资料中包含下列文件,点击文件名可预览资料内容
当前文件暂不支持在线预览,请下载使用
还剩3页未读,
继续阅读
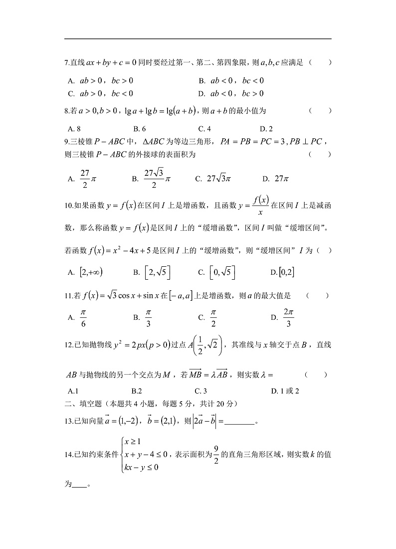
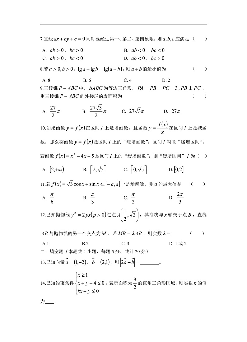
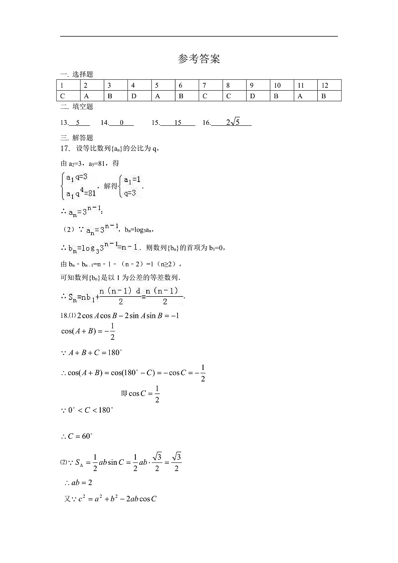
2020玉溪一中高二上学期期末考试数学(文)试题含答案
展开
这是一份2020玉溪一中高二上学期期末考试数学(文)试题含答案
相关试卷
2020玉溪一中高一上学期期末考试数学试题含答案:
这是一份2020玉溪一中高一上学期期末考试数学试题含答案
2020海原县一中高二上学期期末考试数学(文)试题含答案:
这是一份2020海原县一中高二上学期期末考试数学(文)试题含答案
2020玉溪一中高二上学期期末考试数学(理)试题含答案:
这是一份2020玉溪一中高二上学期期末考试数学(理)试题含答案

