







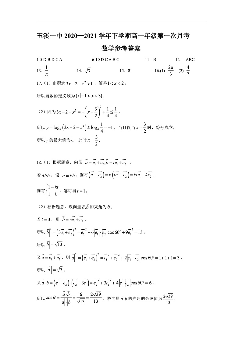
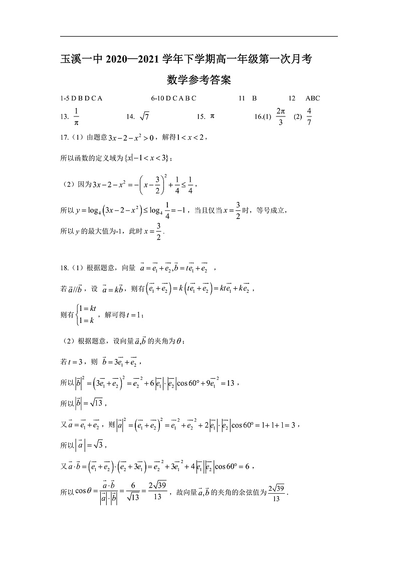
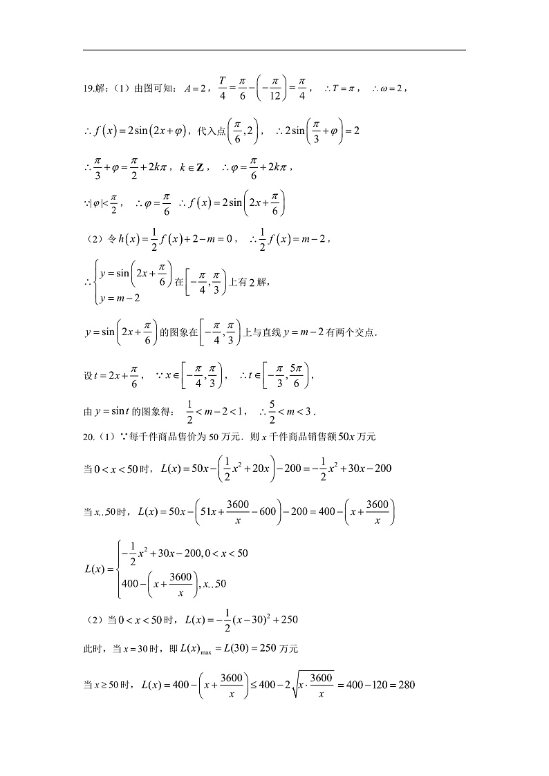
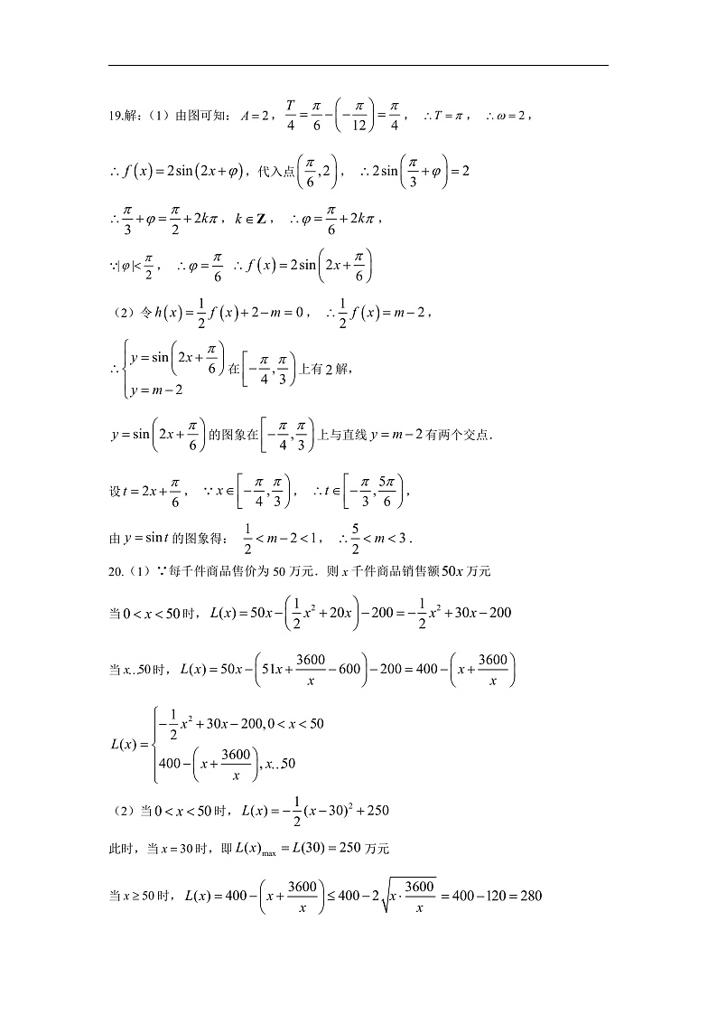
2021玉溪一中高一下学期第一次月考数学试题含答案
展开2022-2023学年云南省玉溪第一中学高一下学期第一次月考数学试题含解析: 这是一份2022-2023学年云南省玉溪第一中学高一下学期第一次月考数学试题含解析,共14页。试卷主要包含了单选题,多选题,填空题,解答题等内容,欢迎下载使用。
2023玉溪一中高一下学期第一次月考数学试题含解析: 这是一份2023玉溪一中高一下学期第一次月考数学试题含解析,文件包含答案doc、试卷doc等2份试卷配套教学资源,其中试卷共12页, 欢迎下载使用。
2021玉溪一中高一下学期第二次月考数学试题PDF版含答案: 这是一份2021玉溪一中高一下学期第二次月考数学试题PDF版含答案,共4页。