的图象必经过一个定点,则这个定点的坐标是_____. 已知,则=______________.11..不等式的解集为____________12.已知函数是上的增函数,则实数的取值范围为_____.三、解答题(本大题共2小题,每题15分,共30分.解答题要求写出必要的步骤。)13.计算题(1)(2)已知,且,求 14.某服装厂生产一种服装,每件服装的成本为40元,出厂单价定为60元.该厂为鼓励销售商订购,决定当一次订购量超过100件时,每多订购1件,订购的全部服装的出场单价就降低0.02元,根据市场调查,销售商一次订购量不会超过600件.(1)设销售商一次订购x件,服装的实际出厂单价为p元,写出函数p=f(x)的表达式.(2)当销售商一次订购多少件服装时,该厂获得的利润最大?最大利润是多少? 平遥二中高一年级周练数学试题(7)答题卡一、选择题(本大题共10小题,每题5分。共50分)题号12345678答案 二、填空题(本大题共4小题,每题5分,共20分) 9 10 11 12 三、解答题(30分.解答题要求写出必要的步骤。)13. 14. 高一数学周练(七)答案一、1—5 BCDDA 6—8 DAA二、9、 10、2 11、 12、三、13、-3 -1 14.(1)当0<x≤100且x∈N*时,p=60;当100<x≤600且x∈N*时,p=60-(x-100)×0.02=62-0.02x.∴p= (2)设该厂获得的利润为y元,则当0<x≤100时且x∈N*,y=60x-40x=20x;当100<x≤600时且x∈N*,y=(62-0.02x)x-40x=22x-0.02x2.∴y=当0<x≤100时且x∈N*,y=20x是单调增函数,∴当x=100时,y最大,ymax=20×100=2 000;当100<x≤600时且x∈N*,y=22x-0.02x2=-0.02(x-550)2+6 050,∴当x=550时,y最大,ymax= 6 050.显然6 050>2 000,
相关试卷
这是一份2021届广东省珠海市第二中学高三上学期第二周周测(9.9)数学试题,共23页。
这是一份2021届广东省珠海市第二中学高三上学期第三周周测(9.16)数学试题,共20页。
这是一份2021晋中平遥县二中校高一下学期周练(四)数学试题含答案